2021年2月22日,对于云南省文山市秉烈乡的沈国权一家来说是重要的一天,瘫痪在床的沈国权身边围了很多人,他们乐乐呵呵地讨论着。在人群的中间坐着一个小孩,他的名字叫沈浩宇,今年只有7岁,但已显得十分“老成”,他静静地坐在爸爸沈国权旁边,脸上带有一丝羞涩。

小浩宇参加《非常6+1》节目
“出来了,出来了!快看!”一个人指着电视机说道,此时的电视机正在*放播**晚上9点钟的央视节目《非常6+1》,人群中随即爆发了热烈的掌声,“小浩宇真是太争气了!”一位阿姨忍不住说道,众人的眼中都闪出了泪光。
原来小浩宇在去年11月参加了《非常6+1》节目在当地的海选,他选择唱了一首《时间都去哪了》,在这首歌中融入了自己真实的感情。这首歌也唱碎了评委们的心,在了解了小浩宇的事迹后,评委们认为他应该进入到总决赛,在更广阔的舞台上讲述他的故事。

小浩宇
就这样,小浩宇来到了北京并参加了节目的录制。那么年仅7岁的小浩宇是凭借什么样的感人事迹打动了评委呢?故事还要从七年前小浩宇刚出生时说起。
家庭支离破碎,两人艰难为生
2014年,小浩宇出生在云南省文山市秉烈乡,每一个孩子出生时都是全家的宝贝,会享受到最体贴的照顾,但小浩宇从出生后面临的不是温暖的家庭,而是一个个冷酷无情的事实。在小浩宇出生时,父亲沈国权和妻子的感情就出现问题了,还在襁褓中的小浩宇根本不知道发生了什么,听到爸爸妈妈吵架的小浩宇只能不停地哭,他的哭泣并没有挽回这个已经走向解体的家庭。

小浩宇
在小浩宇刚刚1岁时,沈国权就和妻子离婚了,还在吃奶的小浩宇从此就失去了母亲的照顾,他天天都哭着要妈妈,但沈国权却没法告诉儿子这个残酷的事实,他只能抱着儿子安慰道:“小浩宇乖啊,不要哭哦,不哭妈妈就会回来了。”虽然懵懂无知,但小浩宇懂事的天性在那时就展现出来了,他从此很少哭泣,可妈妈却再也没有回来……
俗话说“隔辈亲”,也就是说最疼爱孩子的往往是爷爷奶奶那一辈,但小浩宇不仅失去了母亲的照顾,竟也失去了自己的爷爷奶奶。

沈国权
原来小浩宇出生没多久,爷爷就去世了,更残酷的是在浩宇爷爷去世后,奶奶也改嫁了。这就使原本美满幸福的家庭顿时只剩下沈国权和儿子小浩宇两个“大男人”,两个“大男人”天天大眼瞪小眼,没有女人的家庭是不完整的,也是缺少温暖的,怎么让小浩宇健康长大呢?此时的沈国权伤透了脑筋,他不知道自己怎么才能把孩子拉扯大。
没有妈妈,爷爷,奶奶,每天跟爸爸一起生活的小浩宇渐渐明白了真相,他知道妈妈不会回来了,爷爷奶奶也再也见不到了,自己唯一的依靠就是眼前忙里忙外的爸爸。此时的沈国权心里也是这么想的,几乎失去一切的沈国权把自己大部分的精力都放在了抚养儿子上,他相信只要儿子长大,一切都会好起来的!

沈国权父子俩
为了能照顾好儿子,沈国权忙里忙外,既要工作挣钱还要看护孩子,这样的压力大家可想而知,但沈国权却靠自己坚强的毅力扛了下来,每当街坊邻居贴心地问他累不累时,沈国权都会笑着说:“不累!儿子长大就好了!”
小浩宇也很懂事,他不哭不闹,也不求着爸爸给自己买什么东西,每天安安静静呆在家里等着爸爸回家。每当爸爸回来时,他都会跑过去跳到爸爸怀里,这对父子就在这种生活艰难但精神愉悦的环境下度过了三年的时光。

沈国权瘫痪在床
父亲意外瘫痪在床,小浩宇扛起家庭重担
父子俩这种平淡而快乐的生活却因为一场意外戛然而止。2018年,沈国权正在路上走,突然一个踉跄摔倒在地。这一摔出了大事,沈国权竟因颈椎骨折导致高位截瘫,从此在床上一*不起病**了!
这几乎是对这个家庭毁灭性的打击!要知道这个家里只有沈国权和儿子沈浩宇两个人,他倒下了,那么这个国家只有靠小浩宇支撑着,可此时的小浩宇只有4岁啊!这个年纪的小孩子还赖在妈妈的怀抱里,享受着懵懂无知和童真带来的快乐,怎么可能扛起家庭的重担呢?!街坊邻居对父子俩很同情,但又无能为力,他们慨叹命运的不公,给这个残破的家庭雪上加霜。

小浩宇在医院里照顾爸爸
就在众人都对父子俩的未来持悲观态度时,小浩宇站了出来,他虽然只有4岁,但他依然昂起头走到父亲身边,“爸爸,一直以来都是你养我,现在轮到我照顾你了!”都说久病床前无孝子,但年仅4岁的小浩宇竟靠自己的小小身躯向我们阐述了“孝”字的含义,他从父亲倒下的那一刻起,就接过了家庭的接力棒,为这个家庭带来了生的希望。
但小浩宇毕竟只有4岁,他能会什么呢?小浩宇明白自己要学的东西有很多,他从零开始,在沈国权的指导下,踏上了照顾瘫痪父亲的*途征**。

小浩宇在做家务
俗话说“民以食为天”,小浩宇首先学会的就是做饭。现在的年轻人二十多岁了还不会做饭的比比皆是,不过这倒是间接导致了外卖行业的兴起。可是小浩宇一家可吃不起外卖,他们只能自己做饭才能维持生计。
小浩宇从最简单的菜开始学起,慢慢地也会做复杂一些的菜了。有一次小浩宇炒菜盐放多了,吃了一口差点呛出来,小浩宇低着头愧疚地对爸爸说:“爸爸对不起,盐放多了……”但沈国权却吃得很香,他一边让小浩宇继续给自己喂饭,一边对儿子说:“没事,爸爸相信你,你做的饭永远是最好吃的!”

小浩宇在做饭
看着小浩宇踩着凳子炒菜的样子,沈国权总是很心疼,“浩宇,小心点,别摔着了!”小浩宇笑着对爸爸说:“爸爸,我没事,一会尝尝我今天做的新菜!”此时的沈国权觉得心里很不是滋味,他年纪轻轻就瘫痪在床,还要靠几岁的小儿子来照顾,看着其他的孩子放学后都在外面玩耍,自己的儿子却要在家里忙里忙外,这真是太对不起浩宇了!
每次看到爸爸沮丧的样子时,小浩宇都会主动上前安慰,“爸爸,以前你天天照顾我,现在我长大了也该照顾你了,这是我该做的!”沈国权也渐渐放宽心,把心思花在了康复训练上。帮沈国权做康复是小浩宇生活中另一个艰巨的任务,虽然知道希望很渺茫,但小浩宇坚信爸爸有朝一日能再站起来。

小浩宇在照顾爸爸
他每天帮爸爸活动身体,给他擦拭身子,端屎端尿,这些工作放在中年人身上都是不太容易的,更别说四五岁的小孩子了,但小浩宇干起活来任劳任怨,一声不吭。
每天早上小浩宇都会早早起床,准备早饭,然后给父亲刷牙擦脸、端屎端尿,看着儿子辛苦的样子,沈国权心里很心酸,“浩宇,爸爸对不起你……”“爸爸,别这么说,我们会越来越好的!”
小浩宇在刚开始帮爸爸做康复时很困难,自己这小小的力气怎么能翻动父亲庞大的身躯呢?小浩宇每天睡不着的时候都会思考这个问题,在他的琢磨和反复实验下,终于找到了和父亲配合的技巧。

热心群众看望沈国权
他用绳子把父亲的胳膊和大腿拴起来,然后绕过上面的架子,使劲往下拉,这样父亲就能“动”了。虽然十分吃力,但至少比直接抱起父亲轻松多了。所谓熟能生巧嘛,掌握了技巧的小浩宇和爸爸有条不紊地从事康复训练,这让众人十分惊奇,这可真是个奇迹啊!
爱心人士伸出援手,父子俩生活越来越好
父子俩一直不是孤独的战士,街坊邻居给他们提供了很多的帮助,毕竟看着只有几岁的小孩子照顾着这个家,是个人都觉得心酸啊!街坊邻居们时常在节假日给父子俩送生活用品,社区的居民还会定时来到家里打扫卫生,洗衣做饭,众人拾柴火焰高,父子俩的生活也越来越好了。

父子俩的故事传开后,引起了社会各界的热切关注,人们都惊奇这个小孩子居然能照顾瘫痪在床的父亲,各种公益组织和善良的人士开始伸出援助之手,给小浩宇捐款捐物,这对于父子俩来说是非常重要的帮助。
地方政府在了解到沈国权的困难情况后,也决定给父子俩解决住房问题,并按月发放补助。沈国权在渐渐有了一点康复迹象后,认为不能只靠好心人的帮助了,自己也应该做些什么,于是便开始卖卫生纸,给家里带来了一点微薄的收入,这样就使家里有了必要的生活保障。

小浩宇在照顾爸爸
云南文山的爱心团在知道父子俩的事迹后非常感动,看到沈国权瘫痪在床的景象后,他们找来了知名骨科医生杜宁。杜医生在仔细检查后,认为沈国权经过系统的康复训练,上肢是有希望复原的!听到这个好消息后众人都很高兴,小浩宇更是一下子倒在了爸爸的怀里,眼角流出了热泪,“爸爸,我就知道你会好起来的!”
登上《非常6+1》舞台,故事传遍大江南北
小浩宇虽然忙着照顾父亲,但在学习上一直没有放松,他学习成绩优异,后来在爱心人士的帮助下,来到了文山市实验小学读书,这让沈国权很高兴,因为他知道儿子只有读书才有未来啊!来到实验小学读书的沈浩宇是个非常活泼阳光的小孩,他喜欢足球和篮球,还喜欢唱歌,是个才艺“小能手”,常常唱歌给大家听。

小浩宇在《非常6+1》节目现场
2020年,他的这个天赋在后来《非常6+1》节目的海选中发扬了出来,他饱含深情地唱了一首《时间都去哪了》。评委们听了以后都被感动得流泪了,他们认为6岁的小浩宇唱得很好,很有水平,音乐中带着真实的感情。
评委们一时还觉得很奇怪,一个小孩子是怎么把这首歌唱得如此令人感动的呢?在知道小浩宇的事迹后,评委们才恍然大悟,不禁感叹,没有切身的经历真唱不出这种感觉啊!
为了让更多的人知道小浩宇的故事,评委们一致决定让小浩宇参加全国总决赛!让小浩宇在更大的舞台上展现自己的风采,传递自己的声音。包括父亲沈国权在内的众人都觉得很高兴,自己的儿子有出息了!但小浩宇却表现得很沮丧,原来小浩宇一直有一个心愿,就是跟父亲一起去*安门天**广场看升旗,如今他能去北京,但父亲还瘫痪在床,小浩宇心里不是滋味,而且自己要去北京很多天,他不放心在家的父亲。

小浩宇
为了打消儿子的顾虑,沈国权专门请了一位朋友到自己家里,“儿子,你看,这个叔叔你不是认识吗,他是爸爸的好朋友,你去北京的这几天,叔叔会照顾我的,你就放心去吧,一定要好好表现哦!”看到爸爸有人照顾,小浩宇才安下心来,后来在实验小学两位老师的陪同下,踏上了前往北京的道路。
为了不虚此行,老师和节目组还给小浩宇安排了丰富的游玩日程,从*安门天**到星光影视城,初次来到大城市的小浩宇在日志中记下了这一切,在文里行间都写满了对于爱心人士的感激之情,他写道:“有那么多的好心人关心我,我一定要好好读书,报答他们。”

2020年12月1日,小浩宇终于登上了《非常6+1》的舞台,舞台上的小浩宇已经没有了初赛时的紧张和青涩,非常自如地完成了节目的录制,他精彩的歌声征服了现场评委,他的感人事迹更是让评委们流泪和心酸。
2021年2月22日,节目正式播出。小浩宇的故事也通过《非常6+1》的播出,传遍了大江南北,让更多的人知道了父子俩的事迹,他们的精神让人们为之感动。

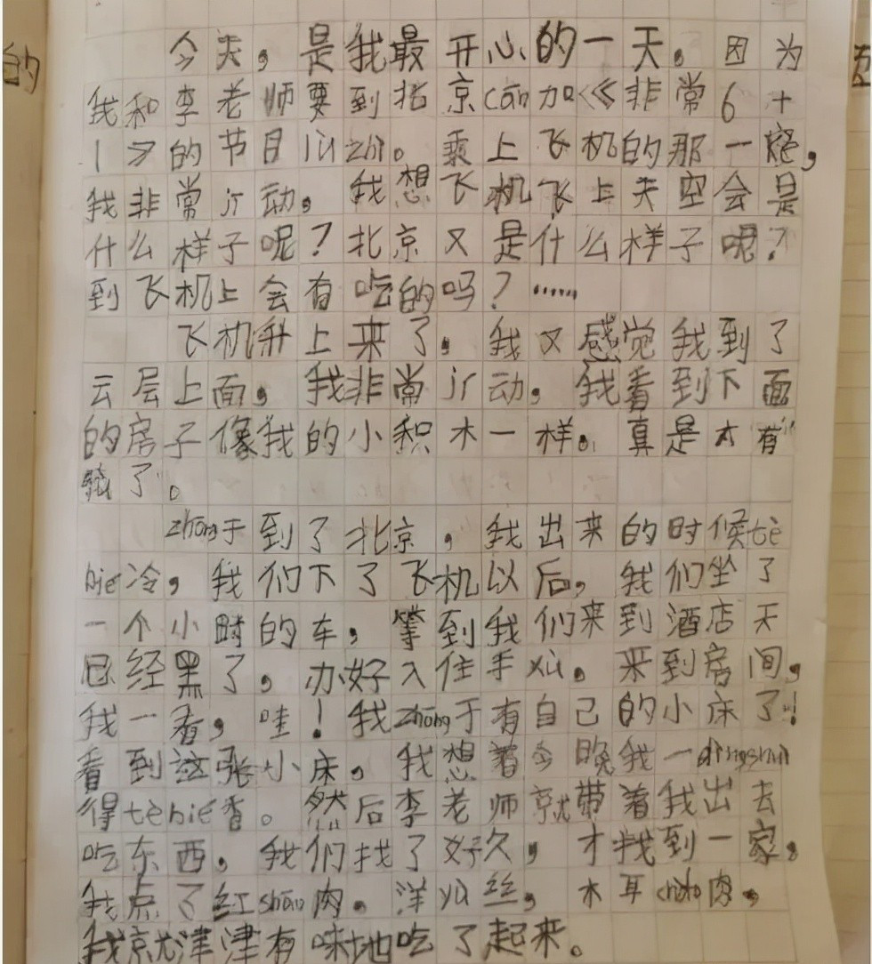
小浩宇写的日记
12月2日,小浩宇来到了北京之行的最后一站——故宫,他在日志里写道:“今天真是难忘的一天,而且我明白一个道理,只有不断地努力,才能成为优秀的人。”小小年纪的沈浩宇就有如此感悟,实在令人佩服。身在北京的小浩宇没忘记远在家中的父亲,他写道:“有一天我一定带爸爸去*安门天**看看,爸爸我会好好学习的。”
这就是沈浩宇的故事,一个小孩竟能肩负起如此沉重的家庭责任,实在令人感动。相信在爱心人士的帮助下,在小浩宇和沈国权的努力下,他们的日子会越过越好,小浩宇的精神值得我们每个人学习!