“检验法”,是指对问题解决的结论进行检查、验收的方法。
检验,确切地说即通过反思、回放解题情景、规律、依据、运算等,对问题结论的正确性、准确性、实用性和完整性等作重新确认。
结合我多年教学经验,归纳起来,检验法的任务:
⑴检验结论的正确性。即在数理思维过程中,对解方程(组)、不等式、函数、数列等所得出的结果(初步答案),进行细致、必要的检查和验收,看其是否正确。实际情况下,或可试用量纲法。
⑵检验结论的准确性。准确性,主要指结果的精确程度,包括物理量的大单位、保留几位小数或有效数字、或者是否采用科学记数法等。
⑶讨检验结论的实用性。正确的、准确的初步答案,并不一定是题目所需要的答案,这里就要一个“结果” 是否合情合理,是否切合实际的问题。比如负数或虚数的时间,则必须舍去。
⑷检验结论的完整性。比如力的分解的解是否是唯一的,是两个解还是无解;再如在波动问题中,所求的波是向左还是向右传播的?波长或者波速有多少个可能的量值等等。
理论上讲题解的检验,无外乎实际检验和理论检验两种方式。具体解题时,常用实际、规律、量纲、特例、量纲、估算、转换等检验方法。
下面,通过一些解题实例展开我们的讨论。
【例题解析】
一.实际检验
即看所得结果,是否符合实际情况的思维方法。
无论解题所用的方法、概念、规律以及数*运学**作等等如何,若所得结果与客观事实不符,则可据此判断这一结果必定错误。
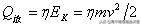
【例题1】从20m高处落下的水,如果水的势能的20%用来使水的温度升高,水落下后的温度升高多少度?
【错解】根据能的转化和守恒定律,可得

不难由此求出

既然从20m高处落下的水,温度可升高9.30C,则由

正比关系顺推,似乎雨点从200m的高处落下,温度就能升高930C。有谁见过雨点把人烫伤的吗?
显然,上述结果与事实不相符合。原因在于取水的比热

时,公式两边的质量单位并不相同。若改取

则由上式可得正确答案

【例题2】质量为10g的*弹子**以300m/s的初速度水平射入固定的木板内,若其动能全部转化为内能,且有42%被*弹子**吸收。试求*弹子**的温度将升高多少?(*弹子**材料的比热容

【解析】设*弹子**的温度将升高

,则*弹子**吸收的内能

由题意,可知由动能转化为*弹子**的内能

根据热平衡方程

可得

从而

显然,这一结果不符合实际。其原因在于式中比热容的单位取错了,正确的数据应为

,实际温度升高只有

才对。
【例题3】一平行电容器,板间距离为0。1mm,板长为100mm,一束带电粒子经电压为

的匀强电场加速后,飞入平行板中央(两板水平放置)。若板间电压为

,则带电粒子的侧移是多少?已知粒子在匀强偏转电场中的侧移为

【错解】带电粒子经过匀强电场加速后,由动能定理可知粒子应满足

关系。联系到粒子经匀强偏转电场中的侧移公式

由此二式可得

亦即带电粒子的侧移为

【检验】从这道题思维方法、思路、应用规律等看,似乎一点无可挑剔。但是通过以下分析可知,

的侧移是不可能发生的。这是因为当偏转电场电压为

时,粒子的侧移即达到最大值

,即使偏转电压再高,也不可能出现题解的数据。事实上,在偏转电压

时,侧移只能是

,粒子打到电容器的下板上而不能射出。
二.规律检验
理论检验,亦即验证或证明。即看所得结果,是否符合物理规律的思维方法。
无论解题所用的方法、概念、规律以及数*运学**作等等如何,若所得结果与物理规律不符,则可据此判断这一结果必定错误。
【例题5】将

的冰投入

的水中,求混合后的温度?(设系统外界无热交换)

【检验】从纯数*运学**算看,这一结果无懈可击,数理检验似乎是合理的。然而,低温的冰与水混合后的吸热过程,出现终末温度反而比初始温度更低的现象,显然不符合热交换的自然规律。
分析错误的原因,在于盲目地认为冰会全部熔解,也没有具体分析两者混合后具有怎样的最终状态。

三.量纲检验
即对于某个物理量的量纲,通过所得结果与标准的相互比较、对照,检验结果是否正确的思维方法。
【例题6】如图8—1—2所示:劲度系数为k的弹簧,竖直悬挂,在其下端挂一质量为m 的砝码,然后从弹簧原长处由静止释放砝码,此后( )

A. 砝码将作简谐振动 B. 砝码的最大速度是2mg/k
C. 砝码的最大加速度是2g D. 弹簧的最大弹性势能是2mg2 /k
【解析】用单位判断法解——B答案中 mg/k的单位是长度单位, D答案 中mg2 /k的单位是(米/秒)2, 砝码的最大加速度应是g。所以A正确。

四.特例检验
即特殊值检验法,是指应用极限思维的方法检验题解对错的方法。
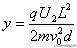
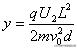
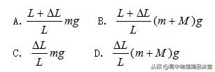
【例题8】如图8—1—4所示,一根轻质弹簧上端固定,下端挂一质量为 M 的平盘,盘中有物体质量为 m ,当盘静止时,弹簧伸长了 L ,今向下拉盘使弹簧再伸长△L 后停止,然后松手放开,设弹簧总处在弹性限度内,则刚松开手时盘对物体的支持力等于( )


【解析】按照常规的解题方法。设弹簧的劲度系数为k,以平盘和物体为研究对象,可得

【检验】若用“极限法” 去思考“理想的物理状态”,让△L=0,此时,盘对物体的支持力应等于mg,于是,将△L=0代入四个选项加以验证,得知A正确。
五、估算检验
【例题13】如图8—1—6所示,质量为m、电量为q的带正电的小球,用长度为L=1m的绝缘细线系于顶角θ=120°的圆锥的顶端,此装置处于磁感应强度B=1T、方向竖直向上的匀强磁场中。试问:小球绕圆锥旋转的角速度w取何值时,它可刚好离开锥面?取g=10m/s2。

【解析】我们知道,角速度是一个矢量,其方向遵守右手关系。显然,由于题目没有明确角速度的方向如何,而其方向却有顺时针、逆时针等两种情况。因此,题目的解决必定针对两种不同情况进行讨论。
设小球俯视作逆时针转动,则刚好离开锥面时的受力情况如图8—1—7所示。由牛二定律可得

应该指出,上述先、后两种结果,恰好分别对应逆时针、顺时针转动时的角速度4rad/s和5rad/s
【点拨】如果对上述结果中的负值,弄不清角速度的方向性,不分青红皂白的一律舍去,则大错特错了。
六.转换思维
解题时,通常按原来使用的思维方法、思路和物理规律等检验结果的正确性,错误往往不能被发现。由此,我们可以从多方位、多角度、多层次的分析和思考问题,采用思维转换的方法,另辟蹊径,求出结果,再相互比较、做出正确的判断。
【例题14】有两个相互垂直的力作用于一点,其合力是25N,已知一个力比另一个力大5N,求此二力的大小。

【解析】设此二力分别为x、y,依题意可得

由此求出

和

此结果的正确性,可用函数图象的方法检验一下。上述二元二次方程组可表示为直角坐标系xoy内的截距为x=5,y=-5的直线和半径为r=25的圆,如图8—1—9所示。
【点拨】直线与圆的两个交点的坐标,分别为方程组的两组解,说明结果是完全正确的。
七.综合检验
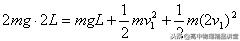
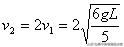
【例题15】如图5—1—10所示,长为2L的轻质硬棒,左端可绕过O点的光滑水平轴转动,两者的中点及右端均分别固定两个完全相同的小球A、B。现把系统均拉到水平位置,然后无初速释放。试讨论当A球转至竖直位置时,两球的速度各为多少?


【探究】为了彻底弄清产生这一错误的原因,我们可以设计下面的所谓“对比试验”。如图8—1—11所示,左边的实验装置不变,右边再增设与左类似的细绳——双球实验设置,只是用长度相等的刚性细绳替换了轻质硬棒,而两球与右完全相同。然后,分别把两系统拉直水平位置,由静止开始释放。
实验事实可以证明,在细绳——双球系统转动过程中,显然小球B落后于小球A,亦即B球落后,A球超前,这是由于两者的角速度大小不同。当小球A到达其圆弧最低点时,小球B还不能到达。
产生错误的原因究竟是什么呢?

其一,在分析A、B两球的受力情况时,认为棒对球的弹力始终沿轴线与速度垂直;其二,由此误导,认为在系统转动全过程中弹力对两球均不做功。因此,错误地判断出单个小球机械能守恒的结论。
实际上,在上述两个系统中,无论轻质硬棒还是刚性细绳所施加的弹力,对每个小球都是做功的。请看以下的分析。
如图5—1—11所示,分别表示两系统运动的对应状态,不难发现:⑴左图中 A、B两球角速度一致,棒的弹力不沿轴线方向,F1对A球做负功,F2对B球做了正功。⑵右图中两球角速度、线速度均不相同,A超前而B落后;细线的拉力沿线的方向,弹力F2对球B做正功,弹力F1对球A做负功,因此使得球A的机械能减少,球B的机械能增加。
综上所述,无论对硬棒——双球、还是细绳——双球系统而言,由于弹力做功的原因,单个小球的机械能都是不守恒的。
特别强调,这里所谓弹力,属于刚体发生微小形变产生的,它所做的功与弹簧类物体产生的弹性势能无关。
正确的解答如下:
【解析】对硬棒——双球系统,虽然由于弹力做功的原因,存在A球的机械能减少, B球的机械能增加的现象,但整体看来,机械能守恒。以B球最低点为重力势能零点,从而

又由圆周运动的线速度——角速度的关系,可得

联立以上两式,即可求出


由于我们从简单的实验中得到不少有益的启示,给解决问题指明正确的方向,进而应用物理概念和规律就能顺利解决问题。实践表明,解题效果也是很好的。
此外尚有逆算法、将结果作为已知量,已知未知量,逆向计算,相互对照(题略)。其他对称原理法,估值法、条件法和一题多解法等,不再予以讨论
严格说来,在习题解决的“检验”环节,还包括对问题解决深层次的探究,而这种探究则往往需要我们另辟蹊径,通过优化或更新解题思路、方法、策略等,以求得“异途同归”的效果。 这种解题过程或思维方法,我们称为“一题多解法”;而对“形虽异质略同”的一类习题的解题过程或思维方法,则称为“一题多变法”,请读者参见后文。