初中有一类列入观察和研究类的题目,已知前几项,要求学生给出第n项的数值,或者是给出整个数列通项公式的题,其实质就是高中的数列问题。因为初中并没有讲述数列的概念和解法,因此大部分此类题型,学生是通过观察、归纳、推理的方法求解的,对于一些简单题目还是比较容易的,但是对于一些比较复杂的问题,观察、归纳、推理就有难度,或者耗费很多时间。现把有关数列问题做个归纳和总结,给出了一般解法,同时提出了一个新的用一元二次方程求解数列通项公式的方法,虽然使用中考题作为例子,但是对高中求解数列问题也具有指导意义,为数列通项公式的求解开辟了一个新思路。
一、 数列的概念
表1 简单数列

表1就是个典型的数列的例子,第一行是使用正整数n标记的序号,第二行是每个序号对应的数据值,研究数列就是找出数据序号n和数据值之间的关系,从而写出通用表达式或第n个数据的值。
本质上来说,数列就是以正整数n为自变量的函数。函数通常有图形表示法、表格表示法和公式表示法三种,同样数列也有上述三种表示法。对于函数可能有函数式,也可能没有。对于数列也是一样,有的能够写出通项公式,有些是没有通项公式的。
表1中数列的通项公式是:2n-1(n为序号,n=1,2….,)
验证如下,当序列号n=1时,数据项是2*1-1=1,与表中数据相符,其它各项读者也可以一一进行验证。一旦写出了数列的通项公式,那么我们就可以写出任何一项的数据,比如表1中n=7的项对应的数据值没有给出,利用通项公式可以得出n=7时数据值:2*7-1=13。
二、 数列常见求解方法
1. 观察、推理法

图 1

图 2
(1) 例题1
图1中给出了n=1,2,3时的黑白方块图,求第n个图形中白色和黑色方块的总和。
分析如下:
先观察白色方块,n=1,2,3时白色方块的数目分别是1、4、9,因为要给出数列通项公式,所以要找出数据与序列号之间的关系,因此把序列号包含进来,可以写成1*1、2*2、3*3的形式,据此可得出白色方块的数列通项公式:S1=n*n。
观察黑色方块,当n=1,2,3时,对应的分布规律是4、8、12,因为要找出序列号和数据之间的关系,可写成1*4、2*4、3*4,据此可得出黑色方块的数列通项公式:S2=n*4
完整的一个图形中方块总数是黑色方块和白色方块数之和,完整的通项公式为:S=S1+S2=4*n+n*n
(2) 例题2
图2中,第一个图形有1颗棋子,第二个图形中有6颗棋子,第三个图形中有16颗棋子,则第六个图形中有多少个棋子?
分析如下:
第一个图形中棋子个数T1=1。
第二个图形增加了一个由每边长为2个棋子组成的五边形,
所以第二个图形的棋子个数为T2=T1+2*5-5=1+2*5-5
第三个图形增加了一个由每边长为3个棋子组成的五边形,
所以第三个图形的棋子个数为T3=T1+T2+(3*5-5)=1+(2*5-5)+(3*5-5)
以此类推,第六个图形的棋子个数为:
T6=T1+T2+T3+T4+T5+(6*5-5)=1+(2*5-5)+(3*5-5)+(4*5-5)+(5*5-5)+(6*5-5)=1+5+10+15+20+25=76
2. 先运算后观察
(1) 例题3

3. 简单运算法
常见的奇数数列公式 2n+1或2n-1,偶数数列公式 2n,都是通过对序号简单的加、减、乘、除运算得出的,所以叫简单运算法。
三、 一元二次方程求解数列通项公式的理论依据
从上面的例子可以看出,很多数列通项公式的最高次幂是2(对于初中来讲这已是比较复杂的了),是比较难于通过观察、归纳和推理来求解的。既然数列也是函数,我们当然可以用函数的思想去解决数列问题,最高次幂是2的通项公式对应的正好是一元二次方程,一元二次方程不仅能解决最高次幂是2的通项公式问题,当然对幂的最高次数是1的通项公式也适用,因此就有了用一元二次方程解决数列通项公式问题的理论基础。
1. 一元二次方程求解数列通项公式
对于简单的数列,可以通过观察、归纳、推理的方法得出通项公式或者某一项的数据,这是因为那些数列都是对序号n进行简单运算得出的,如果数列通项公式与序号n是二次方关系,则不容易得出规律,求数列n(n的值很大)的某一项数据时,如果不能写出通项公式,则显得非常困难和费时。下面我们通过一些例子来展示用一元二次方程求解数列通项公式的方法。
(1) 例题4

图3中每一个图形都是用火柴棍组成的,第1,2个图形分别用了7根和13根,那么第11,20个图形所用的火柴棍数目是多少根?
一般的观察、归纳、推理法虽然也能得出答案,但是太费时了,如果作为选择题,过长时间的解题方法显然是不合适的。

所以第11个、20个图形所需的火柴棍的个数为别为157和463
方程组虽然需要三组数据,但是解方程非常方便和快速,因为,最后不论是什么样的数列,都转变成求方程组2的形式,方程式等号的左边总是相同的,只是等号右边的数据不同而已,所以方程组1和方程组2可以作为以后求解数列问题的模板使用。
得出了数列的通项公式,可以写出任意一项的数据。不用去观察和推理,具有方法简单、迅速的优点,注意得出数列公式要进行验证,以防得出不合适的结论。
下面再来看一个用一元二次方程求解最高次幂是1的通项公式的例子
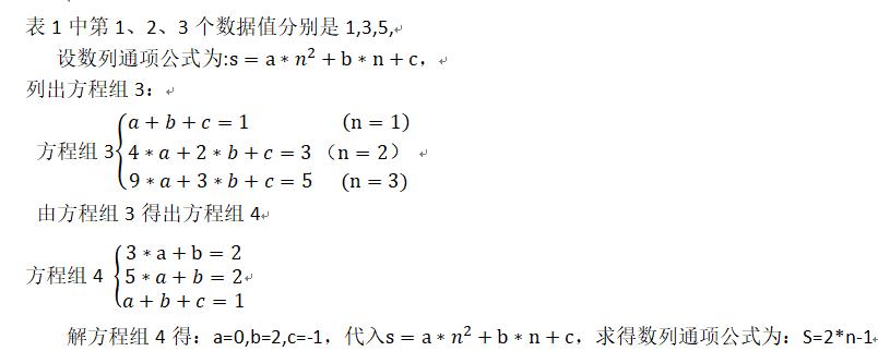
(2) 例题5
在本文开头"一、数列的概念"中的有个简单数列,见表1,现在我们用一元二次方程来求解它的通项公式。

可见,对于求解最高次幂是1的通项公式同样适用和方便。
2. 一元二次方程求解数列通项公式与其它方法的对比
(1) 例题1的一元二次方程解法

(2) 例题2的一元二次方程解法


4、 方程式法求解数列通项公式的优缺点
1. 优点
· 适用于大部分数列问题
从上面的例子可以看出,一元二次方程解法,不仅能够解决数列通项公式最高次幂是2的情况,对于最高次幂是1的情况也适用。
· 省去繁琐的观察和推理,可以用统一的、模块化的方法快速解出通项公式。
2. 缺点
· 得出的通项公式需要验证:
因为很多数列可能没有通项公式,方程式法总会得出一个通项公式,但是这个通项公式不一定是正确的,所以需要验证,但是由于考试题目的原因,几乎不会遇到没有通项公式的情况。
· 一元二次方程法不能用于通项公式最高次幂大于2的情况
对于初中来讲,一元二次方程已经是最高次幂的方程了,所以很少有通项公式的最高次幂超过2的,所以一元二次方程法对初中有很强的实用性。
对于最高次幂超过2的通项公式,可以通过列一元三次方程、一元四次方程去解决,总之方程法作为一种通用的求解数列通项公式的方法还是适用的。