经过精确的计算,中国队有 0.0355%(万分之三点五五)的机会获得小组前两名直接出线,有 0.5614%的机会获得小组第三名获得附加赛的资格。 这是目前的积分情况:

我的计算经过了两个版本:粗糙版本和精细版本。 粗糙估计版本: 假设最乐观的情况:六个队水平相同(虽然国足实际上和日本、澳大利亚、沙特不是一个档次),每场比赛“胜”、“平”、“负”的概率相同,都是 1/3。目前剩余 12 场比赛,共有

种结果的可能性。我们使用程序来算一下国足最终出现的概率是多高。沙特、日本、澳大利亚、阿曼、中国和越南分别积分 16、12、11、7、5、0 分。遍历这 531441 场比赛结果,通过程序可以得到最终排序情况数和概率。
- 中国队单独第一的情况数:9 种,概率=0.002%中国队并列第一的情况数:204 种,概率=0.038%中国队单独第二的情况数:2714 种,概率=0.511%中国队并列第二的情况数:3866 种,概率=0.727%中国队单独第三的情况数:16687 种,概率=3.140%中国队并列第三的情况数:17885 种,概率=3.365%中国队单独第四的情况数:107814 种,概率=20.287%中国队并列第四的情况数:47082 种,概率=8.859%中国队单独第五的情况数:270176 种,概率=50.838%中国队并列第五的情况数:23601 种,概率=4.441%中国队单独第六的情况数:41403 种,概率=7.791%
总结一下,
- 中国队最有可能的结果是保持小组单独第五名,概率高达 50.838%,超过一半;其次升至小组单独第四名,概率为 20.287%。 中国队有 1.278%的机会获得小组前两名直接出线! (概率中包括并列第二,不保证直接出线) 中国队有 6.505%的机会获得小组第三名(包括并列第三)获得附加赛的资格。 (概率中包括并列第三,不保证一定获得附加赛资格;概率中不包括并列第二掉落至小组实际第三)
我们梦想一种可能性: 沙特未来四战全败,中国未来四战全胜,此外阿曼胜澳大利亚、越南,越南胜日本,日本平澳大利亚,澳大利亚平越南。这样最终小组积分为:中国 17 分,沙特、澳大利亚、日本、阿曼均为 16 分,越南 4 分, 中国队小组第一出线!完美! 上述模型存在两个主要问题:
- 等概率: 胜平负的概率均为 1/3,显然不符合实际情况,中国队和其他队的水平并不是五五开,需要更精确的来估计。 并列的处理: 小组并列第二,不保证直接出线;小组并列第三,不保证一定获得附加赛资格;而附加赛资格中还应该包括并列第二掉落至小组实际第三的概率。所以最终得到了直接出线和获得附加赛资格的概率还不够准确。
针对上述问题,我设计了如下精细化版本的估计:
- 目前对球队胜平负概率能够参考的最准确的指标就是 菠菜公司的*率赔** ,由于最后四轮的*率赔**尚未公布,我们采用第一*大轮**循环的*率赔**作为第二轮的参考(由于多场比赛在中立场进行,在此忽略主客场因素)。假设有多只队伍最终积分相同,由于无法预测净胜球孰高孰低的信息,我们假设 总积分相同的队伍有等概率排到所有可能的位置 。例如:某一种结果组合有 0.1%的概率,而这种结果最终的结果是沙特队 21 分,中国、澳大利亚、日本、阿曼均为 16 分,越南 0 分,那么中国队在第 2、第 3、第 4、第 5 的概率均增加 0.1%÷4=0.025%。
精细化版本: 我从权威菠菜公司某某 365 上提取前六轮的*率赔**信息,这里使用各国英文首字母 S、J、A、O、C、V 分别代表沙特(Saudi Arabia)、日本(Japan)、澳大利亚(Australia)、阿曼(Oman)、中国(China)、越南(Vietnam)。

其中 Home、Away 代表主队和客队,Win、Draw、Lose 是主队获胜、打平、失利的*率赔**。后面四场依据前六场的*率赔**得到:

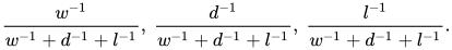
我们知道 *率赔**是同概率成反比的 。假设胜、平、负的*率赔**分别为

, 于是 主队获胜、打平、失利的概率 分别是

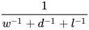
注意到

就是菠菜公司的返还率。我们制定每场比赛的胜平负的概率如下表:

12 场比赛的每一种组合(AV,JC,SO,JS,OA,VC,AJ,CS,VO,JV,OC,SA)都可以取 1(代表胜利)、0(代表打平)、-1(代表失利),而每种组合的概率是 12 场比赛对应的概率的乘积。每种结果结束后,各队的积分如下:
- final_S = S + dic[SO] + dic[-JS] + dic[-CS] + dic[SA]final_J = J + dic[JC] + dic[JS] + dic[-AJ] + dic[JV]final_A = A + dic[AV] + dic[-OA] + dic[AJ] + dic[-SA]final_O = O + dic[-SO] + dic[OA] + dic[-VO] + dic[OC]final_C = C + dic[-JC] + dic[-VC] + dic[CS] + dic[-OC]final_V = V + dic[-AV] + dic[VC] + dic[VO] + dic[-JV]
其中 dic = {1:3,0:1,-1:0} 是积分字典,代表胜、平、负分别得到 3 分、1 分和 0 分;S、J、A、O、C、V 是初始积分 16、12、11、7、5、0,而 final 前缀的变量代表总得分。最终将六个总得分进行排序就可以得到中国队的最终排位。接下来,我们遍历所有

种组合,将所有可能的概率加起来就是中国队最终排位的概率。我撰写了 Python 程序,代码如下:

最终输出:

结果:
- 中国队小组第一的概率 = 0.0006%中国队小组第二的概率 = 0.0349%中国队小组第三的概率 = 0.5614%中国队小组第四的概率 = 27.1519%中国队小组第五的概率 = 69.9990%中国队小组第六的概率 = 2.2521%
总结:
- 中国队最有可能的结果是 保持小组第五名,概率高达 70%,其次升至小组第四名,概率为 27% ,其他位次的概率非常低。 中国队有 0.0006%(百万分之六)的机会小组第一出线,有 0.0355%(两千八百分之一)的机会获得小组前两名直接出线。中国队有 0.5614%(一百八十分之一)的机会获得小组第三名获得附加赛的资格。
留给中国队的时间不多了!
