怎样计算流体的压强?为什么船能够漂浮在水面上?为什么流速大的地方,压强相对更小? 12月2日12时,《张朝阳的物理课》第一百零六期开播,搜狐创始人、董事局主席兼CEO张朝阳坐镇搜狐视频直播间,先从静止的不可压缩理想流体出发,引出流体的压强概念,介绍并分析了帕斯卡原理,然后通过受力平衡推导了重力场下的静止流体压强公式,并介绍了阿基米德浮力定律。接着,张朝阳介绍稳恒流动状态下的流体性质,推导连续性方程以及伯努利方程,并简要分析为什么在流速大的地方,压强相对较小。

介绍帕斯卡原理 推导浮力定律
课程开始,张朝阳介绍说,流体力学是之前课程没有涉足的领域,流体力学在日常生活与工业生产中有非常多的应用,比如飞机为什么能起飞、足球运动员踢出的球为什么能拐弯、飞盘是怎么飞起来的等等。
对于一般的流体,大众认知度最高的物理概念应该就是流体的压强了。简单地说,压强是单位面积上的力:

其中p表示压强,F是垂直作用在面积ΔA上的力。一般的流体具有粘滞作用,会产生剪切力,在流体内部任取一个小截面,其上的力一般是不垂直于这个截面的。不过,在很多问题的分析中可以忽略粘滞效应,忽略粘滞作用的流体被称为理想流体。在理想流体中,压强是各向同性的,任意一个小截面受到的流体的作用力都垂直于这个截面。在这节课程中,张朝阳考虑的都是理想流体。
由于是初次介绍流体力学,张朝阳从最简单的情况入手:不可压缩静止流体。对于不可压缩静止流体,它的压强满足帕斯卡原理:对于封闭在固定体积内的不可压缩静流体,其任意一点受到外力作用后压强增大了,那么这个压强增量会传到流体各点处。为了进一步说明此原理,张朝阳忽略了流体的重力,画了如下示意图:

不可压缩流体被封闭在图示的容器中。假如在截面A1处对流体施加大小为F1的力,那么这部分压强增量会传递到截面A2处,并产生大小为F2的力。因为这两个力对应的压强相等,所以

可见,如果A2大于A1,那么F2大于F1,因此可以通过不可压缩流体对力进行放大。这有没有违反能量守恒定律呢?为了回答这个问题,张朝阳分析起两个力所做的功。首先,由于流体是不可压缩的,如果流体在图示两截面中分别移动了d1和d2距离,那么有

所以

可见,两个力做的功是一样的,能量的传输并没有像力那样出现放大效应。
在流体静力学中,压强的分布可以通过受力平衡条件来得到。取流体中的一个竖直柱形部分,这个柱体的上、下底面分别处于高度为h2、h1的位置,压强分别为p2、p1,这个柱体的横截面积为A。设流体密度为ρ,那么上下底的压力差应与柱体重力平衡,从而

等式两边消去A,移项可得

如果取z轴方向为竖直向上,那么上式可以总结为

这就是不可压缩静流体在重力作用下其压强分布所满足的关系。
根据前面的分析,流体柱在竖直方向受到的压力差等于流体柱的重力,如果将这个柱体换成别的物体,就可以知道流体对这个物体竖直方向的压力等于这个物体排开流体的重力。这个结果可以推广到任意形状的情况,并且可以严格证明其受到的压力在水平方向上的分量为零。综合起来就会得到阿基米德浮力定律:物体在不可压缩流体中受到的浮力等于这个物体排开的流体的重力。

(张朝阳分析重力场下的流体压强与阿基米德浮力定律)
从电荷守恒到流体连续性方程 从能量守恒到伯努利方程
介绍完阿基米德浮力定律之后,张朝阳开始考虑稳恒流动的不可压缩流体的情况。所谓稳恒流动,是指流体物理量的分布不随时间变化。
流体流动起来了,很多在流体静力学中可以使用的方法在此情况下就不再适用了。不过,不管流体如何运动,它必须保持物质守恒与能量守恒(注:理想流体不会有能量耗散)。先来分析流体物质守恒的情况。
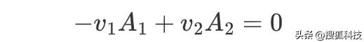
假设密度为ρ的不可压缩流体经过一个截面会改变的管道或河流,其入口处的截面积为A1,流体速度为v1;出口处的截面积为A2,流体速度为v2,由于质量不会变多也不会变少,因此有

根据质量守恒其实可以得到更一般的结论。为此,张朝阳给网友们复习了电磁学中的连续性方程:

上式中,ρ是电荷密度,j=ρv是电流密度。上式的物理意义正是电荷守恒。类似地,对于密度为ρ、速度分布为v的流体,可以定义它的物质流密度为j=ρv,那么质量守恒就可以表示为与上式一样的连续性方程。进一步地,因为流体是稳恒流动的,所以

又因为此时考虑的流体是不可压缩的,ρ必然处处相等,所以连续性方程可以写为

也就是

这就是处于稳恒流动的不可压缩流体的速度场所要满足的方程。考虑流体区域内的任意一个体积V及其表面S,使用散度定理可得

对于前面介绍的截面可变的管道,选取下图所示的体积V和表面S:

示意图已经标注了各处的法线方向。在侧面上,流体速度与法向垂直,因此不会对S的面积分产生贡献,对剩下的两个截面计算其速度的面积分,并使用上一式的结果可得

这与前面通过质量守恒推导得到的结果一致。
分析完连续性方程之后,张朝阳分析起流体的能量守恒。在流体力学中一般不会直接计算整个流体部分的能量,而是分析单位体积内的能量。由于单位体积的质量是密度ρ,因此通过重力势能与动能公式可以得到单位体积的重力势能、单位体积的动能,其表达式分别为:

有了重力势能与动能公式,目前还欠缺流体压力对应的能量。为此,张朝阳任取l方向,并取一个圆盘形流体微元,圆盘法向与l方向重合,厚度为Δl,圆盘截面大小为A,上下面的压力大小分别是F_l、F_{l+Δl},那么圆盘受到的在l方向的总压力为

其中ΔV=AΔl是圆盘微元的体积,▽_l表示沿l方向的导数。所以,l方向上单位体积的力为

将此结果推广到其他方向,即可得到单位体积的压力为

将此结果与势能公式做类比,可以知道压强p正好扮演着“压力体密度的势”这么一个角色,所以p对应着流体压力的“能量”。于是,根据能量守恒可知,在流线上有

此结果被称为伯努利方程。伯努利方程可以通过受力分析严格地推导出来,张朝阳在这里是通过与势能类比,然后借助能量守恒条件得到的。需要特别注意的是,上式的“常数”指的是等式左边的量在流线上保持常数,但是不同流线对应的“常数”可能是不一样的。
借助伯努利方程可以理解人们常说的“流速大压强小,流速小压强大”的具体含义:在水平流线上,z恒为常数,那么在速度v大的地方,压强p会比较小;在速度小的地方,压强会比较大。

(张朝阳介绍伯努利方程)
据了解,《张朝阳的物理课》于每周周五、周日中午12时在搜狐视频直播,网友可以在搜狐视频“关注流”中搜索“张朝阳”,观看直播及往期完整视频回放;关注“张朝阳的物理课”账号,查看课程中的“知识点”短视频。此外,还可以在搜狐新闻APP的“搜狐科技”账号上,阅览每期物理课程的详细文章。