黄金分割 是指将整体一分为二,较大部分与整体部分的比值等于较小部分与较大部分的比值,其比值约为0.618。这个比例被公认为是最能引起美感的比例,因此被称为黄金分割。是古希腊数学家毕达哥拉斯提出来的。
当整体与较大物体的比例符合1:0.618时,人们就会觉得协调和美,文艺复兴时的西方艺术家长艺术理论家把黄金分割律作为艺术建筑必须产物的规律。

在顶角为36°的等腰三角形中:

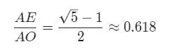
以底边AF为半径,A为圆点作圆教AO与E点,E为AO的黄金分割点,即:

如果能在圆上做出圆心角是36°的等腰三角形,我们就可以作出正10边形,进而得到正五边形,以下是作图过程。

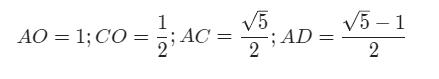
- 圆O上取一点A,过O作OA垂线,做OA中垂线交OA于B点
- 以O为圆心,OB为半径作圆,交OA垂线于C点。连接AC。
- 以C为圆心,OC为半径作圆交AC与D点。
- 以A为圆心,AD为半径作圆交AO与E点,交圆与F点。
E为OA黄金分割点,∠AOF=36°


最后连接AF,即为正10边形的边长。
结论:顶角为36°的等腰三角形ΔAOF为黄金三角形,即三条边的比例如下:

证明如下:
根据下图我们可以求出sin36°:

BD为∠ABE角平分线,DE⊥BC,从而构成2个相似三角形,
ΔABC∼ΔDBA,从而可得:


再通过三角函数半角公式印证:如三角形三边构成以上比例,则为顶角为36°的等腰三角形。(同学们可以自行推导)

三角函数半角公式
最后如图一步步作圆,得到10点交点:

最后连接各交点:

绿色为正10边形,红色为正5边形。
毕达哥拉斯与黄金分割
一天,毕达哥拉斯从一家铁匠铺路过,被铺子中那有节奏的叮叮当当的打铁声所吸引,便站在那里仔细聆听,似乎这声音中隐匿着什么秘密。他走进作坊,拿出一把尺量了一下铁锤和铁砧的尺寸,发现它们之间存在着一种十分和谐的关系。回到家里,毕达哥拉斯拿出一根线,想将它分为两段。怎样分才最好呢?经过反复比较,他最后确定1:0.618的比例截断最优美。后来,德国的美学家泽辛把这一比例称为黄金分割律。