正多边形:是指二维平面内各边相等,各角也相等的多边形,也叫正多角形。

除了三角形,边相等则角也相等,其他的多边形各边相等,角不一定相等。
如:

菱形

边相等的五边形

边相等的6边形
正五角星不是正多边形:(因为各个角不相等)

正多边形有以下性质:
正多边形的中心: 正多边形外接圆的圆心叫做正多边形中心。
正多边形的半径: 正多边形的外接圆的半径叫做正多边形的半径。
正多边形的中心角: 正多边形各边所对的外接圆的圆心角都相等,这个圆心角叫做正多边形的中心角。
正多边形的边心距: 中心到圆内接正多边形各边的距离叫做边心距。
正多边形内角和度数为:(将正多边形分成n-2个三角形)

正多边形单个内角的度数为:

正多边形单个外角的度数为:

正多边形外角和为360°,注意:所有多边形的外角和都为360°。
正多边形是轴对称图形:
轴对称图形:一个图形沿一条直线折叠,直线两旁的部分能够完全重合的图形。直线为对称轴。

奇数正n多边形的对称轴数量为n。
偶数正n多边形的对称轴数量为

正多边形是旋转对称图形:
把一个平面图形绕着平面上一个定点旋转α(弧度)后,与初始图形重合,这种图形叫做旋转对称图形,这个定点叫做旋转对称中心,旋转的角度叫做旋转角。( 0°< α<360°)。

无论奇数还是偶数正多边形旋转α°之后都可以与初始图形重合。
偶数正多边形是中心对称图形:( 奇数正多边形不是中心对称图形 )
在平面内,把一个图形绕着某个点旋转180°,如果旋转后的图形与另一个图形重合,那么就说明这两个图形的形状关于这个点成中心对称,这个点叫做它的对称中心,旋转180°后重合的两个点叫做对称点。

在正多边形中,内切圆和外接圆的圆心是同一个:

由正多边形的性质,可以通过作两条边FE和ED中垂线的交点,或作两个角∠GFE和∠FED的角平分线交点都可以获得圆心
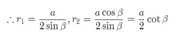
正多边形外接圆和内切圆的半径:

如果正多边形的边长为a,通过三角函数,我们可以获得外接圆r1和内切圆r2的半径:


古代在三角函数出来之前,数学家通常只能求取正4边形,正6边形,正6的倍数边形的外接圆和内切圆的半径。这种图形可以不使用三角函数来计算。
(这个在以后的文章中详细介绍)
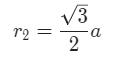
这里主要说一下,正六边形的外接圆和内切圆半径:

外接圆半径r1 = a(正6边形边长)
内切圆半径(勾股定理推导)

三角函数的由来
sine(正弦)一词始于阿拉伯人雷基奥蒙坦。他是十五世纪西欧数学界的领导人物,他于1464年完成的著作《论各种三角形》,1533年开始发行,这是一本纯三角学的书,使三角学脱离天文学,独立成为一门数学分科。
cosine(余弦)及cotangent(余切)为英国人根日尔首先使用,最早在1620年伦敦出版的他所著的《炮兵测量学》中出现。
secant(正割)及tangent(正切)为丹麦数学家托马斯·芬克首创,最早见于他的《圆几何学》一书中。
cosecant(余割)一词为锐梯卡斯所创。最早见于他1596年出版的《宫廷乐章》一书。
1626年,阿贝尔特·格洛德最早推出简写的三角符号:“sin”、“tan”、“sec”。1675年,英国人奥屈特最早推出余下的简写三角符号:“cos”、“cot”、“csc”。但直到1748年,经过数学家欧拉的引用后,才逐渐通用起来。
1949年至今,由于受前苏联教材的影响,我国数学书籍中“cot”改为“ctg”;“tan”改为“tg”,其余四个符号均未变。这就是为什么我国市场上流行的进口函数计算器上有“tan”而无“tg”按键的缘故。