共模与差模简介
电器设备的电源线,电话等的通信线,与其它设备或外围设备互相替换的通讯线路,至少有两根导线,这两根导线作为往返线路输送电力或信号,在这两根导线之外通常还有第三导体,这就是"地线"。电压和电流的变化通过导线传输时有两种形态,一种是两根导线分别做为往返线路传输,我们称之为"差模";另一种是两根导线做去路,地线做返回传输,我们称之为"共模"。
差模电流: 在一对差分信号线上,大小相同,方向相反的一对信号,一般是电路中的工作电流,对于信号线就是信号线与信号地线之间流动的电流。
///插播一条:我自己在今年年初录制了一套还比较系统的入门单片机教程和毕业设计指导,想要的同学找我拿就行了免費的,私信我就可以哦~点我头像白色字体加我也能领取哦,记得口令一哥///
共模电流:
在一对差分信号线上,大小相同,方向相同的一对信号(或噪音)。在电路中,
一般对地噪音一般都是以共模电流的方式传输的,所以又称为共模噪声。
抑制共模噪声的方法多种多样,除了从源头去减少共模噪声外,通常我们抑制最常用的方法就是使用 共模电感来滤除共模噪声,也就是将共模噪声阻挡在宗旨电路外面。也就是在线路中串联共模扼流器件。这样做的宗旨是增大共模回路的阻抗,使得共模电流被扼流器所耗费和阻挡(反射),从而抑制线路中的共模噪声。
共模扼流器或电感的原理
若在以某种磁性素材的磁环上绕上同向的一对线圈,当交变电流通过时,由于电磁感应而在线圈中产生磁通量。对于差模信号,产生的磁通量大小相同、方向相反,两者互相抵消,因而磁环产生的差模阻抗非常小;而对于共模信号,产生的磁通量大小和方向均相同,两者互相叠加从而使磁环产生了较大的共模阻抗。这一特性使得共模电感对于差模信号的影响较小而对共模噪声具有很好的滤波性能。
(1)差模电流通过共模线圈,磁力线方向相反,感应磁场削弱,从如下图磁力线方向能够看出
—
实线箭头表示电流方向,虚线表示磁场方向
(2)共模电流通过共模线圈,磁力线方向相同,感应磁场加强,从如下图磁力线方向可以看出—实线箭头表示电流方向,虚线表示磁场方向
共模线圈的电感或者称为自感系数,我们知道电感是表征产生磁场的才能,对于共模线圈或者共模电感,当共模电流流过线圈时,由于磁力线方向相同,在不考虑漏感的情况下,磁通量叠加,其原理是互感,下图红色线圈产生的磁力线穿过蓝色线圈,同时蓝色线圈产生的磁力线也穿过红色线圈,彼此互相感应。
从电感的角度来看,电感量也是成倍增加,磁链代表了总磁通量,对于共模电感,当磁通量是原来的两倍时,匝数没有发生变化,电流也没没有发生变化,那么意味着电感量增加为原来的两倍,也就意味着等效磁导率变为原来的两倍。
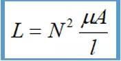
等效磁导率何以增加一倍,从下面的电感公式来看,由于匝数N不改变、磁路和磁芯截面积由磁芯的物理尺寸决定,因此也没有改变,唯一就是磁导率u增加了一倍,因而可以产生更多的磁通量
所以,共模电感在共模电流通过时,工作在互感模式下,在互感的作用下,等效电感量被老本增加,因而共模感抗会成倍增加,因而对共模信号有优秀的滤波作用,也就是将共模信号用大阻抗阻挡,不让其通过共模电感,也就是不让此信号传输到电路的下一级,如下是电感产生的感抗ZL。

认识共模电感在共模模式下的电感量,主要线索是认识互感,一切的磁性元器件, 无 论什么名称只有把握磁场的变化形式,透过现象看磁场变化的本质,也会容易了解,再者我们要始终把握磁力线,它是我们认识磁场的直观形式,试想没论同名端或异名端或者互感等概念或磁场现象,我们都是画磁力线去认识他们的 —— 掌握之前讲解的"磁棒绕线法"。
想要学习单片机的朋友 ,做毕业设计的同学,关注我们,回复一哥,与导师一起学习成长,共同进步,还有更多资料领取。
说了这么多,大家记得留意下方评论第一条(或者私信我)有干货~
-END-
*本文系网络转载,版权归原作者所有,如有侵权请联系删除