现代物理两大基石的起始
19世纪的最后一天,欧洲著名的科学家欢聚一堂。会上,英国著名物理学家威廉.汤姆生(即开尔文勋爵)发表了新年祝词。他在回顾物理学所取得的伟大成就时说,物理大厦已经落成,只剩下天空中飘着的两朵乌云。一朵乌云是指迈克尔逊-莫雷实验结果证明以太并不存在,另一朵乌云是指黑体辐射中的“紫外灾变”计算问题。到了20世纪初,前者诞生出了相对论,后者诞生出了量子论,两者共同成为现代物理学的两大基石,一个用来描述宏观一个用来描述微观。
对量子论本身的解释
对于相对论,虽然难懂,但只要加深学习,大家还是可以直观理解的,不需要做出过多解释。但对于量子论,其理论预言非常反直觉,虽然正确性已经得到了无数实验的验证,但由于其难以理解,所以科学界出现了很多对于量子力学本身的解释。这其中包括目前公认的教科书里的正统解释:哥本哈根解释,还有多宇宙解释、退相干历史解释、隐变量理论、系综解释等等等等,甚至还有一派科学家认为量子论无法解释也不需要解释,它能用来计算就行了,也被称之为闭嘴计算解释。

量子理论推论量子纠缠
由于存在多种解释,一些玄学借此大加发挥,创造出了诸如量子佛学、量子针灸等等概念,强行碰瓷量子论。这里要明白,无论爱因斯坦如何质疑量子论,无论费曼如何说没有人真正理解量子论,量子论其本身都不是玄学或者某种诡辩,它是建立在数学之上的,经过无数实验验证过的科学,而不是无法验证的超距作用或是只在哲学层面纯在的玄妙概念。
粒子还是波,量子论在这一争论中一步步建立起来。
一.最初的发端是从假设不连续性也就是粒子性开始的。把能量当作是不连续的,有一个最小单位,类似于银行存款,最小只能存或者取一分钱,而不能存或者取出半分钱出来。而这个不连续性来源于量子论鼻祖普朗克利用内插法把两个不同黑体辐射公式拼凑出来的新公式,普朗克发现了这个新公式并解读出其中蕴含的物理意义:能量是不连续的,只能一份一份的发射和吸收,他称其为能量子,并由此获得1918年诺贝尔物理奖。不过他非常小心的向大众解释,量子的假设并不是一个物理真实,而纯粹是一个为了方便计算而引入的假设而已。

普朗克及其普朗克常数
从此不连续的量子思想生根发芽,爱因斯坦用光量子解释了光电效应并获1921年诺奖,玻尔用量子化的电子轨道解释了氢原子谱线并获1922年诺奖。但这仅仅是个开始,36岁的玻尔后来成为了哥本哈根理论物理研究所(后改名为玻尔研究所)的所长,一大批年轻人在玻尔人格魅力吸引下来到这里,包括赫维西、弗里西、泡利、海森堡、 莫特、朗道、盖莫夫等等物理学男孩,逐渐形成了对后世影响深远的哥本哈根学派。

玻尔行星电子轨道模型
二.而同时基于连续性也就是波性的研究也获得了重大成就,法国贵族德布罗意认为电子在玻尔模型中被刻意硬性规定的量子化轨道非常不合情理,他认为电子在前进时,总是伴随着一个波,从而产生了周期性和量子化的轨道。而随后的电子衍射实验证明了德布罗意波的正确。所有物质都有波的特性,但将宏观物体带入德布罗意波长公式可以算出其波长太小,波性忽略不计。

德布罗意波长公式:波长=普朗克常数除以动量
微观物质到底是粒子还是波,双方继续沿着不同道路研究并从中取得成果。
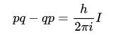
1.随后海森堡在又不连续性的粒子性思想上建立起矩阵力学,并困惑于p×q≠q×p(测量粒子动量与位置的先后)结果不同代表了什么物理含义。他认为物理世界的基本现象是离散性,或者说不连续性,不能使用经典方式去认识它。

矩阵
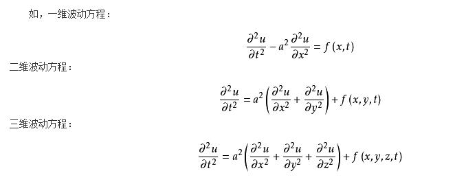
2.而紧接着薛定谔继续从经典连续性的波性出发,建立起波动力学,认为量子化是波的本证值的表现。波函数ψ在各个方向上都是连续的,电子是一种驻在的本征振动, 所谓电子的“跃迁”,只不过是它振动方式的改变而已。

波动方程
又是波粒之争,海森堡和薛定谔各自对对方的成果不屑一顾,争论达到了顶峰。但是物理学家们很快证明了两种力学体系在数学上来说是完全等价的!它们都是从经典的哈密顿函数而来,只不过一个是从粒子的运动方程出发,一个是从波动方程出发罢了。
哥本哈根试图解释矩阵力学与波动力学的如何统一
现在我们有两种从不同的物质本质出发的力学理论都可以描述量子行为且很好地用于实验预测,一个量子系统的量子态既可以用矩阵来表述,也可以用波函数来表述,而且两种理论在数学上是等价的。那么必然需要对此做出合理的解释,于是物理学家在争论中开始慢慢发展对其内在含义的解释,最终形成了量子论哥本哈根解释。
首先是海森堡的导师波恩,他对薛定谔的波动方程产生了浓厚的兴趣,但他认为波函数应该被理解为抽象的计算实验概率的数学工具。这是哥本哈根学派对于波函数意义的解释:波函数对量子系统的描述是概率性的,一个事件的概率是波函数的绝对值平方。在此需要注意哥本哈根解释并不否认波函数的实体性,但由于其不可知性(不可测量),所以不予讨论。

波恩定则
接着海森堡终于搞清楚了p×q≠q×p所代表的物理含义,它揭示出了对后世影响深远的测不准原理(不确定性原理)。在一个量子力学系统中,一个运动粒子的位置和它的动量不可被同时确定,位置的不确定性和动量的不确定性是不可避免的,它们的乘积不小于ΔxΔp≥h/4π,h为普朗克常数。与德布罗意波类似,将宏观物体中带入公式可以计算出不确定值非常小,可以忽略不计,但微观物体的不确定值会明显显著。而这种不确定性不止来自观察的扰动,且是所有类波系统的内秉性质,不受现在或未来观察手段的限制。同时,哥本哈根学派认为测量仪器是经典仪器,只能测量经典性质,像位置,动量等等;测量行为的观察者无所谓是否是仪器或是人,而是事件的登记。

海森堡不确定性原理
玻尔揭示互补原理统一波与粒
在粒子与波,矩阵与波,概率与不确定的无休止争论中,玻尔再次出场了,玻尔洞察出了充满哲学思辨意味的互补原理:揭示出了物质都具有波粒二象性,一个实验可以展示出物质的粒子行为,或波动行为;但不能同时展示出两种行为;而具体实验体现哪种行为取决于观测方式。物质既是粒子也是波,且在不去测量前讨论性质是没有意义的。终于,物质是粒子还是波的争论在玻尔这里得到了认识上的统一。玻尔又由物质波波长公式及不确定性不等式等总结出了对应原理:大尺度宏观系统的量子物理行为应该近似于经典行为,统一了宏观与微观上的认识。

哥本哈根解释的主要内容
总结一下,前面通过量子力学的建立过程和对粒子还是波的争论过程,我们得到了哥本哈根解释的主要内容:
1.一个量子系统的量子态既可以用矩阵来表述,也可以用波函数来表述,而且两种理论在数学上是等价的。
2.波函数对量子系统的描述是概率性的,一个事件的概率是波函数的绝对值平方。
3.在量子系统里,一个粒子的位置和动量无法同时被确定。
4.物质具有波粒二象性,一个实验可以展示出物质的粒子行为,或波动行为,但不能同时展示出两种行为。
5. 观察者是经典的,测量仪器是经典仪器,只能测量经典性质,测量行为的观察者无所谓是仪器或是人,而是事件的登记。
6.大尺度宏观系统的量子物理行为应该近似于经典行为。
哥本哈根解释抛弃实在性、拒绝决定论,违背经典物理理念
以上解释好像并不让人困惑,但其种种哲学推论和对具体物理实验的解释才真正让人对其感到难以相信。哥本哈根解释摧毁了客观性与实在性,哥本哈根派认为不存在一个客观的,绝对的世界。唯一存在的,就是我们能够观测到的世界。物理学的全部意义,不在于它能够揭示出自然“是什么”,而在于它能够明确,关于自然我们能“说什么”。没有一个脱离于观测而存在的绝对自然,只有我们和那些复杂的测量关系,构成了这个宇宙的全部。测量是新物理学的核心,测量行为创造了整个世界。哥本哈根解释同样摧毁了因果性和决定论,世界的本质是随机,只能用概率表示。那个传说中的知道一切状态并能推演未来的拉普拉斯妖是不存在的,我们甚至无法同时得知一个电子的位置和动量。
让我们来看看哥本哈根解释对具体物理实验是如何预言与诠释的。
首先就是单光子双缝干涉实验,随着科技的快速进步,现在已发展出来能够可靠地发射单独电子的物理仪器。使用这种单独电子发射器来进行双缝实验,可以使得在任意时间最多只有一个电子存在于发射器与探测屏之间,因此,每一次最多只有一个电子通过双狭缝,而不是一大群电子在很短时间间隔内挤着要通过双狭缝。实验中中这种托马斯杨双缝干涉实验的升级版,如图所示,探测屏累积很多次电子冲击事件之后,会显示出熟悉的干涉图样。从这图样可以推论,单独电子似乎可以同时刻通过两条狭缝,并且自己与自己干涉。物理学家用从原子到更复杂的分子,包括巴基球(是一种由60个碳原子构成的分子,形似足球,又名足球烯)去做单粒子双缝干涉实验,这些微观粒子都会产生类似现象。于是实验进一步升级,如果在双缝处安装探测器以探测电子到底通过了哪条缝时,干涉图形就消失了,只剩下了两条光带;关闭探测时,干涉图形又回归了。

单光子双缝干涉实验
哥本哈根对此的解释是当我们不去观察的时候,说电子在什么地方是没有意义的,只有它的概率在空间中展开。 “电子无处不在,而又无处在”, 指的就是这个意思。当我们把一块感光屏放在它面前以测量它的位置的时候,突然按照波函数的概率分布而随机地作出了一个选择,并以一个小点的形式出现在了某处(这称之为波函数的坍缩)。当我们不去观测它通过哪条缝时,电子就会以无处不在的概率波的形式在双缝处发生自我干涉,在后方显示屏上按照干涉后的概率分布并坍缩于一个点。而当我们去观测它究竟通过哪条缝时,实际上是去观测电子的粒子性,根据互补原理,由于此时电子展示出了粒子性所以电子此时再无法展现出波性,也就无法生成干涉图形。
这里出现了哥本哈根解释最让人不舒服的地方,也是被各种玄学误读最多的地方,他没有解释为什么观测会造成波函数的坍缩,在这里特别强调,哥本哈根解释没有明确定义观察者,海森堡在一篇文章中强调,哥本哈根派不在意观察者是人或是仪器或是某种作用,观察者的职责只在登记决定,也就是说,观察就是登记发生于空间和时间的事件。
再来解释第二个实验,更加著名的薛定谔猫思想实验。将一只猫放入一个配备了放射性物质,辐射侦测器(盖革计数器)和毒气桶(氰化氢)的盒子。假设,在一段时间T内,放射性物质有50%的概率发射出一个粒子,也有50%的概率保持不变。再假设放射性物质发射出的任何粒子,都可以被盖革计数器侦测到。在这一段时间T内,假若盖革计数器侦测到任何粒子,毒气桶释放毒气的机制就会被启动。释放出毒气来毒死盒子里的猫;否则,假若放射性物质保持不变,那么,猫仍旧会是活的。薛定谔设计出这个荒谬的实验。在时间t=T,整个系统的波函数会是各占一半概率的活猫与死猫态的叠加,只有当观察者掀开盒盖,波函数立刻会坍缩成活猫或死猫,也可以说人的观察行为造成了猫的生或者死。

又死又活的猫
此实验其实是设计了一个叠加量子态,用来联系微观与宏观,玻尔本人对这个问题本身不予回答,因为他认为早在一个有意识的观察者对测量结果进行观察之前,测量本身(如实验中那个盖格计数器)就足以使量子波函数坍缩,在原子放射出的粒子击中探测器时,“观察”就已经发生了,猫的生死已经确定,与打开盖子与否无关。这种看法可以发展成为客观坍缩理论,但这里这种非意识的测量仪器造成的坍缩在一些理论中被认为只是子系统的假坍缩,观测仪器与量子组成的叠加量子态大系统仍处于波函数中。这里顺便介绍一下已获成功的延伸实验,例如介观物体的态叠加。这些实验并未展示出猫尺寸物体可以进行态叠加,但是它们提升了猫状态的可能尺寸上限,物理学者仍旧不清楚这种叠加态怎样坍缩为单独本征态。
对于一个纯思想实验,薛定谔的猫实际上是微观量子现象是否可以作用于宏观物体上的思考。对此,玻尔为首的哥本哈根学派宣称,在观察之前谈论猫态毫无意义。观察过程和观察者必须是独立于理论之外的特殊过程。这就是哥本哈根学派著名的“量子经典边界”:观察者是经典的,粒子是量子的,观察必然要跨越这个边界。哥本哈根对于此实验是认为微观与宏观之间有边界而拒绝讨论的。
哥本哈根解释推导出了“意识可能导致了波函数的坍缩”这一“怪兽”
哥本哈根认定的这个微观宏观边界是模糊的描述不清的,因为在哥本哈根解释里一个量子理论无法自洽地描述一个使用量子理论的观察者。后来冯诺依曼研究了观察这一被哥本哈根学派故意模糊的过程,他敏锐地指出观察者和测量仪器本身也是微观粒子构成的,也一定会符合量子力学。那它们本身也必然会随着被观察对象进入叠加量子态,而成为一个更大的量子系统,这样一级套一级,唯一剩下来的会导致波函数坍缩的就只能是无法被量子力学描述的意识了。从本质上说,冯诺依曼的这一计算过程可以理解为哥本哈根解释的一种推导,只不过把原本模糊的量子经典边界划在了人的意识这边。由此进一步推论:人的意识决定了事物的现实性,决定了猫的生死,甚至反过来决定了宇宙的历史,如果没有第一只有意识的生物观察宇宙,宇宙就一直处于模糊不清的叠加态!如果顺着思路继续探讨,究竟意识导致坍缩发生在什么时刻,发生在观察者眼睛看到那一刻还是要等到观察信号到达大脑皮层的那一刻,究竟意识是什么,意识确定不基于物质吗?哥本哈根解释显然被推向了唯心的玄学边缘,陷入了无穷的形而上的哲学讨论。
正统哥本哈根解释不去考虑“为什么观察会导致波函数坍缩”
在这里,大多数“主流”的物理学家仍然小心谨慎地对待这一问题,持有一种更为“ 正统”的哥本哈根观点。然而所谓“正统观念”其实是一种鸵鸟政策,它实际上就是把这个问题抛在一边,简单地假设波函数一观测就坍 缩,而对它如何坍缩,何时坍缩,为什么会坍缩不闻不问。量子论只要在实际中管用就行了,我们更为关心的是一些实际问题,而不是这 种玄之又玄的阐述!

意识导致坍缩吗
哥本哈根解释与特异功能无关
这里需要特别声明的是,关于“意识作用于外部世界”只是一种可能的说法而已,冯诺依曼的论文主旨也只是在讨论“意识导致坍缩”这种可能性而已。这并不意味着种种所谓的“特异功能”,“心灵感应”,“意念移物”,“远距离弯曲勺子”等等就有了理论基础,这些特别异乎寻常的声明需要有特别坚强的证据支持,事实上我们都知道,没有特异功能的例子能通过类似的检验。
多宇宙、隐变量、系综、GRW、退相干历史等等其他量子论解释的兴起
为了摆脱意识这个物理无法描述甚至无法定义的怪兽,为了避开波函数坍缩这种玄妙描述,50年代起渐渐发展起了几种量子论的全新解释。例如多宇宙、隐变量、系综、GRW、退相干历史等等(本文主要介绍哥本哈根解释,这些量子论其他解释的细节略过)。但是他们其实与哥本哈根解释一样存在着一些形而上的讨论,比如多宇宙假说虽然不再需要坍缩,但会推导出“量子永生”这样的和意识一样怪异的问题,每种解释都有自己的独特之处但也都有自己的缺陷。事实上到目前为止,虽然哥本哈根解释不让人满意,至少说它可能并不完备,但从没有实验能证明它是错的。
贝尔不等式--定域实在性破灭
有人看到这里会说量子论讨到最后陷入了唯心式的哲学的讨论,是不是就没有意义了,事实上现代科学研究从不在乎唯心与唯物,例如哥本哈根解释的“不被观察的就不是现实”就与唯物主义冲突,而多宇宙解释所认定的实在是希尔伯特空间中的态矢量,更多的是数学主义,也与纯唯物主义不同。而阿斯派克特在1982年的EPR实验(准确地说,一系列实验)是20世纪物理史上影响最为深远的实验之一,验证贝尔不等式设计的实验杀死了定域实在性。即要嘛放弃实在性,承认“不被观察的就不是现实”这种哥本哈根解释;要嘛放弃定域性,承认超光速信息传递可以存在,但承认后一种无疑也会带来无穷的问题,未必比第一种好多少,而无论放弃哪一种都显然不再是纯的唯物主义。

贝尔不等式
量子论本身在现实中实际是非常好用的,实验中也从未出错,但是对于它的解释100年过去了却仍然充满争论与困惑。也许真的只有一句话才能说明:“我想我可以有把握地说,没有人真正理解量子力学!---理查德·费曼”。
本科普号接下来的文章还会详细介绍量子论的其他解释,介绍量子力学之后的发展:量子电动力学、量子色动力学、量子场论、弦论等等,欢迎关注收藏、点赞评论。