你也许曾在《刺客信条》里的罗马等各大历史城市里飞檐走壁,在别人家房顶欣赏不一样的风景……不过更喜闻乐见的行为肯定是,你爬上一座高高的建筑,找到一个下方有草堆的位置,有时旁边还停着一只鸟——
然后,跳下去……

《刺客信条》似乎尤其喜欢刻画游戏人物的跳跃,而玩家从上述地方“信仰一跃”之后,通常会跳进车上或者地上的一堆松散的稻草里。接着游戏人物会跟啥事没有一样从草堆里出来,继续他们刺客生涯……嗯,啥事也没有。
而且更不可思议的是,刺客们仿佛化身跳水(草)运动员,还会在半空中做出各种高难度系数动作——180度蜷身转体啦、翻筋斗啦之类的……
当然,跳水运动员敢从10米台上跳下去是因为下面有很深的水池作为缓冲——既便如此他们也需要掌握好动作,不能横着BiaJi一下摔水面上……而对于喜爱跳草的刺客们来说,松散的稻草无疑起到了相似的缓冲作用。

但问题是,我得信仰点啥,才能保证我“信仰一跃”跳进草堆后不会摔死呢?
——科学。
(当然,也有跳进水里和花里的……不过稻草堆里有叉子什么的,不在本篇讨论范围之内!)
没有叉子的稻草堆
(由于贴图师的懒惰……啊不,是游戏设定的原因)我们会发现游戏里用于缓冲的稻草堆大小都一样,无论是在地上,车上,还是在别人家的院子里……
所以在这种情况下,草堆对你的缓冲作用肯定是一样的,关键就在于你的起跳高度了。起跳高度越高,重力势能转换为的动能就越大,草堆则会将一部分动能吸收,也就是提供了“缓冲”。
恩,也就是说,我们可以试着建立一个模型来计算一下(别忙着“我选择死亡”,你可以忽略那些公式):

相比看公式,我还是跳下去吧……等会!
刺客的信条还少了数学?
因为草堆都是一样的,所以我们可以用固定的草堆参数来计算。
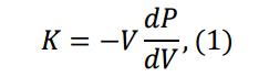
首先我们需要知道,当一个男人跳在草堆身上的时候,它所承受的力是多少。稻草堆受到的“挤压应力”,可以从这个公式开始计算:

其中K为弹性系数(就是弹簧那个),V是稻草堆的体积,P是“挤压应力”,指一个下降的物体(也就是你控制的游戏人物……)给草堆的力。在给定草堆体积的情况下,我们就能知道它能承受的压力大小了。这个压力P有:

m是下落的物体的质量,也就是刺客有多重。a代表减速参数,A则是接触面积。
在草堆体积被一只跳下来的刺客从体积V1压缩到V2的情况下,给第一个式子积个分,然后用上面这个方程代入,我们得到了草堆V2(被压)和草堆V1(完好)的体积比:

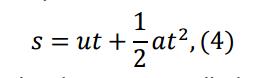
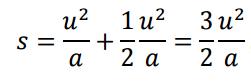
如果你还跟着虾丸君的话,会发现代表减速系数的a还需要计算。根据这个公式,在已知草堆被刺客身体压缩的距离s、身体和草堆接触一瞬间的速度u和冲击时间t的话,就能算出a:

又因为t=u/a,所以化简得到:

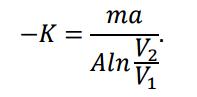
然后我们会发现,这个压缩距离s其实就是草堆前后的高度变化,再利用草堆和刺客身体的接触面积A,我们就用草堆的体积变化V1和V2来表示草堆被身体所压缩的距离s。说了这么久,如果你还记得之前的公式(1)和公式(3)的话(虾丸君知道你肯定不记得),那么我们就可以推导到最后啦——
最终会得到这样一个公式:


我还是跳吧……
参数计算
好了!终于可以代入数据了!
我们假设一个75千克的成年男性刺客成功跳入草堆(一头栽到草堆旁边的,不算……),并将草堆压缩了10%的话,我们能算出这个K=7351 帕斯卡。
如果是背部朝向草堆跳落,接触面积大概是0.95平方米。嗯……一个成年男子,最多在承受100个g的加速度时还能活下来(当然会受到十分严重的伤害)。而25个g则是一个“比较舒适”的范围上限,比如战斗机驾驶员和宇航员等等。
那么,如果在上面两种情况下,这堆稻草得有多高呢?

哟,一个草堆!
敢跳的都给信仰充了值
我们假设你从很高很高的地方往下跳,并达到了一个最终速度。那么在一般情况下,也就是受到25个g的加速度的情况下,稻草堆的高度大概需要21米……大约有7层楼那么高。虾丸君很怀疑除了寥寥几座建筑之外,游戏里真的有比这还高的建筑吗……
不过如果你能接受100g的加速度,情况会“好点”:你“只”需要4.7米 高的草堆就可以了……

等等,从圣十字大教堂跳?你确定?
当然,这些都是极端情况。如果你从游戏里最高的瞭望点“圣十字大教堂”往下跳的话,可以看到游戏里的人物大概在空中掉落了有4秒左右。如果不考虑空气阻力,那么能让你不至于摔死的高度大概是:
如果能承受100个g,那么你只需要2.4米高的草堆;而承受25个g的话则需要10.2米。
噢对了,游戏中,草堆大概只有1.5米高……
所以他们一定不是人……一定不是……
……
咦,既然我们都知道了草堆的高度,不如来算一下阿泰尔、拉乌夫和艾吉奥等人最高能从多高的地方跳下来吧:
在25个g的情况下,刺客们可以从大概12米的高度跳下来。
而如果能承受100个g的加速度的话,这个高度则能增加到大概50米……但你确定跳下来之后还能生龙活虎地和别人斗剑吗!

首先,你得爬上去……
不过……从圣十字大教堂顶上跳下来的时候……真的好!爽!啊!
参考文献
[1]http://en.wikipedia.org/wiki/Gforce#Human_tolerance_of_g-force
Last accessed24/10/2014
[2] Tipler, Paul A. College Physics. New York:Worth, 1987: 105
[3]http://en.wikipedia.org/wiki/Body_surface_area Last accessed 24/10/2014
Journal of Physics Special
“虾丸君:S.Mars你终于交稿了!(作者捂脸)另外,《刺客信条》的电影年末即将上映:

别瞎玩ID:geekgaming
游戏,一部时代的科学史
别瞎玩彩蛋提示:“辐射”、“Minecraft”、“城市”、“使命召唤”、“dota”、“LOL”、“足球”、“WOW”、“舰娘”、“刺客信条”、“炉石传说”、“守望先锋”、“EVE”、“文明”、“巫师”、“星露谷”等
