人工智能真的能预测足球比赛吗 (ai人工智能预测足球比分)

摘要

足球是激烈的团体运动,特别需要数据来说话。无球队员1秒钟有32种跑位方式,持球队员则有更多可能(例如触球的部位、带球的节奏、传球的方向等);11人足球场上触球、带球、传球、跑位等每秒则会有 11^32 次方组合变化,远超过地球原子数量;1分钟的变化则超过宇宙粒子之和。触球在毫厘之间,跑来跑去的22名球员与飞来飞去的足球产生的人球结合数据获取及其困难;5G网络的发展,芯片创新和边缘计算、云计算、终端计算等算法算力的提升为实现AI赋能足球带来新的契机。

引言

足球是世界第一大运动,全球足球人口数以十亿计,足球也已上升为中国的国家战略,但目前99%的球员、球队没有任何人球数据。国外顶级比赛用多台热成像高速摄像机获取人球数据,使用复杂、价格高昂还需要大量人工介入;其它如护腿板、背心、手环、脚环等基于GPS、六轴加速器等解决方案,存在使用不便、传触球数据不准或人球数据严重缺失等问题。足球鞋连着人和球,理论上是精准人球数据的钥匙,基于此,应用人球感知、柔性电路、AI算法等技术,驱动智能比赛、智能青训、远程训练、体感训练等多元化场景,即便教练、时间、场地、兴趣等某些条件不足,也能提高水平,提升趣味性等需求,现在全球各行业都在拥抱人工智能,AI+足球也必将促进足球运动的跨越式发展。

1 基于深度学习运动姿态识别

因为微队AI智能足球鞋数据来自于人球感知模块和加速度陀螺仪模块等,而运动的姿态的识别很大程度依赖于时序序列模型。获取的运动员的运动数据在很大程度上体现了非常强的时间特性。而RNN和LSTM等众多先进的深度学习模型对于网络的记忆机制有很好的支持,能克服短期记忆和长期记忆在模式上不一致的问题。特别是LSTM的遗忘和记忆因子和输入的可迭代的优化机制。能提取运动数据的关键特征,对于体现运动特性的显著特征进行加权,而遗忘长期和短期记忆中的非表达范式特征。

如图1所示微队AI足球鞋运动数据基于的LSTM模型。加速器和陀螺仪构成多维的数据输入,根据运动的时间窗口,制定特定的符合应用需求的窗口滑动策略。使得模型的参数和实际应用场景能协调一致。在优化过程中,依据训练收敛度和测试的拟合度反复调整神经元节点、LSTM步长。目标是最优化动作识别分类精度。

图中,Xi为输入序列,为n维的加速器陀螺仪数据。下标表示时间点。Sj表示状态序列,为上一时刻点。Wn表示隐藏层的神经元变量。output layer是模型输出,也是优化的目标层。在本文中,output层作为运动姿态的分类基准。

竞彩足球人工智能大数据预测今日,人工智能预测足球靠谱吗

图1 运动动作识别LSTM模型

竞彩足球人工智能大数据预测今日,人工智能预测足球靠谱吗

竞彩足球人工智能大数据预测今日,人工智能预测足球靠谱吗

公式1

损失函数设计对模型的表现效果至关重要。如公式1所示为LSTM的损失表达式。本实验采取十分常用的均方误差损失,平方损失也可以理解为是最小二乘法,一般在回归问题中比较常见,最小二乘法的基本原理是:最优拟合直线是使各点到回归直线的距离和最小的直线,即平方和最。同时在实际应用中,均方误差也经常被用为衡量模型的标准。

2 基于边缘计算的姿态识别和计步距离算法

在最初阶段,姿态识别算法以云计算为运作框架。算法的最大考量是模型的召回率和精确率所表征的PR曲线。在PR上达到最优以及最佳的均衡输出。模型训练数据的清洗和数据的多质性对模型的预测性能有很大的映射关系。同质化的数据和小规模数据*会集**带来过拟合风险。网络的神经元的设置过于丰富也会导致模型的表达能力过于强大,从而造成训练和推理的度量存在倒挂。

云计算对于传输速率和客户体验带来很大的挑战。网络不稳定造成的传输失败和反复重连可能导致客户大面积流失。基于当今边缘计算的大趋势大发展,芯片级的算力大幅度提升。程序由软转硬是边缘计算的基础。而模型的细粒度转化,浮点数模型向单字节模型的转化,等等方面都造就边缘计算的成熟和应用。

在姿态识别方面,采用机器学习方式能降低底层芯片的算力和空间需求,只需要通过训练获取到算法相关量级的参数,直接引用到程序的底层数据库中。在该实践中,运用的各种单模算法或多模算法融合,将逻辑回归,树,SVM等进行整合。是一个切实可行的边缘计算尝试。

逻辑回归实际上是做分类而不是回归,可以说是广义的回归。前面讲的线性回归的预测输出θTx,将该值代入到上式的变量z,就是逻辑回归的输出了。即:

竞彩足球人工智能大数据预测今日,人工智能预测足球靠谱吗

之前的输出可以说没有受到任何约束,等于多少就是多少,但现在将输出值限制到了区间[0,1]。θTx越大,则预测的值越接近1,θTx越小,则预测的值越接近0。这样就实现了2分类。

在优化时,从直观的角度思考,如果某样本的实际分类是1那么,hθ(x)越接近1则预测成功率越高。如果某样本的实际分类是0那么,hθ(x)越接近0则预测成功率越高。通过最大化似然函数则可以得到最优解。单个样本的预测成功率:

竞彩足球人工智能大数据预测今日,人工智能预测足球靠谱吗

所有样本预测成功率相乘能达到最大值则说明总体的成功率越高。总体的预测成功率,则是最大似然率。

竞彩足球人工智能大数据预测今日,人工智能预测足球靠谱吗

为了方便计算,将上式取对数

竞彩足球人工智能大数据预测今日,人工智能预测足球靠谱吗

然后通过梯度下降计算其最大值,则可以获得相关的优化参数了。

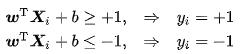
SVM学习的基本想法是求解能够正确划分训练数据集并且几何间隔最大的分离超平面。如下图所示,ω.x+b=0 即为分离超平面,对于线性可分的数据集来说,这样的超平面有无穷多个(即感知机),但是几何间隔最大的分离超平面却是唯一的。

满足该条件的决策边界实际上构造了2个平行的超平面作为间隔边界以判别样本的分类:

竞彩足球人工智能大数据预测今日,人工智能预测足球靠谱吗

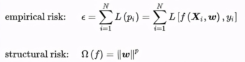
按统计学习理论,分类器在经过学习并应用于新数据时会产生风险,风险的类型可分为经验风险和结构风险:

竞彩足球人工智能大数据预测今日,人工智能预测足球靠谱吗

式中f表示分类器,经验风险由损失函数定义,描述了分类器所给出的分类结果的准确程度;结构风险由分类器参数矩阵的范数定义,描述了分类器自身的复杂程度以及稳定程度,复杂的分类器容易产生过拟合,因此是不稳定的。若一个分类器通过最小化经验风险和结构风险的线性组合以确定其模型参数:

竞彩足球人工智能大数据预测今日,人工智能预测足球靠谱吗

则对该分类器的求解是一个正则化问题,常数C 是正则化系数。当p=2 时,该式被称为L2正则化或Tikhonov正则化(Tikhonov regularization)。SVM的结构风险按p=2表示,在线性可分问题下,硬边界SVM的经验风险可以归0,因此其是一个完全最小化结构风险的分类器;在线性不可分问题中,软边界SVM的经验风险不可归0,因此其是一个L2正则化分类器,最小化结构风险和经验风险的线性组合。

数据清洗和特征提取是体现模型效果的重要因素。原始数据在复杂的环境下表现出很大的漂移特性,突变性。采用自适应对齐和滤波器进行清洗时在类型选择和因子的设定上都要依据应用进行网格化、迭代化、渐进化的寻优。特征选择要从时域和频域两个维度考量。时域信号的表达性较强,但稳定性较差,频域特征的可解释性较差,但稳定性高。有量纲量有均值,方差,均方根,峰值,无量纲量有峰值因数,峭度,脉冲因子,波形因子。频域特征有重心频率FC,均方频率MSF,均方根频率RMSF,频率方差VF,频率标准差RVF。除了单一的时域或频域特征,还有时频域特征如小波系数,小波包能量,Hibert谱,边际谱。

基于符号主义在边缘计算方面有一定的优势,因为边缘硬件算力和储存方面的限制。效果也是非常明显,无论是召回率还是精度都能表现优异。仅需少量的数据即可满足计算的要求。但有个较大的劣势,泛化能力差,模型的通用性能差。而基于深度学习的边缘计算,从模型结构和数据表示方面都能适应物联网范畴的ai植入。在模型结构上,减少模型的层数,而如何达到最优的模型层数则是一个比较复杂的问题,可以由经验设定然后进行小粒度的调整,也可以采用自适应优化的方式,或者两者相互结合。参数则包括模型的层数,卷积核大小,卷积步长,全连接层的节点个数等。在模型预测时,速度也是非常大的一个考量。在数据表示层面,主要有基于二进制的数据表示,uint8整形数表示等。在权衡精度和模型存储上进行博弈。达到符合实际应用场景的综合解决方案。深度学习因为有较好的拟合度,而且自己获得的数据量也有限,如果模型的拟合度过高,可能导过拟合。所以在训练时要尽可能增加数据量以及数据多多样化。在运动姿态算法中,要尽量采样更多的人员数据。在模型设计中,也要将模型设计和数据量进行匹配。

3 足球运动决策系统

类似Alpha_go的人工智能体系,足球运动也是有着类似的体系结构的竞技场景。Alpha_go通过穷举几乎所有专家级对弈过程的复盘来学习。通过最终的胜利还是失败,来反推从第一手到最后一手的每步的打分,如果旗手获得胜利,其走过的每一步都是得分,而如果失败,则其每一步都是减分。在整个棋局中,有吃的情况出现时,其前面的相应的数个步数也是得分。通过将所有的棋局输入进庞大的深度学习网络,则ai智能体能根据目前的棋盘的布局推断下一手的落子在哪。这就是Alpha_go的核心的强化学习思想。

竞彩足球人工智能大数据预测今日,人工智能预测足球靠谱吗

图2 强化学习基本模型

Agent与环境进行交互时,在每一时刻循环发生如下事件序列:

(1)Agent感知当前的环境状态;

(2)针对当前的状态和强化值,Agent选择一动作执行;

(3)当Agent所选择的动作作用于环境时,环境发生变化,即环境状态转

移至新状态并给出奖赏(强化信号,);

(4)奖赏(强化信号r)反馈给Agent。

足球和Ahpha_go不同的是,智能体从原来的1个变成了11个(10个队员1个守门员)。这样给足球AI自决策机制提出了巨大的挑战。无论从算力还是数据存储上都是围棋的数倍甚至数百倍的。另外一方面,围棋的数据很容易从历史数据中得到。而真实的足球运动只能得到一些视频数据,这些视频数据还要转化为每个运动员的实际位移数据才能为模型所理解。

例如一场足球比赛中,采集的数据量主要来自两方面的变化,一方面数据采集传感器(加速度、陀螺仪),规定数据采集传感器加速度、陀螺仪的采样率为f,加速度、陀螺仪采样值为每个轴(加速度X轴,Y轴,Z轴,陀螺仪X轴,Y轴,Z轴)2字节,因此一次采样值为12字节(6X2),依此推算每一秒加速度、陀螺仪采样值为f*12;另一方面为比赛双方的运动员人数以及运动的方向性,如规定每队运动员人数为n人,每一个时刻运动员运动的方向定位8个(按以运动员为中心,顺时针每变化45度范围为1个方向,如下图示意黑色实心圆为运动员)方向,因此在每一个时刻场上运动员的方向变化为:(2*n)^8 。

竞彩足球人工智能大数据预测今日,人工智能预测足球靠谱吗

根据以上两方面的定义每一秒传感器采集的数据为:(12*f)(2*n)^8 字节。

如一场比赛的时间为90分钟,双方每队队员n为11人,传感器采样率f为50赫兹(每秒采集数据50次),则按照规定采集到的数据至少为:90*3600*12*50*字节。这只是加速度、陀螺仪一个传感器的数据,只包含部分数据,如果结合一些其他传感器的数据,这个数据量将变得更加庞大。所以数据层面是最难实现的,如果不从历史数据中提取,则要使用随机运动数据生成。随机数据生成要加入规则,否则就失去了意义。规则需要由足球运动方面的专家进行辅助设计。比如,两个同组的队员不可能总挨在一起跑动。对抗的运动员直接会有意识地进行身体对抗。 深度学习网络通过学习到大量的随机的竞赛数据,最终形成了一个决策系统,每个队员都可以根据目前的场景进行决策,包括如何跑动,如何传球,最终获得胜利。

强化学习的任务就是学习从状态空间到动作空间的映射,其本质就是用参数化的函数来逼近“状态一动作”的映射关系。强化学习中常用算法如Q一学习、TD学习、Sarsa学习的一个共同特点是仅对值函数进行估计,动作选择策略则由值函数的估计完全确定。同时进行值函数和策略空间逼近的泛化方法基本上都是采用Barto提出的自适应启发评价方法(AHC)。该方法在处理具有连续状态空间的问题时,将连续状态空间划分为确定数量的子空间,子空间之间不进行泛化,因而会产生状态组合爆炸,即“维数灾难”问题。因此需要采取量化的方法,将连续输入空间变为离散输入空间,以降低输入空间的复杂度。本文采用归一化径向基函数(NRBF)作为局部函数逼近器用来表示连续输入状态空间并提出了一种基于NRBF的自适应状态空间构建策略。

Agent是对人类个体的仿生,而多Agent系统是对人类社会的仿生。由于学习、交流和协作是人类的本质特征,所以对多Agent系统中的分布式强化学习问题的研究具有重要意义。现有的分布式强化学习方法还存在着结构信度分配困难、学习速度慢等缺陷,这些缺陷大大限制了分布式强化学习方法的应用范围。本文也对分布式强化学习理论进行了系统地研究,并对其存在的部分问题提出了初步的解决办法。强化学习算法的目的就是寻找一个策略π,使得每个状态s的值ν^π(s)(或Q^π(s))都同时达到最大。即:

设法寻找一个策略π:S->A,能够最大化每个状态的值:

竞彩足球人工智能大数据预测今日,人工智能预测足球靠谱吗

其中,γt表示在时刻t的立即奖赏, γ (γ[0,1])为衰减系数。

ν*(s)和Q*(s,a)称为最优值函数。相应的最优策略为:

竞彩足球人工智能大数据预测今日,人工智能预测足球靠谱吗

本章中,针对采用联合动作的强化学习算法由于学习空间增大而收敛速度过慢问题,提出了一种改进的分布式Q学习算法,它可以根据概率统计的方法来学习其它Agent的策略并降低空间维数,概率统计的目的是为了预测其它 Agent 在某种环境状态下会采取什么样的动作,从而帮助Agent做出更好的行为选择,达到更快的协作。围捕问题的仿真结果证明了该算法的有效性。

4 多场景足球AI比赛和AI训练

日常户外比赛,AI足球系统可获取等数百项人球数据,包括触球、跑动、盘带、配合、热区等;球员或教练可选择自己关注的数据,有针对地改进和排兵布阵,数据也可以在社交媒体分享,提升乐趣;日常生活简单的跑步数据大家都晒得不亦乐乎,何况是千变万化、激烈对抗、特别在乎胜负、上场时间和表现的足球运动。

户外智能青训,几十个孩子一上场,要求的动作有没有做,做了多少次,做得质量如何,教练根本看不过来,智能足球青训系统可帮助教练自动跟踪每个球员所有训练动作并形成评估分析;远程智能青训场景下球员则可实现在任意时间、任意地点、随时随地*载下**全球名师课件进行训练,同时教练可远程派发课件获取球员训练数据。

无教练的室内训练模式成为趋势。室内体感训练场景下,球员可将手机智能课件投屏电视,穿上AI球鞋即可边看边练,系统自动打分,教练也可远程进行指导,家里的客厅将成为孩子最温暖的球场,无论是冰岛的冬天或者三亚的夏天,不受风吹日晒雨淋也可实现球技球感提升。在虚拟现实体感游戏中,AI球鞋则相当于游戏手柄,球员穿上AI球鞋,电视中的游戏人物与球员动作保持一致,在家中享受全感官足球游戏体验与顶级球星“面对面真实互动”,不仅锻炼了身体也享受到了足球运动带来的无限乐趣。

疫情蔓延期间,职业俱乐部空场比赛损失严重;由于俱乐部平常和球迷的链接只有门票以及球衣、围巾等简单的“纺织品输出”,AI足球系统不仅可以帮助俱乐部低龄梯队智能训练,还可以把俱乐部优秀的训练课件固化到云端,向数以万计甚至百万计的的球迷以及球迷的孩子输出,表现不错的球迷可以参见现场训练或者获得重要比赛球童的机会,大大增强了俱乐部和球迷的连接;借助数字化和智能化手段,俱乐部可由“纺织品输出”向“技术输出“转型升级。

5 总结与展望

AlphaGO颠覆了围棋,人类的最高水平是九段,AlphaGO不是九段,也不是十段,它是十八段;足球的动态变化远超围棋,只要传接球以及配合合理,理论上每次进攻都能带来一个进球,足球人工智能在全球来看还是无人区,足球运动的数值化、云化和AI化是即将到来的革命,10000小时学习定律也可能因AI加持而被打破。随着芯片、电路、算法等技术的不断迭代升级,用AI指导球员训练和比赛,打造AlphaFootball或许在某一天也可以实现!

*今条头日**36氪相关报道

微队AI足球实验室