今天,我们来拿一根绳子绕着地球转一圈,我们假设地球表面足够光滑平整,绕的时候也几乎不留任何空隙。由圆的周长公式,我们知道,地球半径为6400km,绕的这根绳子大概是40,212386km。
现在我们把绳子加长1m,绳子变长了,可以稍微抬离地面,如果保证每个地方抬离开地在的高度一样,这个高度会有多高呢?
很小,一定小的不得了!这是大家的直觉。
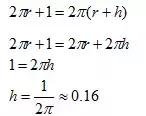
我们来算算这个高度:

求出r=6400.000159km
这意味着半径比原来大了0.00016km, 16cm, 将近多半个尺子的长度。
我们现在把绕地球换成绕足球篮球呢?每增加1m,缝隙会增加多少?
事实证明,依旧是16cm。其实无论是多大的球,都是这样的。
下面从数学的角度给大家推导一下大家就知道了:

从上面的过程中,能够发现,跟r 没有一丁点儿关系。只要长度增加一米,缝隙就增加16cm。
今天我们再来看看跟数字有关的。
9就是一个比较有意思的数字,中国人也比较喜欢9。9也有一些特殊的属性。
比如9乘以任何10以内的数字,得到的结果,相加,和都是9。乘以比10大的数,结果的位数相加,和都是9的倍数。
再比如,把一个数的位数顺序颠倒,再减去原来那个数,结果均为9的倍数。如53,颠倒后35,作差后得到的是18。
再说说4。中国人比较讨厌4,原因是跟中国汉字里的某个字谐音。有的人会特意避讳这个数,尤其是南方做生意的人。但外国人更讨厌的是13。尤其是基督教徒。因此在现实生活中人们千方百计地避开它。例如,在荷兰很难找到13号楼和13号的门牌,他们用“12A”代之;英国的剧场没有13排和13座;法国的12和14排之间通常是通道。甚至飞机上没有13座,搂层、电梯无13层等。此外,人们还忌讳13日出游、13人同席就餐、上13道菜等。这跟中国人避讳4是一个道理。
中国人忌讳4是因为谐音,那外国人忌讳13是因为什么呢?据说,有2个原因:
其一:源于北欧神话。在天国举行的宴会上出席了12位天神,席间突然闯进来一位不速之客——凶神罗基,这第十三位来客的闯入使天神宠爱的柏尔特罹难。
其二:传说于耶稣的被害。耶稣受害前与弟子们共进晚餐,其中第13个人是犹大,他为了30块银元把耶稣出卖给犹太教当局,晚餐的日期也恰好是13日,“十三”给耶稣带来了苦难和不幸。从此,“十三”被认为是不幸的象征,是背叛和出卖的同义词。达芬奇的名画《最后的晚餐》使此传说流传更广。因此“十三”成了西方世界最忌讳的数字。