中国人事考试网通知了2023年的国家考试计划,如下:

出于工作需要,目前准备报考工程咨询师,今年4月8-9日考试,其实去年就报考了,由于疫情影响,四川地区上半年推迟考试,下半年正值成都封控,取消考试,所以只能今年再考了。
咨询工程师相对容易上岸,不限制专业,而且内容很实用,很不错的一门考试。
本文将介绍咨询工程师考试的第四门课程,也是最难通过的主观题课程《现代咨询方法和实务》,先来看一下常用的工程咨询方法都有哪些?
这是之前学习时候,结合教材做的表格,常用的现代工程咨询方法体系的一览表。
工程咨询业务服务包括:
1、政策咨询,如各类社会发展总体规划、专项规划、产业规划、园区规划以及企业规划等;
2、项目咨询,包括可行性研究报告、项目建议书、投融资策划、项目申请报告、资金申请报告等编制;
3、评估咨询,对以上政策咨询和项目咨询进行评估报告编制等;
4、全过程咨询,为项目决策、实施以及运营提供局部或整体解决方案、管理服务等。
而咨询工程师证书又分为不同专业,但采用的咨询方法都是可以适用的,目*考前**试主要学习的方法主要是上面表格中提到的各种方法。
|
综合分析法 |
逻辑框架法【LFA】 |
|
|
层次分析法【AHP】 |
||
|
SWOT分析法 |
||
|
PEST分析法 |
||
|
规划咨询方法 |
区域发展基础理论与分析 |
城镇与产业的空间分布理论:中心地理论、增长极与点轴开发理论等 |
|
人口与产业集聚程度的衡量:人口密度、城市首位度、区位熵 |
||
|
竞争优势理论与钻石模型 |
||
|
区域发展阶段分析 |
工业化发展阶段分析 |
|
|
城镇化率(发展阶段)分析 |
||
|
规划预测与分析的常用方法 |
德尔菲法 |
|
|
情景分析法 |
||
|
资源环境承载力分析方法 |
生态足迹法 |
|
|
层次分析法 |
||
|
战略分析方法 |
市场战略类型分析 |
|
|
产品生命周期 |
||
|
价值链分析法 |
||
|
竞争能力分析法 |
五因素分析模型法 |
|
|
核心竞争能力分析法 |
||
|
投资组合分析法 |
波士顿矩阵法 |
|
|
通用矩阵法 |
||
|
平衡积分卡 |
||
|
市场分析法 |
定性预测法 |
类推预测法 |
|
专家会议法 |
||
|
德尔菲法 |
||
|
因果预测法 |
回归分析法 |
|
|
弹性系数法 |
||
|
消费系数法 |
||
|
延伸预测法 |
移动平均法 |
|
|
指数平滑法 |
||
|
项目评价方法 |
财务分析法 |
现金流量分析 |
|
经济分析法 |
费用效益分析 |
|
|
社会评价法 |
社会调查法 |
|
|
社会分析法 |
||
|
方案比选法 |
方案经济比较法 |
|
|
有无项目对比法 |
||
|
价值工程分析法 |
||
|
风险分析法 |
蒙特卡洛模拟法 |
|
|
概率书法 |
||
|
项目管理方法 |
项目招投标咨询方法 |
|
|
项目进度控制方法 |
关键路径法 |
|
|
PERT法 |
||
|
项目费用控制方法 |
赢值法 |
|
|
项目质量控制方法 |
ABC分析法 |
|
|
鱼刺图分析法 |
||
|
控制图法 |
||
这些方法包括定性分析方法和定量分析方法,包括静态分析方法和动态分析方法,也包括统计分析和预测分析。
既有哲学方法:会辩证地分析事物两面性,甚至方法的优缺点;
又有逻辑方法:概念、判断、推理等逻辑思维形式,进行归纳、演绎、综合等;
还有学科方法:包括文献法、观察法、访谈法、问卷调查法、实验法、市场调查法、战略分析方法、价值工程方法、财务评价方法、经济评价方法、风险分析方法等。如下:

……
现代工程咨询的综合分析方法有哪些?如下:
|
综合分析法 |
逻辑框架法【LFA】 |
|
|
层次分析法【AHP】 |
||
|
SWOT分析法 |
||
|
PEST分析法 |
||
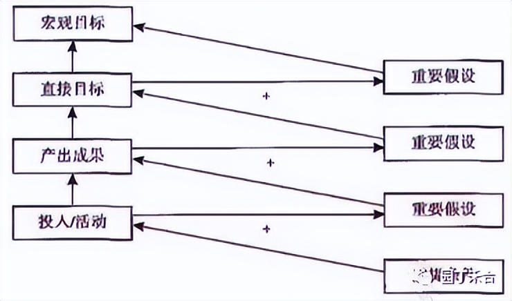
一、逻辑框架法【LFA】
此法是以简单的框架图来分析一个复杂项目的内涵和逻辑关系。
框架图:
|
目标层次 |
客观验证指标 |
客观验证方法 |
重要假设及外部条件 |
|
宏观目标 |
|||
|
具体目标 |
|||
|
产出成果 |
|||
|
投入/活动 |

要做好一个项目,就要把目标、直接目标、成果、投入以及活动理清楚,然后就明白整个项目的逻辑框架,知道做什么,怎么去做,如何保证做好等。在逻辑框架中,就可以很好地把这样的逻辑关系和内涵展示出来。
再表述具体一些,做一些解释如下:
|
目标层次 |
客观验证指标 |
客观验证方法 |
重要假设及外部条件 |
|
宏观目标(大目标、类似理想) |
目标的验证指标,数量质量等 |
资料来源:采用方法: |
|
|
具体目标(直接效果) |
目标的验证指标,数量质量等 |
资料来源:采用方法: |
|
|
产出成果(干了些什么) |
产出的验证指标,数量质量等 |
资料来源:采用方法: |
|
|
投入/活动(资源和时间等) |
投入的验证指标,数量质量等 |
资料来源:采用方法: |
举个栗子:
做好公众号(项目)按逻辑框架法怎么设计、管理和评价?
做公众号也算是一个项目,要不要做,做什么,怎么做,怎么才能做好?怎么设计、管理和评价,也可以通过逻辑框架来进行论证梳理。
做公众号这件事情也有 目标、具体目标、成果、投入活动等。如下:
|
目标层次 |
客观验证指标 |
客观验证方法 |
重要假设及外部条件 |
|
宏观目标 |
IP品牌…… |
粉丝数…… |
品牌运营…… |
|
具体目标 |
带货、赚钱…… |
收益数…… |
持续、平台推荐…… |
|
产出成果 |
文章、视频…… |
文章数量…… |
有素材、有货源…… |
|
投入/活动 |
时间、精力…… |
一天2小时,写…… |
有业余时间等…… |
简单解释一下,做公众号这个项目,
宏观理想目标把【园丁禾合】这个号做成一个大IP,当然理想目标是这样,具体用什么来衡量呢,粉丝数就可以证明,比如十万粉丝,如何保证成为品牌账号呢,肯定要坚持多年的品牌运营才可以,做好内容,做好宣传等。
具体目标,相当于分解的子目标,其中一个子目标那就是赚钱,很直接,就看带货收益数额等,如何保障呢,肯定要自己持续耕耘,然后有平台推荐……
产出成果,那就是文章、视频,保证有价值的,有趣的,有情怀的作品,这就是产出,如何验证呢,清单,数量,比如完成几千篇作品,多少阅读量等,保证措施和条件,就是要有素材,有时间坚持写……
投入及活动,肯定要投入精力、时间,具体验证指标,每天坚持1-3小时创作,重要条件和保障措施,就是家庭有人照顾,工作有业余时间,个人身体状态良好等……
如此,有了以上重要条件和保障、投入和产出、结果和目标,此事可依此而行。
在设计的过程中,要注意到,逻辑框架法有严谨的逻辑的, 一方面垂直逻辑关系,另一方方面是水平逻辑关系,都有推导关系,要格外注意编制步骤。

垂直关系

水平逻辑关系
|
逻辑框架的编制步骤: |
|
1、确定具体目标 |
|
2、确定产出成果 |
|
3、确定投入活动 |
|
4、确定宏观目标 |
|
5、用“如果,那么”的逻辑关系,自下而上检验纵向逻辑关系 |
|
6、确定重要假设及外部条件 |
|
7、依次确定各项可验证指标 |
|
8、确定指标的客观验证方法 |
二、层次分析法【AHP】
说很简单点,就是面对多个方案时候,按照每个方案的各个指标得分和权重进行综合比较分析,最后得出最优选择。
就拿找工作来举例:
我们看中了几份工作,作为自己的投递方向,工作就是自己的方案对这几份工作,怎么来选择?层次分析法就是按照各个方案的各项指标的重要性系数(权重)进行评价,然后根据综合评价值进行选择,最后选择满意的工作。
层次分析法:

从准则层的各项指标评分,通过计算加权平均值,选择综合评价值最大的方案。

假如现在有两份工作:一份是喜欢的工作,另一份是挣钱的工作,怎么选?
如果两者兼顾是最好的工作,但既然面临选择,那就说明两者有矛盾,只能二选一的情况。那我们就要结合个人情况,以及具体的工作来做具体的分析选择!
一、个人情况?
自己是不是很缺钱?如果是,那就先去满足自己的基本生活需求。如果满足了,那么问问你自己,你要的是眼前的赚钱,还是以后的理想+赚钱?
二、后再衡量一下两份具体工作怎么样?
1、这份工作是社会需要的吗?是有价值的吗?
2、这份工作能够养活自己吗?以后有钱途吗?
3、这份工作是自己喜欢的吗?会一直喜欢下去吗?
4、这份工作是自己可以干的吗?能干好吗?
然后建立层次分析结构:依次为目标层、准则层、方案层。

根据个人情况和工作情况给A工作和B工作各个指标(准则层)分别打分,分别给出权重系数,然后求加权平均数就行。

举例:
张三个人更看重自己喜欢以后能够发挥自己的才能,看重前途和以后赚钱,那么他给每项的权重就不同。权重系数总值100%,分配给以上6项。张三就会给工作前途、喜欢程度、以后赚钱权重系数较高,他根据自己可能会给以上6项依次权重系数为:0.2、0.1、0.2、0.3、0.1、0.1。
|
指标 |
指标权重 |
赚钱的A工作 |
喜欢的B工作 |
|
工作前途 |
0.2 |
2 |
3 |
|
现在赚钱 |
0.1 |
5 |
1 |
|
以后赚钱 |
0.2 |
3 |
4 |
|
喜欢程度 |
0.3 |
1 |
5 |
|
轻松胜任 |
0.1 |
4 |
4 |
|
工作环境 |
0.1 |
4 |
2 |
|
加权平均值 |
2.6 |
3.6 |
加权平均得分:
赚钱的工作A得分:2*0.2+5*0.1+3*0.2+1*0.3+4*0.1+4*0.1=2.6
喜欢的工作B得分:3*0.2+1*0.1+4*0.2+5*0.3+4*0.1+2*0.1=3.6
很明显,对于张三来说他肯定会选择喜欢的工作。当然每个人所处的阶段、处境、需要和想法、价值观和人生观不同,而面对的A和B这两份具体工作情况也不同,就要进行多方面的权衡比较,然后做出选择。
层次分析法在方案比选中的应用比较广泛,但后续的验证计算比较麻烦,在此仅讲述层次结构的建立。

层次结构建立是层次分析法的第一步。后续还有三步,涉及大量的计算,如果要深入学习,建议看书中《现代咨询方法与实务》国家统一考试教材中的案例即可。
|
层次分析法基本步骤: |
|
1.建立层次结构 |
|
2.构造比较判别矩阵 |
|
3.单准则下层次排序及其一致性检验 |
|
4.层次总排序及其一致性检验 |
三、SWOT分析法
SWOT分析法是管理、营销中应用非常广泛的一种方法,通过对内外部环境的分析,通过构造矩阵,制定战略计划。
此法的基本步骤如下:
|
基本步骤: |
|
1、分析环境因素 |
|
2、构造SWOT矩阵 |
|
3、制定行动计划 |
分析内外部环境,内部环境从自身优势和劣势分析,外部环境从外部的机会和威胁分析。

|
内部条件 |
优势S |
劣势W |
|
1、2、3、 |
1、2、3、 |
|
|
外部条件 |
机会O |
威胁T |
|
1、2、3、 |
1、2、3、 |
|
SWOT分析法模型 |
通过内外部矩阵进行战略分析,发挥优势、弥补劣势,抓住机会、规避威胁。通过以下战略分析,罗列出具体的战略措施,指导后期的行动计划。

企业的战略:S0增长性战略、ST多元化战略、W0扭转性战略、WT防御性战略。
|
战略选择 |
S0——增长性战略 |
ST——多元化战略 |
|
1、2、3、 |
1、2、3、 |
|
|
W0——扭转性战略 |
WT——防御性战略 |
|
|
1、2、3、 |
1、2、3、 |
总表:

简单举个例子,当然复杂项目的分析也会复杂一些,这里就简单以做公众号这件事情进行SWOT战略分析。
做本公众号SWOT战略分析:
|
机会O: 1、自媒体时代,阅读的人多2、公众号平台支持3、…… |
威胁 T: 1、红利期已过,做的人太多2、平台推荐较少3、…… |
|
|
优势S: 1、有基础素材2、每天有一两小时创作时间3、有创作热情 |
SO增长性战略: 1、抓住机会,发挥个人优势,写自己擅长的,总结自己的经验心得2、根据平台推荐机制,发送自己的旧文,创作新文3、关注热点,找熟悉领域有感觉的话题创作 |
ST多元化战略: 1、创作竞争激烈,一定要体现自己优势、特色、品牌2、同时多元化内容创作,结合自己不同经历创作3、多学习平台知识,懂得如何迎合推荐 |
|
劣势W: 1、时间有限2、不太会排版3、还算新手 |
WO扭转性战略: 1、有限的时间创作,利用好碎片化时间2、学习排版等,争取平台推荐3、…… |
WT防御性战略: 1、时间有限,避开竞争大的重复性的话题,突出内容创新、多元2、排版知识欠缺,新手,多学习,突出内容为主3、…… |
以个人公众号简单举例,仅供参考。总之,很多项目、事情都可以用SWOT分析法,进行战略选择。
四、PEST分析法
顺带着把PEST分析法讲一下,这个方法可以和SWOT结合这使用,PEST法是从宏观层面进行外部大环境分析。从政策法律、经济、社会环境和技术方面分析。

分析项目的外部环境,通过分析,探索项目对外部环境的适合度,然后进行相应战略选择和决策。

前文已经讲完综合分析法,今天开始讲规划咨询方法其中前两部分,关于区域发展基础和发展阶段的分析。从事区域规划、产业规划的朋友肯定清楚,区域的现状分析是基础,区域分析可以用到中心地理理论、增长极与点轴开发理论等。
之前我们的一个规划就是用了点轴开发理论,可以说这个理论也促进了中国改革开放后的飞速发展。见之前文章:《这个理论影响了中国几十年的经济布局和发展》《基于“点-轴系统”理论的乡村产业规划研究——以四川渠县为例》等。
区域发展阶段现状可以用产业集聚、人口、城市首位度、产业区位熵分析都是分析区域现状的基础方法。
|
规划咨询方法 |
区域发展基础理论与分析 |
城镇与产业的空间分布理论:中心地理论、增长极与点轴开发理论等 |
|
人口与产业集聚程度的衡量:人口密度、城市首位度、区位熵 |
||
|
竞争优势理论与钻石模型 |
||
|
区域发展阶段分析 |
工业化发展阶段分析 |
|
|
城镇化率(发展阶段)分析 |
||
|
规划预测与分析的常用方法 |
德尔菲法 |
|
|
情景分析法 |
||
|
资源环境承载力分析方法 |
生态足迹法 |
|
|
层次分析法 |
第一部分、区域发展基础理论与分析方法
区域发展理论主要研究这个地区基础情况。比如分析城镇与产业空间分布情况,人口、产业集聚情况,区位熵(地区优势产业分析)、地区竞争优势情况等,如下:
|
一、城镇与产业的空间分布理论:中心地理论、增长极与点轴开发理论等 |
|
二、人口与产业集聚程度的衡量:人口密度、城市首位度、区位熵 |
|
三、竞争优势理论与钻石模型 |
一、城镇和产业的空间分布
1、中心地理论:认为一定区域的中心地有着重要的支配和服务功能。
2、增长极与点轴开发理论:增长极就是区位条件优越的地区,会有极化效应,吸引周边各种资源要素聚集,另外也有扩散效应,产生落差后,生产要素会往周围扩散。
点轴开发理论是增长极理论的延续,不仅强调增长极这个点位,还强调轴线的开发,同样具有极化效应和扩散效应。这两个理论对中国经济腾飞起了关键性作用,详见下文:
另外一篇是团队完成本人撰写的一篇案例总结文章,发表在南方农业。
3、核心-边缘理论
核心区和边缘区(外围区),随着工业化发展,两区关系越来越紧密,从互不关联、独立发展,到彼此联系、发展不均衡,再到互相关联、平衡发展。解释了城乡发展的关系。
4、梯度转移理论
根据主导产业的创新度来评估产业处于哪个阶段。可以分为创新、发展、成熟、衰退阶段。再根据地区产业情况,评估地区处于高梯度还是低梯度。
二、人口与产业集聚程度的衡量
1、人口密度=人口数量/土地面积
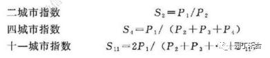
2、城市首位度
二城市指数=排名第一的城市人口规模或GDP/排名第二的城市人口规模或GDP

二城市指数在2以上、四城市指数和十一城市指数在1左右,表明结构正常,过大表明城市过度集中,大城市病突出,首位城市压力明显,指数过小表明集聚效应不明显,不能体现大城市引领作用。


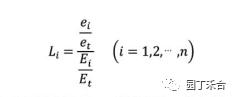
三、区位熵 LQ 又称专门化率
通过区位熵来进行比较优势分析,找出具有比较优势的产业


分子:当地某产业的GDP值(或人口数量),除以当地所有产业值;
分母:省区某产业值除以省区所有产业总值。
计算出来的区位熵如果大于1,就认为该产业是区域的专业化部门,越大说明专业化水平越高,除了可以满足自身需求还向区域外输出;如果区位熵小于或者等于1,就认为是自己行部门,主要满足趋于自身需求。
四、竞争优势理论与钻石模型
一个地区的产业竞争优势主要由四方面决定:
1、生产要素
2、需求条件
3、相关支持性产业
4、企业状况
一个地区的产业竞争优势主要由四方面决定:
1、生产要素:包括初级生产要素,比如地理位置、自然资源、初级劳动力等;高级生产要素,比如高级人才、科研院所、现代设施等
2、需求条件:主要指市场需求结果规模等
3、相关支持性产业:关联产业情况,有可能形成产业集聚的相关产业情况
4、企业状况:包括地区各个企业的战略、企业结构、企业竞争力等
机会和政府因素是辅助因素,机会是外部因素,有随机性和不可控性。政府可为产业和企业发展提供良好的环境、政策等。


第二部分 区域发展阶段分析方法
|
区域发展阶段分析 |
工业化发展阶段分析 |
|
城镇化率(发展阶段)分析 |
一、工业化发展阶段
此法主要判断一个地区的发展处于哪个阶段,然后确定未来的发展目标和发展重点。
(1)按人均GDP划分
第一、钱纳里标准模型
根据人均GDP将地区经济从不发达到发到分为:三个阶段六个时期。

第二、世界银行划分
此法根据人均国民收入GNE划分为四个等级,分别为低收入、中下等收入、中上等收入、高收入。不常考,不做赘述。
(2)按产业结构与就业结构划分
根据产业结构变化反映一个地区经济发展阶段(五阶段):是处于哪个发展时期,落后还是发达?
五阶段:工业化不同阶段的产业结构和就业结构特征:

2、城镇化发展阶段
如何判断一个地区的城镇化发展阶段?根据城镇化率来判断一个地区的区域发展情况。
诺瑟姆曲线按照人口比例(30%、70%)将地区城镇化分为三个阶段,初级阶段\快速发展阶段\停滞阶段:

3、经济成长阶段论
将经济成长社会发展分为六个阶段。不常考,简单罗列:
1)传统社会阶段
2)准备起飞阶段
3)起飞阶段
4)走向成熟阶段
5)大众消费阶段
6)超越大众消费阶段
关于区域发展基础和发展阶段理论和分析方法暂时介绍到此。
|
规划咨询方法 |
区域发展基础理论与分析 |
城镇与产业的空间分布理论:中心地理论、增长极与点轴开发理论等 |
|
人口与产业集聚程度的衡量:人口密度、城市首位度、区位熵 |
||
|
竞争优势理论与钻石模型 |
||
|
区域发展阶段分析 |
工业化发展阶段分析 |
|
|
城镇化率(发展阶段)分析 |
||
|
规划预测与分析的常用方法 |
德尔菲法 |
|
|
情景分析法 |
||
|
资源环境承载力分析方法 |
生态足迹法 |
|
|
层次分析法 |
第三部分、规划预测与分析的常用方法
顾名思义,就是对规划项目中的具体方面进行预测分析,未来如何发展,未来的某方面会如何?
根据考试教材,在此介绍两个常考方法:(尤其第一个考的最多,几乎年年考,第二个在2022年刚考过。)
|
规划预测与分析的常用方法 |
德尔菲法 |
|
情景分析法 |
1、德尔菲法
请专家背靠背地对需要预测的问题提出意见,决策者将各专家意见经过多次信息交换,逐步取得一致意见,从而得出决策方案。
德尔菲法的五个基本步骤:
(1)建立预测工作组
(2)选择转接
(3)设计调查表
(4)组织调查事实
(5)汇总处理调查结果

德尔菲法利弊:
利:
(1)便于专家独立思考
(2)低成本实现集思广益
(3)有利于探索性解决问题
(4)应用范围广泛
弊:
(1)缺少思想沟通交流
(2)容易忽视少数人的意见
(3)存在组织者官主观影响
应用范围:
(1)缺乏足够的资料
(2)长远规划或者大趋势预测
(3)影响预测事件的因素太多的时候
(4)主观因素对预测时间的影响较大的时候
举例:


2、情景分析法
不常考,明白主要步骤即可。举例看2022年考题。
主要步骤:
(1)确定关键问题
(2)识别影响因素
(3)情景构建
(4)情景分析
(5)情景评价
(6)确定发展战略
第四部分、资源环境承载力分析方法
|
资源环境承载力分析方法 |
生态足迹法 |
|
层次分析法 |
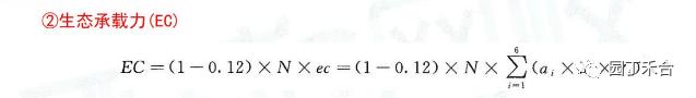
1、生态足迹法
本法本质上是度量地区环境可持续性发展的方法,以土地为指标,将地球表面的生态生产性土地分为六类:化石能源地、可耕地、牧草地、森林、建设用地、海洋(水域)。

通过计算生态承载力和生态足迹,两者相减求得生态盈亏,正值表明生态盈余,负值表示是生态赤字。


生态承载力,不仅要乘以均衡因子,还要乘以产量因子,另外还要扣除12%的比例作为生物多样性保护,也就是说再乘以88%。

如果一个地区出现负值,表明出现生态赤字,地方环境压力大,不利于再开发。
2、层次分析法
层次分析法在上篇文章:《咨询实务的综合分析方法有哪些?按层次分析法怎么选工作?【咨询】》已经讲过。
在生态环境分析中,层次分析法的目标曾可以为生态系统弹性度(弹性度越高说明生态系统恢复能力越强,地方生态越好。),准则层可以为水文、植被、土壤、气候、地貌等准则,指标层为各准则的具体指标值……
思路和框架参考上文即可。

关于规划预测分析和环境承载力分析主要常考的方法介绍至此。
常用的战略分析法有:
|
战略分析方法 |
市场战略类型分析 |
|
|
产品生命周期 |
||
|
价值链分析法 |
||
|
竞争能力分析法 |
五因素分析模型法 |
|
|
核心竞争能力分析法 |
||
|
投资组合分析法 |
波士顿矩阵法 |
|
|
通用矩阵法 |
||
|
平衡积分卡 |
||
下面就逐一讲解:(内容来自现代咨询方法与实务教材)
|
一、市场战略类型 |
市场战略类型可以分为以下几类:
战略分析本身就是总体规划,是从整体、长远角度出发,进行分析规划。

一般而言,市场战略可以分为总体战略、基本战略和职能战略。
总体战略可以分为稳定、发展和撤退三大类型战略;基本战略或基本竞争战略可以分为成本领先、差别化、重点集中三大方面战略。总之,根据后面的分析方法,最终要确定的总体战略,就是以上几种类型。

|
二、产品生命周期 |
根据企业的产品所处的生命阶段,进行分析。企业也罢、产品也罢,正如生命体一样,也要经过成长、成熟和衰老。
产品生命周期分析是根据产品在特性、生产和市场表现方面的不同特点,确定其在不同阶段,采取不同措施。
(1)导入期:产品刚开始被市场接受,此时市场需求低,企业少,竞争小,成本高。需要付出大成本来参与市场完善产品,但具有先入优势。
(2)成长期:市场需求快速增加,企业数量增加,产品质量提高成本下降,此时是进入该产品行业的最佳时期。
(3)成熟期:产品定型技术成熟,成本下降,利润水平高,但增长速度减慢,竞争激烈,企业进入门槛较高。
(4)衰退期:可替代新产品出现,市场规模萎缩,同时技术成熟,产品竞品多,差异小,可考虑退出此生产领域,不宜进入。
|
三、价值链分析法 |
我对这个分析方法很感兴趣,但总觉得此法停留在表面,应该还有可以深挖的空间。
该方法认为,企业的价值创造是通过每个环节的价值活动构成的,也就是说每个部门、岗位都应该创造价值,不然就是人浮于事,机构臃肿的表现。所以对每个环节进行价值分析,从而进行战略调整,是非常重要的。很多企业之所以倒闭,很大程度上就是因为内部运作不行,或者说不畅通,腐朽,很有环节没有融入价值链体系,或者没创造应该的价值,花了钱没赚钱,那就是问题。当然,价值考量不是只看眼前,但一定要进行价值分析。
价值链分析法就是对每个环节、每项活动进行分析,进行优劣势比较,分析各项活动的内部联系,进行协同考虑,优化改进。可以说,企业只有在价值链上的某环节拥有竞争优势才能保持长期竞争优势。因此通过价值链分析,针对性地总结各环节工作价值,提炼竞争优势,制定企业战略。
价值活动包括基本活动,围绕主要产品展开:原料配送、生产制造、产品配送、销售、售后服务。
辅助活动:财务、计划、人力资源管理、研发与设计、产品之外的物品采购。
价值链分析的步骤:
(1)识别企业价值活动。
(2)确定活动的价值。哪些环节创造了企业价值,具有竞争优势。通过活动分解,对每一活动进行评价,找出其成本以及价值收益,分析投入产出是否相称,从而确定每个活动的价值。
(3)改进价值链活动。根据确定的价值评价,对价值链进行重新配置和改善。比如放弃不必要或者价值不大的活动、合并同性质的活动、调整活动的先后顺序等。
|
四、竞争能力分析法 |
五因素分析模型法 |
|
核心竞争能力分析法 |
|
1、五因素分析模型 |
行业(企业)竞争结构分析的主要方法,通过五种基本竞争力量的分析,来考量行业的竞争力和获利能力,从而进行战略调整或者策划。
五种竞争力量称之为“3横2纵”。
三种横向的力竞争力量和两种纵向的竞争力量
3横:新进入者的威胁、现有竞争对手之间的竞争、替代品的威胁
2纵:供应商讨价还价的能力、客户讨价还价的能力

|
2、企业竞争能力分析 |
核心竞争力是优势的关键资源或者活动,是对手难以模仿的、稳定的,对企业至关重要的竞争力,比如独特的企业文化、专利技术、客户资源等。对于具体企业而言,需要具体分析自身的和核心竞争力。也就是要进行关键要素分析。
首先,一般而言,不同行业的竞争成功关键要素有所区别,如下:

企业可以与对标企业进行比较分析:

最终,找到自身的竞争优势所在,核心竞争力的所在,依次制定战略规划。
|
五、投资组合分析法 |
波士顿矩阵法 |
|
通用矩阵法 |
|
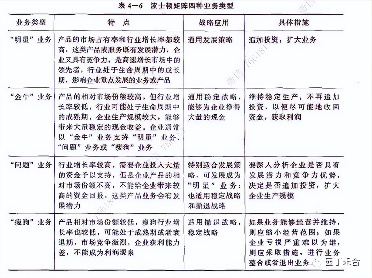
1、波士顿矩阵 |
波士顿矩阵通过企业各业务的市场增长率和相对市场份额,将业务划分为“问题”业务、“明星”业务、“金牛”业务和“瘦狗”业务四种类型。
特点及措施:
(1)“问题”业务:
第一象限,相对市场份额低,市场增长率高,分析后决定,是否追加投资,扩大规模;
(2)“明星”业务:
第二象限,相对市场份额和市场增长率都高,可追加投资扩大业务;
(3)“金牛”业务:
第三象限,相对市场份额高,市场增长率低,维持稳定生产,不追加投资;
(4)“瘦狗”业务:
第四象限,相对市场份额和市场增长率都低,根据情况,决定稳定还是整合退出。

战略组合应用:
(1)发展战略:
扩大业务的相对市场份额,甚至不惜放弃近期利润。适合“问题”业务、“明星”业务
(2)稳定战略:
保持相对市场份额,适合“金牛”业务,在适合情况下,也适合“问题”业务和“瘦狗”业务。
(3)撤退战略:
适合“问题”业务和“瘦狗”业务。

|
2、通用矩阵 |
与波士顿矩阵类似,考虑了更多的因素,对不同业务进行了比较。通用矩阵的横坐标用企业实力来表示,替代了相对市场份额,而纵坐标用行业吸引力表示,替代了市场增长率。


根据具体业务所处的格子区域,采取不同的战略选择。一共9个方格,左上角3个格子的产品或业务最具有发展前途,企业应该采取积极地投资发展战略,重点投资发展战略,扩大生产,增加盈利能力;左下角三个格子吸引力较弱,企业实力较弱,餐区退出或者利用/推出战略,迅速火力,收回投资,放弃该业务或产品。

|
六、平衡积分卡 |
本战略分析方法超越以财务量度为主的传统绩效评价模式,是一种具有实践指导意义的企业绩效管理方法。基本内容分为四维度评价和五项平衡。
四维度评价:
(1)财务层面:财务运营表现如何?各项目标、测评指标完成情况如何?
(2)客户层面:客户开发维护方面如何?各项目标指标完成情况如何?
(3)内部经营流程层面:擅长的业务流程情况如何?各项指标数据如何?
(4)学习与成长层面:企业应该保持怎么样的改革和学习能力?完成情况如何?
其将企业的使命和战略转化为有形的目标和衡量指标。
五项平衡:
(1)财务指标和非财务指标的平衡
(2)企业的长期目标和短期目标的平衡
(3)结果性指标与动因性指标的平衡
(4)企业内部群体与外部群体的平衡
(5)先行指标与滞后指标的平衡
关于平衡记分卡,在2021考题中,一道大题占分20分,算是比重很大,之后相对出题几率较小。总之,此方法讲解涉及大量数据,看例题即可,计算也不算是很难。
关于战略分析方法暂时介绍到此。
常用的市场分析法有:
|
市场分析法 |
定性预测法 |
类推预测法 |
|
专家会议法 |
||
|
德尔菲法 |
||
|
因果预测法 |
回归分析法 |
|
|
弹性系数法 |
||
|
消费系数法 |
||
|
延伸预测法 |
移动平均法 |
|
|
指数平滑法 |
|
一、定性预测法 |
类推预测法 |
|
专家会议法 |
|
|
德尔菲法 |
定性预测是根据信息资料,评价专家个人和群体的经验、知识进行预测,主观性比较强,也会运用一定的方法,比如下面谈到的类推预测法、专家预测法等。
1.1 类推预测法
就是根据相似性,从一个已知事物推测其他类似的事物。可以分为产品类推预测、行业类推预测和地区类推预测三种。(此法较为简单,也很少考查,不做详述。)
(1)产品类推预测
(2)行业类推预测
(3)地区类推预测
1.2 专家会议法
邀请组织专家,通过会议对产品、行业进行分析预测,综合分析,得出预测结论。包括头脑风暴法、交锋式会议法、混合式会议法等。(此法较为简单,也很少考查,不做详述。)
1.3 德尔菲法
在上篇规划预测与分析方法中已经介绍过,在市场预测与分析中,此法依然可用。它的优势体现在:(1)便于专家独立思考;(2)低成本实现集思广益;(3)有利于探索性解决问题;(4)应用范围广泛等,应用范围也较为广泛,如在以下情况下可用:(1)缺乏足够的资料、(2)长远规划或者大趋势预测、(3)影响预测事件的因素太多的时候、(4)主观因素对预测时间的影响较大的时候。
|
二、因果预测法 |
回归分析法 |
|
弹性系数法 |
|
|
消费系数法 |
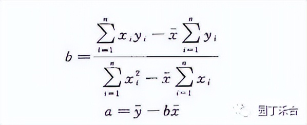
2.1 线性回归分析法
简单来说就是,通过历史值建立线性关系,预测未来值。
基本公式

根据历史值 求回归系数

回归检验:采用方差分析、相关系数检验和t检验,随后进行点预测和区间预测。
相关系数检验和t检验要查表,考的可能性不大。此法计算量大,不常考,把书上例题吃透即可。
2.2 弹性系数法
所谓弹性,指的是某一个变量的改变所引起的另一个变量的相对变化。就是变量之间的相对值。使用这种方法可以分析两者之间的关系,比如收入变化引起的购买量变化,优点是简单易行、计算方便、应用灵活广泛,缺点是只分析了两个变量而忽略了其他因素,另外分析的结果比较粗糙,毕竟是以历史数据推算出来的弹性系数,对未来的预测可能不准确。
(1)收入弹性
收入弹性(弹性系数)=购买量变化率/收入变化率
(2)价格弹性
价格弹性(弹性系数)=购买量变化率/价格变化率
(3)能源需求弹性
能源需求弹性(弹性系数)=能源消费量变化率/GDP变化率
2.3 消费系数法
某部门的消费系数=某部门产品消费量/该部门产品的产量
|
三、延伸预测法 |
移动平均法 |
|
指数平滑法 |
3.1 简单移动平均法
适合于短期预测,一般通过数据计算和处理,预测月度或者周为单位的近期预测。优点是简单易行,容易掌握,缺点是处理水平型历史数据时候才有效,而十几种历史数据类型复杂,此法就有所局限。
简单移动平均表达公示如下:

学习建议:看书上案例,按照三个月求平均数算第四个月预测值,以此类推,计算未来一个月的预测值。
3.2 指数平滑法
和简单移动平均法相似,提供简单适时的预测,区别在于对先前预测结果的误差进行了修正。同样也是适合于短期预测,一般通过数据计算和处理,预测月度或者周为单位的近期预测。
指数平滑法,首先要确定平滑系数a,以及初始值F0(例如设为前三年均值)。例如:初始值F0=(X1+X2+X3)/3。
涉及大量计算部分,进行了简化,如果对方法和咨询师考试感兴趣,可以看原版教材,或者留言交流。
一个项目是否可行,肯定要进行财务分析,当然,从国家的角度而言,还要进行经济分析、社会分析、风险分析。今天在此主要讲项目评价方法中的财务分析。
|
项目评价方法 |
财务分析法 |
现金流量分析 |
|
经济分析法 |
费用效益分析 |
|
|
社会评价法 |
社会调查法 |
|
|
社会分析法 |
||
|
方案比选法 |
方案经济比较法 |
|
|
有无项目对比法 |
||
|
价值工程分析法 |
||
|
风险分析法 |
蒙特卡洛模拟法 |
|
|
概率树法 |
做过项目可行性研究报告编制的朋友肯定清楚,财务分析是关键。项目赚不赚钱,对企业来说是关键,能不能持续赚钱,或者能不能运营起来,不至于资金链断裂,都要进行财务分析,论证其经济上的可行性。
财务分析中,很重要的一点就是现金流量分析,也可以说是关键所在。
项目财务经济评价常用指标:根据不同的分类,可以将经济评价指标分为不同类别。
1、从是否考虑资金时间价值,可以分为静态分析指标和动态分析指标;
2、按照项目评价层次,可以分为财务分析指标和经济分析指标;
3、按照指标的性质可以分为时间性、价值性和比率性指标。

涉及的财务分析指标如下:
|
1、静态回收期 |
|
2、动态回收期 |
|
3、净现值 |
|
4、净年值 |
|
5、内部收益率 |
|
6、净现值率…… |
以上指标分析基本需要进行等值计算,进行现金流量分析。最终形成投资现金流量表。

|
现金流量分析 |
现金流量的估算
现金流入(CI)为:产品销售收入、回收固定资产余值、回收流动资金3项之和。
现金流出(CO)包含:固定资产投资、流动资金、经营成本及税金等。
项目计算期各年的净现金流量为各年现金流入量减去对应年份的现金流出量。
后续各项指标都需要在等值换算的基础上应用公式进行计算,先了解一下等值换算关系。所谓等值换算指的就是现值、终值以及年值的换算。比如十年前的100元,和现在的100元就不可能相等,所以要进行换算。十年前的100元,可能是现在的几百元,要根据不同行业的基准值进行换算。
现值、终值以及年值等值计算表
资金等值计算关系示意图:现值、终值以及年值计算。这个换算表是基础,后续的各项指标分析,都建立在等值计算关系表的基础上。

其他指标的计算公式如下:











具体可参考之前关于可行性研究报告编制相关文章:《可行性研究报告编制要点汇总(建议收藏)》《怎么编制可行性研究报告?最关键的几点是什么?(值得收藏)》《可行性研究报告编制的财务分析》。
关于项目评价分析中财务分析方法简要介绍至此。