力的作用线不在同一平面,称为异面力.异面力的常用处理方法是把力 分解到两正交面上以及利用对称性 .
结论:物体处于平衡状态,在任意一个平面上的分力的合力都为零.
例题:如图所示,

置于水平地面的三脚架上固定着一质量为的照相机。三脚架的三根轻质支架等长,与竖直方向均成30°角,则每根支架中承受的压力大小为(D)。


【解析】把支架对相机的力沿水平和竖直方向分解.
例题:在全国体育大会跳伞比赛场上,跳伞运动员正匀速下落,如图所示。已知运动员体重为G₁,伞的重力为G₂,降落伞为圆顶形,8根相同的拉线均匀分布于伞边缘,每根拉线均与竖直方向成30°的夹角,则每根拉线上的拉力为(A)。


例题:蹦床可简化为如图所示的完全相同的网绳构成的正方形,点O、a、b、c等为网绳的结点.当网水平张紧时,若质量为m的运动员从高处竖直落下,并恰好落在O点,当该处下凹至最低点时,网绳aOe、cOg均成120°向上的张角,此时O点受到的向下的冲击力为F,则这时O点周围每根网绳的拉力的大小为(B)

例题:如图所示,完全相同的四个足球彼此相互接触叠放在水平面上,每个足球的质量都是m,不考虑转动情况,下列说法正确的是(AD)

例题:质量m=1kg的物体在如图所示斜面上受水平力F=5N的作用时,恰好做匀速直线运动,求物体与斜面间的动摩擦因数μ为多少?斜面倾角为30°,g=10m/s².

【解析】√6/3

例题:如图所示,两根直木棍AB和CD相互平行,斜靠在竖直墙壁上固定不动,一根水泥圆筒从木棍的上部匀速滑下.若保持两木棍倾角不变,将两棍间的距离减小后固定不动,仍将水泥圆筒放在两木棍上部,则水泥圆筒在两木棍上将(B)

A.仍匀速滑下
B.匀加速滑下
C.可能静止
D.一定静止
【解析】

例题:如图所示,

一直角斜槽(两槽面夹角为90°,两槽面跟竖直面的夹角为45°),对水平面的倾角为30°,一个截面为正方形的物块恰能沿此斜面匀速下滑,假定两槽面的材料和截面的情况相同,求物块和槽面之间的动摩擦因数.
【解析】μ=√6/6

例题:水平地面上堆放着相同的原木,如图甲所示,截面图如图乙所示,已知原木之间的动摩擦因数为μ,每根原木的重力为G,可将原木看成圆柱体,若要将最上面的那根原木沿轴线方向匀速拉出,水平拉力大小应为()


例题:如图所示,

有一重力为G的圆柱体放置在水平桌面上,现有一人用一夹角为60°、两边完全相同的人字夹水平将其夹住(夹角保持不变),圆柱体始终静止,若人字夹内侧粗糙,其任一侧与圆柱体间的弹力大小均为,今欲使圆柱体对桌面的压力为θ,求整个人字夹对圆柱体的摩擦力的大小和方向.
【解析】√2G

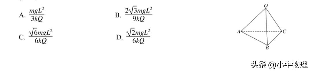
例题:水平面上A、B、C三点固定着三个电荷量为Q的正点电荷,将另一质量为m的带正电的小球(可视为点电荷)放置在O点,OABC恰构成一棱长为L的正四面体,如图所示。已知静电力常量为k,重力加速度为g,为使小球能静止在O点,小球所带的电荷量为()


例题:张鹏同学在家帮妈妈洗完衣服后,挂在如图所示的晾衣架上晾晒,A、B为竖直墙壁上等高的两点,AO、BO为长度相等的两根轻绳,CO为一根轻杆。转轴C在AB中点D的正下方,A、O、B在同一水平面上。∠AOB=60°,∠DOC=30°,衣服质量为m,重力加速度为g。则(AD)


