在阅读此文前,为了方便您进行讨论和分享,麻烦您点击一下“关注”,可以给您带来不一样的参与感,感谢您的支持。

文/少时李白
编辑/少时李白
前言
尽管缺乏质量和静止能量,光子仍被认为是基本粒子,因为它们不带电荷并且是自旋1粒子,这使它们成为玻色子。在真空中,光子以2.998×108 m/s的恒定速度行进,通常称为光速。
1865年,麦克斯韦统一了光、电和磁的概念,将关于电和磁的实验和理论知识浓缩在20个方程中,这些方程将光描述为根据EM定律在场中传播的电磁(EM)扰动。

光子的概念起源于1900年对黑体辐射的描述,当时马克斯普朗克假设能量的发射和吸收应该以能量量子的形式出现。
1905年,爱因斯坦提出光应该被认为是独立能量粒子的集合,并证明光是光子流,而且他还解释了光子流如何既可以作为波又可以作为粒子。
1926年,光学物理学家FrithiofWolfers和化学家GNLewis描述了“光子”的概念。

在量子电动力学(QED)中,光子调节带电物体之间的电磁力。作为QED的规范玻色子,光子被认为是无质量和无电荷的粒子,没有内部结构。
至今仍有一些让物理学家仍然难以理解的问题, 例如:单个光子的真正本质是什么?光子是如何形成的?,以及声子的半径、体积和内部动力学是什么?
那么我们将围绕着这几个问题,一一展开新的讨论。

超流量子场
在量子力学的早期,保罗·狄拉克(PaulDirac)建立了理论,认为真空实际上充满了负能量状态的粒子,从而产生了“物理真空”的概念,它根本不是空的。
在量子力学中,空间的概念经常被用来证明数学程序的合理性,并表示详细的空间属性的数量,例如真空中的光速由真空磁导率和介电常数决定。在量子电动力学中,真空是一种没有物质粒子和光子但有真空涨落和有限能量的状态,称为真空能。
真空被定义为具有最低可能能量和超流体行为的状态,真空的超流动性是麦克斯韦方程组的基础。

狭义相对论是从麦克斯韦方程组推导出来的,爱因斯坦意识到狭义相对论和广义相对论都是基于流体动力学模型。
根据超流体理论,真空被认为是一种不平凡的介质,它不是空的,而是充满了量子力学零点能量,它无处不在,没有大小、形状、中心、方向、时间或范围,是不可移动的。
从某种意义上说,它的行为就像一种完美的流体,因为它是非颗粒状的,并且没有结构记忆,也像一种具有极低粘度的无摩擦流体,可以将某些能量和密度与极高的热导率联系起来。

超流真空理论提出了一种质量产生机制,可以替代或补充弱电希格斯机制。研究人员表明,基本粒子的质量可能是由于它们与超流体真空的相互作用而产生的。
这种现象类似于超导体中的间隙产生机制,虽然真空的微观结构目前在很大程度上是未知的,但将真空视为流体,可以应用流体力学定律来描述光子的形成机制及其结构。
真空能量展示了通常被视为宇宙基本属性的密度;尽管对其价值没有达成共识,但最普遍接受的估计主要依赖于广义相对论,并且基于确定时空曲率和宇宙膨胀的天文观测。

宇宙学密度的最佳估计值介于9.75839983×10 -27和(11.11±1.05)×10 -27 kg/m 3之间。将真空视为超流体,我们可以应用流体力学定律将电子、正电子、夸克和反夸克等基本粒子的形成描述为涡流。这个想法并不新鲜,因为量子涡旋在超流体和超导体物理学中有着悠久的历史。
40年代,Onsager提出了量化流的存在,费曼通过引入量子涡旋的概念进一步发展了这一想法。在之前的一项研究中,电子的内部结构被描述为漩涡状涡流,量子涡流可以通过Kibble-Zurek机制形成。

如果一个双分量标量场在极早期宇宙的冷却和膨胀过程中(大爆炸后不久)从各向同性和均匀的高温相转变为对称破缺阶段,则有序参数必然不能与没有因果关系的区域。
根据系统的对称性和有序参数,可能会出现不同类型的拓扑缺陷,例如单极子、涡流或纹理。2008年,在原子玻色-爱因斯坦凝聚体中观察到自发量子涡旋。

光子形成
通常物理学家不会深究光子是如何产生的,而是处理它们是如何发射的。由于光子是通过空间传播的电场,因此光子的发射需要带电粒子的运动。
根据大爆炸模型,大多数光子是在光子纪元大爆炸的最初几秒内产生的,研究人员认为,宇宙大爆炸之后发生了膨胀,产生了一个极其均匀的宇宙,造成了各地密度的波动,这被认为是宇宙中所有结构的种子。尽管早期宇宙的不同模型对这些扰动的大小的预测差异很大,但它们都预测质量从普朗克质量到数十万个太阳质量的黑洞的产生。

光子时代是早期宇宙演化中光子主导宇宙能量的时期。光子时*开代**始于大多数轻子和反轻子在轻子时代结束时湮灭,即大爆炸后约10秒。这些光子仍然经常与带电质子、电子和(最终)原子核相互作用,并可能在接下来的380年内继续这样做。
大爆炸后温度和密度的多样性导致动态流动和不同真空场层之间的物理效应、扰动和剪切力的表现。如果剪切剖面是(准)分段线性的,它会在扭结处产生传播的边缘波,这些被称为涡度波。

Kida在80年代提出的简单模型,很好的解释了这个过程的前导顺序描述。
沿相反方向传播的两个此类波之间的相互作用是:产生瑞利不稳定性和开尔文-亥姆霍兹(KH)不稳定性的全部原因。瑞利不稳定性始于流中存在的微小扰动,这种扰动导致单个连续流体中的速度剪切和KH不稳定性。
直接后果是被称为基尔霍夫椭圆和Kida涡旋的椭圆涡流表现,它们是KH不稳定性的非线性表现,它们在时间上保持不变并以均匀的角速度旋转。
接下来,椭圆涡旋的核心包括由超流体真空制成的椭圆流线,椭圆以与涡度强度成正比的速率绕其中心旋转。等高线动力学模型是一种通过沿等高线的线积分计算涡斑随时间演化的模型,涡流块在内部或外部均未表现出涡量梯度,但显示出穿过周围等高线的涡量跳跃。

图1 椭圆涡旋(基尔霍夫椭圆),流线呈椭圆形,以匀角速度旋转
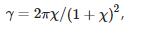
由于拉格朗日守恒定律,每个区域的涡度随时间保持不变。然而,与大多数反气旋涡旋一样,由于周转时间和局部周转振荡周期之间的共振,它是不稳定的,并且对于纵横比约为5的涡核发现了一个小的线性稳定域,其中涡纵横比χ定义为为χ = a / b。a和b分别是涡流的半长轴和半短轴。

因为它是(x , y )平面中的二维模型,所以省略了科氏力,因为它只会改变压力分布。
根据Kida的说法,该涡流由恒定涡度ωt =− S + ωv(“核心”)的椭圆形斑块定义,其中− S是背景流涡度,ωv是涡流本身的涡度,如果半长轴与x对齐并且其涡度满足,则这样的涡旋是稳定的:

因为这个解是稳态的,没有流线穿过核心边界,核心内部的流线应该是椭圆形的,与涡核的纵横比相同,这样的涡旋以恒定角速度γ旋转,

其中χ表示纵横比,数值为5,初始涡量在椭圆内或椭圆外分别为常数q=2π或0。在这种结构中,涡流的向心力和离心力是均衡的。
因此,涡流形状由各个方向的力平衡决定。椭圆形的核心涡旋不仅旋转,而且还显示纵横比的周期性振荡,称为章动。
当流体分子作径向运动时,横向感应出科氏力,角动量守恒。因此,Kida涡旋转换为三维(3D)椭球结构。当椭圆绕其长轴旋转时,结果是一个长(细长)球体,形状像美式足球。

图2 长球体在xyz坐标系中,以x为对称轴,是长轴截面为椭圆形,短轴截面为圆形的类球面
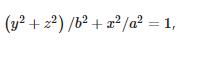
以x为对称轴的xyz坐标系中的椭球体的方程由设置c = b给出,如下:

其中a、b和c分别表示沿x -、z -和y -轴的半径。
纵横比约为5的3D球体形状为涡流提供了稳定性,因此,要展示稳定的椭球体,它必须满足a / c纵横比为5;因此,a =5 c和b = c。
球体的体积由下式给出:

其中b表示短轴或半径。
从Kida涡流到3D椭圆体模型的演变被描述为一类特殊的海洋涡流,称为地中海涡流。
虽然它们的形状是扁椭圆体,但它们的形成机制和稳定性为我们提供了一个流体动力学的好例子来与光子结构进行比较。涡流的封闭边界为这些水层提供了稳定性,并且可以从卫星图像中识别和跟踪它们,有效地充当长距离水上运输工具。

光子的半径和体积
如何正确描述单个光子的电磁场仍然是物理学中一个基本且未解决的问题。通常,在物理学中,不会出现关于光子半径的问题,因为人们相信光子没有形状,因此没有半径。然而,实验表明单个光子可以定位在非常小的空间和非常短的时间中,但是如何知道光子的大小仍然是个谜。
光子能量取决于辐射频率,从高能伽马射线和X射线到可见光,再到低能红外线和无线电波,所有能量的光子都存在。如果所有光子都以光速传播,是什么决定了辐射频率和能量差异?
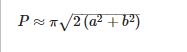
根据我们的模型,光子呈现涡旋椭球体形状、短轴和长轴。长轴的长度是短轴的五倍。短轴是球体中心圆的半径r,会议为2π r。长轴表示光子的长度,呈现椭圆形圆周或周长。不幸的是,与其他形状不同,不存在计算椭圆周长的准确或准确值的公式;存在几个近似公式来计算周长P的近似值:

(1)

(2)
然而,公式(1)和(2)分别产生比实际值更大和更小的值。
所以,我们可以通过对公式(1)和(2)求得平均值,得到一个比较接近的答案。
如果a =5 b,公式(1)和(2)分别变为:

两个公式的平均值为:

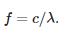
颜色波长由纵向光子运动决定;从波长,我们可以通过应用公式来确定频率:

因此,已知光子频率,我们可以计算出它的小半径r为:

因此,我们可以计算给出不同颜色的不同光子的半径。若绿光的频率为566×10 12 Hz,则绿光光子的半径为:

同时,频率为2.42×1028 Hz的伽马射线光子的半径为8.8737×10 -22 m。
将普朗克单位应用于以光速传播的单个行进EM波,我们可以计算出真实光子的最短波长为

最大宇宙辐射频率极限= c / λ p =7.4×10 42 Hz,然后,根据方程f = c /13.97 r ,最小真实光子的半径为:普朗克半径= 2.9019 ×10− 36 米普朗克半径=2.9019×10−36 米,
表明宇宙辐射的最大频率极限是由真实光子的极限最小半径决定的。一旦我们确定了半径,光子体积就可以推导如下:

若绿光的半径为r green = 3.79409×10 −8 m,其体积为

光子被视为超流体球体涡旋,因此,它作为漩涡的局部物理现实决定了局部测量的结果。

光子的横向和纵向自旋
德布罗意是第一个提出关于光子可能的内部结构的综合理论的人,他在1930年代提出的假设,一个永久局域化的光子包含两个自旋为1/2的粒子或半光子,而由两个自旋为h/4π的基本粒子组成的光子将服从玻色-爱因斯坦统计量。
双粒子光子假说意味着光子需要是稳定的局部移动EM结构,其能量量子只能在逻辑上在两个分量的电态之间交替,两个分量在空间中分离。

德布罗意
根据球体模型,光子具有纵向和横向自旋,均以光速运动。在横向自旋中,光子绕长轴旋转,而纵向自旋垂直于横向自旋,光子绕短轴旋转。
纵向(红色箭头)和横向(蓝色箭头)自旋的矢量给出了球体光子(黑色箭头)的周围轮廓流矢量的最终自旋。
纵向和横向自旋都决定了光子在空间中的螺旋轨迹,而不是真空拖曳力。自旋角动量与光的偏振有关,因此近轴光束的右旋和左旋圆偏振分别对应于光子的正负螺旋度σ=±1。

图3 回转
对于右旋(顺时针)自旋光子,光子对称轴通常指向右侧,相对于速度矢量的方向略微向上,纵向自旋负责偏振涡旋光束中的纵向轨道角动量。
在电动力学中,椭圆极化是EM辐射的极化,因此电场矢量的尖端在与传播方向相交和垂直的任何固定平面中描绘一个椭圆。

光子在垂直于传播方向的固定平面中的椭圆轨迹的螺旋形状
正确使用自旋漂移是指光子由于横向自旋而沿特定方向(沿其飞行路径)移动的趋势,这实际上这就是陀螺仪和马格努斯效应的函数。马格努斯力显著影响稳定性,因为它试图沿着其飞行路径“扭曲”光子,其中横向旋转产生陀螺旋转,从而变得稳定。
当它直线运动时,它的重心将跟随飞行路径,在主螺旋周围产生一个小的光学涡旋,它在垂直于传播方向的固定平面内呈现出轨迹,在螺旋中产生一个具有五个臂的光学涡旋。

光子的陀螺旋转路径在垂直于传播方向的固定平面中产生五边形轨迹
螺旋中的臂数等于拓扑电荷,光子的拓扑电荷越高,其能量就越高。
在光学涡流中,光像开瓶器一样围绕其行进轴扭曲,纵向和横向自旋的相交产生椭圆和五边形极化。

垂直于传播方向的固定平面中纵向和横向轨迹的组合
当投影到平面上时,光学涡旋看起来像光环,在干涉区有一个暗环,在中心有一个暗孔。
这种旋转带有波列的轨道角动量,并将在电偶极子上引起扭矩。轨道角动量不同于更常见的自旋角动量,后者会产生圆极化。

光学涡旋的环形圆偏振的艺术表现
光子的静止质量能量
虽然光子永远不会停止移动,但应该区分“静止”光子的能量和移动光子的能量。
例如,频率为5.71×1014 Hz的绿光的能量为

上述频率为德布罗意频率;因此,这是移动光子的能量。
尽管光子永远不会静止,但考虑到光子在形成内部自旋时处于静止状态;光子涡旋能量与行进的距离无关,但它拥有的能量受限于其周期的单个周期。
麦克斯韦方程意味着光子可以在两个方向中的任何一个方向上偏振——圆形和垂直——这两个方向都与光子的运动方向正交;更多的不知道。
静止的光子表现出纵向自旋和横向自旋,横向自旋与纵向自旋正交,最终旋转在两次旋转之间为45˚ 。

光子
它被视为流体球体,展示了两个动量和自旋:纵向和横向。
一般来说,旋转粒子的动能为:

光子的静止动量是纵向和横向自旋动量的结果,两者都以光速旋转。
使用毕达哥拉斯定理,对于边等于c的90˚/45˚/45˚三角形,斜边等于(2 c 2 ) 1/2。
如果实际光子速度为 v =(2 c 2)1/2,则旋转光子涡流的总动能为:

或者考虑到横向和纵向自旋的动能均为1/2 mc2,则光子的总能量为 E =2(1/2 mc 2)= mc 2。
为什么光子不带电?
电荷的真正性质和本质是未知的。在亚原子粒子中,光子是玻色子,没有电荷或静止质量,也没有自旋单位;它们是场粒子,被认为是电磁场的载体。

在之前的一项研究中,基于电子的涡旋模型提出了电荷的本质和性质的新理论,该电子涡旋模型展示了有限尺寸和无限涡旋结构。在这样的结构中,涡旋向涡旋中心展示吸力,将虚光子从真空吸引到涡旋核心。
事实上,根据电荷单位,电荷是单位面积加速光子质量减去真空刚度的表达式,其单位为ε0毫升3 /T 2。根据球体模型,光子是完全封闭的,具有明确的边界,不会将任何东西吸引到光子涡旋中心。

但光子根据其自旋对带电粒子作出反应,每个光子携带两种独立形式的角动量:自旋角动量和轨道角动量。自旋动量与光子的横向和纵向自旋有关,而轨道角动量与光子在空间中的运动有关,从而产生光子在空间中的螺旋轨迹。
因此,我们可以得出结论,电荷本身包含虚光子流,从而在带电粒子涡流中产生螺旋运动。

结论
在物理学中,光子与其他粒子一样,没有结构或形状,物理学研究光子的行为和影响,但不研究其本质或形状。然而,光子就像其他观察到的粒子一样,拥有真实的物理身份
光子被描述为在光子时期形成的真空的流体球体凝结。它具有两种自旋:与基尔霍夫椭圆相关的纵向自旋和由于科里奥利效应而产生的横向自旋。
这两个自旋决定了光子在螺旋轨迹中的运动,从而形成EM波;因此,粒子和波是同时连接和解释的。接下来,光子的频率和能量完全取决于它的半径,其中波长与球体的周长有关。

因此,存在不同大小的光子,如果半径分别大于或小于普朗克长度,则它们被认为是真实的或虚拟的。每个光子的能量被量化并存储为振荡电场,这是最初由离散量的真空制成的旋转涡流,被描述为能量包。
这意味着能量的结构使得能量包可以与周围的真空区分开来。这是一个非常恰当的类比,因为光子包含不可分割的能量。
我们得出的结论是,光子展现出真实的物理存在,它展示了具有横向和纵向自旋的球体形状,相对于被横向和纵向轨迹拖动的真空旋转,从而产生3D螺旋EM波。
横向和纵向旋转周期性分别负责康普顿和德布罗意波长。对光子特性的研究揭示了一类全新的基本粒子的存在,称为量子粒子。


参考文献:
多光子成像技术的生物医学应用新进展. 李少强;刘丽炜;胡睿.物理学报,2020
光子学晶体装置. 古屋博之,2009
双光子光折变晶体中屏蔽光伏空间灰孤子[J]. 吉选芒 红外与激光工程,2011(01)
如果你也喜欢我的文章,不妨点个“关注”吧!小生在此谢过了!
END