高中物理典型问题分析,取材于日常教学中的典型问题!❈
例题: (2009年浙江省会考试题)
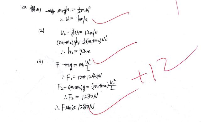
一质量为60kg的探险者在丛林探险时,看见一头狮子正走向一头幼小的羚羊.探险者立即把绳子的一端绕在一根粗壮的树枝上,另一端系在自己的身上,拉紧绳子从静止开始荡向低处,并在最低点抓住质量为20kg的羚羊,随后刚好荡到另一根树枝上,脱离了危险.如图所示,已知悬挂点与人之间的绳长为24m,起荡点与最低点的高度差为12.8m,探险者抓住羚羊后瞬间的速度是抓住羚羊前瞬间速度的3/4,运动过程中探险者和羚羊均可看作质点,重力加速度大小取10 m/s2。.求:
(1)探险者抓住羚羊前瞬间的速度大小;
(2)探险者抓住羚羊后到达的最高点与最低点的高度差;
(3)为保证安全,绳子能承受的最大拉力应满足的条件。

❈
✎参考答案:
分析:本题为学考难度,正确率较高!
✎答卷展示:


部分错例:

