作者:
梁斌,西部绿色建筑国家重点实验室,西安建筑科技大学建筑学院副教授;
曹志刚,杭州市建筑设计研究院有限公司建筑师;
陆诗亮(通讯作者),哈尔滨工业大学建筑学院教授。
本文摘自《基于视觉质量评价的大型专业足球场看台参数化设计研究》,原文刊登于《建筑师》杂志2022年10月刊,总第218期P107-115。微信版已略去文中所有注释、图片来源、参考文献等信息,正式版本以原文为准。
作者的话
2022卡塔尔世界杯将于11月20日至12月18日举办,虽然中国足球队未能参与其中,但中国的建筑企业主导了主场卢塞尔球场的建设,并在规模、跨度、设计标准等多项指标上刷新了世界杯专业足球场的记录。该球场总座席数达92000个,其中无视线遮挡座席数80000个,这一指标背后的技术含量如何?本文将从视线设计角度对比多个世界杯球场案例,解析足球观赛视线原理,从而对不同看台选型做出评价。
归纳当前60000座专业足球场常见看台形式,对设计参数进行提取、组合,建立多种看台模型。根据观赛者的视觉特征和观赛需求,对影响视觉质量的因素进行参数化编程量化,形成专业足球场视觉质量评价方法。通过看台视觉质量模拟,比较不同看台形式的视觉质量差别,揭示看台平、剖面设计参数对视觉质量的影响规律,为大型专业足球场的看台选型、设计优化及视觉质量评价提供理论和数据支撑。
目录概览
- 一、专业足球场看台参数设定及模型建立
- 二、专业足球场看台视觉质量评价体系建立
- 三、专业足球场看台视觉质量模拟及分析
- 四、结语
自2015年《中国足球改革发展总体方案》发布以来,中国足球事业进入全新发展阶段,《体育强国建设纲要》中明确提出探索中国特色足球发展路径。随着2022年世俱杯和2023年亚洲杯的筹建,我国专业足球场的兴建和改造迎来前所未有的热潮。相比较国内过去大量建设的兼顾田径与足球的综合体育场,专业足球场更重视足球观赛的视觉质量,如观众最佳观看距离不应超过150m、最大观看距离不应超过190m、看台俯视角不应超过34°等要求,与综合体育场的设计理念和技术要点有较大反差,形成了看台选型和设计上的难点。
国际足联在《FIFA Football Stadiums Technical recommendations and requirements》(2011年)中提出90m最佳视距的专业足球场视线圈(图1);谢光昭、徐强生等做了不同视距和高度对运动员特征的辨认实验,并于《体育馆的平面形式和看台剖面设计的探讨》制定了体育馆视觉质量分区图;梅季魁在《体育建筑设计研究》中探讨了视距标准点的选取,将方位角和高度角归纳为透视变形和视距差,绘制出体育馆视觉质量分区图;
《建筑设计资料集(第三版)》中提出距离、高度角、方位角对视觉质量的影响规律,并给出了综合体育场的视觉质量分区平面图(图2)。以上文献研究多基于二维图形,缺乏对看台三维参数变化的考虑,或以单一因素为主,缺乏对多因素作用规律的分析。为此,本研究从视觉和心理学原理出发,剖析专业足球场的视觉质量影响因素并进行参数化编程,结合典型看台形式的三维模型进行视觉质量计算,探索看台设计参数对视觉质量的影响规律,以期科学评价不同形式的专业足球场视觉质量,为专业足球场的看台选型和优化设计提供评判依据。

图1:最佳和最大观看距离示意图

图2:综合体育场视觉质量分区图
一、专业足球场看台参数设定及模型建立
本文选取最具代表性的60000座专业足球场为研究对象,作为世界杯半决赛球场规格,案例相对丰富,且看台规模大,有利于视觉质量特点呈现。通过对国内外该规模专业足球场看台数据的收集和归纳,提取典型看台形式的平面和剖面参数作为变量,并控制其取值范围,按照现有球场常用数值进行赋值,建立带有参数信息的一系列典型看台三维模型。
1.平面参数提取及设定
专业足球场看台平面由外轮廓和内场形状确定,根据外轮廓形状的成因可将看台分为两类:等座看台,即外轮廓形状与内场形状相同,设计参数为排数 F ;不等座看台,外轮廓有圆形、四心椭圆和八心椭圆。圆形看台参数为半径 R ;四心椭圆和八心椭圆看台设计参数参考多个案例的常用数值取整(表1),其中四心椭圆看台以控制弧半径 R 为变量,控制圆心离场心的距离 D 取30m,控制弧角度 N 取60°;八心椭圆看台以长轴控制弧半径r1为变量,长轴控制圆心离场心距离d1取85m,短轴控制弧半径r2取220m,控制圆心离场心距离d2取120m,转角半径e取60m(表2)。


内场一般为矩形或微圆形(图3),控制参数为长轴方向圆弧半径p,短轴方向圆弧半径q。矩形内场视作p、q取无穷大,微圆形内场p、q分别取100m、300m,转角半径r均取6.5m。

图3:微圆形看台内场
2.剖面参数提取及设定
看台剖面采用逐排计算法经视线计算确定:

综合平面相关参数以规范最小值设定:在矩形内场看台中,视点取东西看台球场边界处,在微圆形内场看中,视点取在内场过角球点的偏移线上(见图3);X1在边线和端线处分别取9.5m(边线处起始距离X0+首排排深d1),11m(端线处起始距离X0+首排排深d1);首排眼点高度Y1为2.15m(首排坐席高度h0+1.15m,1.15m为中国人体坐视高度);首排排深d1为1m,其余排深d为0.8m;C值为90mm(国际足联规定专业足球场C值极限值为60mm,推荐值为90mm,舒适值为120mm,本文结合60000座球场案例的实际常用数值,取90mm);上下层看台间高差G为3m。看台两层,一层看台35排,二层看台排数以外轮廓裁切后为准。在等座微圆形内场看台中考虑看台分层的变化。
结合平面和剖面两类影响因素及相关参数,为便于各参数之间的比对,将常见的60000座专业足球场看台归纳为A1、A2、A3、A4、A5、B1、B2、C1、C2、D1、D2、E1、E2共13种类型(见表2)。经验算,以上类型看台俯视角均未超过34°。
二、专业足球场看台视觉质量评价体系建立
本研究从观赛者的视觉特征和观赏需求出发,统计分析球员运动规律、足球活动轨迹、赛事特点以及大规模看台的特殊性,提出影响视觉质量的主要因素为明视性、真实性和舒适性。其中明视性决定是否能够看清观赏对象,真实性和舒适性考虑的是视线与球场的成角,应避免视觉失真并控制观赏范围在中心视野和周边视野之间。以上三个因素根据所占权重共同决定了大型专业足球场看台的视觉质量。
1.明视性
明视性指的是观看观赏对象的清晰度,主要和视距有关。专业足球场以场地四角作为视距标准点,利用Grasshopper分别计算每个眼点至四个角点的视距L1、L2、L3、L4,求得平均视距。为简化计算,本文将影响视觉质量的因素系数均缩放至0—1区间。计算最远视距(190m)处各眼点平均视距,取其中最大值约为160m;计算起始距离、首排高度、首排排深在规范最小值时首排各眼点平均视距,取其中最小值约为73.5m,由此可以计算平均视距落在最大、最小平均视距区间内的明视性系数:

2.真实性
真实性即观众观看足球比赛时的透视变形和视距均匀性。
1)透视变形
透视变形是足球比赛信息落在人眼的变形程度,从观众的视觉规律出发计算。观众获取足球比赛的信息主要包括两个方面:一方面是足球和运动员的运动特征,以此来分辨比赛的进攻状态;另一方面是场上运动员的分布特征,以此来判断运动员的位置和球队的阵型。足球运动主要沿场地长轴方向,分为边路进攻和中路进攻;按照场内各区域运动员分布频率的差异性,分为前场分布、后场分布和中场分布(图4)。

图4:足球场划分
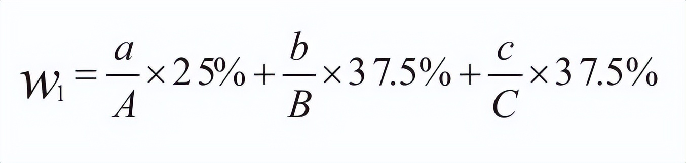
通过对2014年和2018年世界杯小组赛及决赛共124场比赛数据的统计可知:足球运动中路进攻比例在25%上下波动,两个边路进攻比例相似,为37.5%;中场分布频率在50%上下波动,前后场分布频率相似,为25%(图5)。将中路和边路的进攻比例赋予到相应区域的透视变形计算中,得到足球场运动特征的透视变形加权系数。取中路和边路的中线作透视变形计算(图6),得到如下公式:




图5:2014年和2018年世界杯数据统计

图6:运动特征透视变形示意
w1 ——运动特征透视变形加权系数
A——中路中线
a ——中路透视变形
B、C——边路中线
b、c——边路透视变形
将前、后、中场的不同分布比例赋予到相应区域透视变形计算中,得到足球场分布特征的透视变形加权系数。根据透视网格法在场内划分5m×5m的网格(图7),进行透视计算:

图7:分布特征透视变形示意

w2 ——分布特征透视变形加权系数
q ——中场透视变形系数
m 、 n ——前、后场透视变形系数
观众对运动特征和分布特征的信息获取需求同等重要,综合两个因素可得到透视变形系数:

2)视距均匀性
视距均匀性主要考虑眼点距射门区域的视距差比对视觉质量的影响程度,视距差比即眼点距离两个射门区域(足球比赛最精彩区域)的视距差与眼点到较远射门区域距离的比值。一般认为视距差比最小即眼点位于短轴上时,距离射门区域的视距相当,能均等地看到两边半场的射门信息。但视距差比最大的端部看台由于离球门近,可以第一时间感受进球等赛事精彩时刻。
足球场地按射门区域可分为小禁区、*禁大**区和其他区域,按射门方向可分为中路射门和边路射门(见图4)。通过对2014年和2018年世界杯小组赛及决赛共124场比赛射门方向和射门区域的统计可知,射门方向一般以中路射门为主,射门区域主要集中在*禁大**区(见图5),因此,取*禁大**区至小禁区中线的中点作为射门区域的计算点。得出视距差比的计算公式:

ou ——眼点到较远射门区域的距离
ov ——眼点到较近射门区域的距离
考虑到视距差比在最大值和最小值的时候都取得较好的视觉质量,因此以专业足球场边线和端线的交点处视距差比(约为0.64)作为分界点,用分段函数来描述视距均匀性系数:

考虑透视变形影响占80%,视距均匀性影响占20%,综合以上计算得到真实性系数:
Z = W ×80%+ E ×20%
3.舒适性
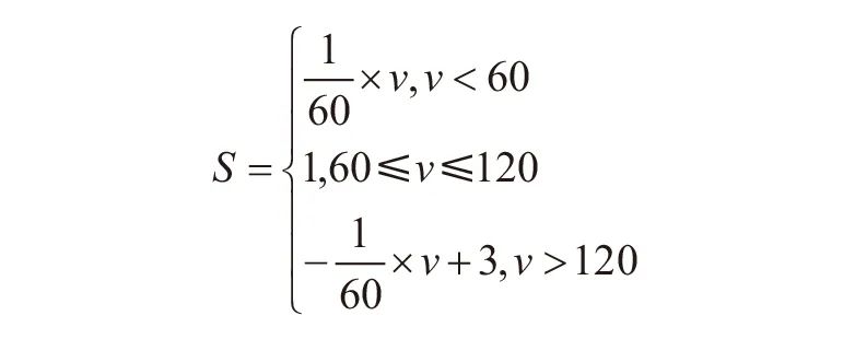
舒适性由视野角度决定,可通过Grasshopper对足球场地落在每个眼点的视野角v进行计算。人的双眼中心视野为60°,周边视野为120°,当视野角在这个范围内,能达到较好的观赏舒适性。当视野角小于60°,会看到更多场地外区域,当视野角大于120°,需要转动头部从而影响舒适性。同样可以通过分段函数描述舒适性系数:

参考现有文献中视觉质量影响因素的权重赋值,着重考虑了专业足球场的观赛特点,以及60000座球场视距偏大,清晰度要求相应提高等现实问题,对明视性赋较高影响指数60%,真实性和舒适性分别赋20%指数,得到视觉质量综合评价指标:
G = M ×60%+ Z ×20%+ S ×20%
利用Grasshopper编写算法程序,建立专业足球场综合视觉质量评价体系(图8)。

图8:视觉质量评价计算示意
本视觉质量评价体系将视觉质量计算结果等分为10个区间,其中视觉质量计算结果越靠近1,视觉质量越优。通过看台参数的输入,可自动进行看台视觉质量计算,输出视觉质量模拟图。
三、专业足球场看台视觉质量模拟及分析
运用视觉质量评价体系,对表1所列球场看台类型进行视觉质量模拟,结合“各视觉质量分区坐席比例、视觉质量0.8以上坐席比例、平均视觉质量”等参量研究不同类型看台视觉质量特点,分析各设计参数对视觉质量的影响(表3、表4)。


1.看台选型的整体评价
等座看台的周边排数统一,与其他类型看台相比,南北和四角视觉质量较低的区域偏多,拉低了整体视觉质量,其中A1、A2平均视觉质量分别为0.6932、0.6856。此类看台屋盖结构规整,球场立面等高,从建设便易的角度推荐使用。
不等座看台的周边排数不一,由于四边中部看台排数增多,特别是东西两侧排数增多,转角处视觉质量差的看台相应减少,整体视觉质量优于等座看台。看台外轮廓呈起伏状,场内的聚拢氛围次于等座看台。从评价结果来看,在剖面参数一致的条件下,矩形内场看台平均视觉质量:D1(0.7099)>B1(0.7076)>C1(0.704)>E1(0.6969),微圆形内场看台平均视觉质量:D2(0.7)>B2(0.698)>C2(0.696)>E2(0.6929),由此可知,不等座看台视觉质量优劣排序为:四心椭圆控制圆心位于长轴看台>圆形看台>四心椭圆控制圆心位于短轴看台>八心椭圆看台。
2.看台平面形式对视觉质量的影响
对比A-E类中的矩形和微圆形内场看台视觉质量,可知矩形内场看台较微圆形内场看台整体更靠近球场,视距减小,视觉质量较优。因而,在其他参数一致的情况下,A1、B1、C1、D1、E1整体优于A2、B2、C2、D2、E2。在靠近边线和端线中点区域,微圆形内场看台较矩形内场看台后退,视野角减小,视觉质量略优。
看台越集中于高视觉质量分区,即看台外轮廓与视觉质量模拟图外圈越接近,视觉质量越好,但随着剖面参数变化,视觉质量分区跟随着产生变化,且视觉质量模拟图像不规则。相同剖面参数下各类型看台的视觉质量规律如下:
(1)等座看台外轮廓形状与内场一致,与视觉质量模拟图外圈重合度最差,南北和转角大部分区域视觉质量处于0.6以下,其中A1平均视觉质量为0.6932,视觉质量在0.8以上的坐席占51.74%。但此类看台排数少,水平角较小。
(2)圆形看台与视觉质量模拟图外圈重合度较高,视觉质量在0.5以下的区域几乎消失,南北看台后排区域看台视觉质量略低,其中B1视觉质量最优,平均视觉质量为0.7076,视觉质量在0.8以上的坐席占52.16%。设计时可适当减少南北区域坐席数量,例如波尔图火龙体育场,采用了方形内场,设计时保留南北方向1层看台,将视觉质量差的2层看台裁切掉,使得坐席更集中于东西方向。
(3)四心椭圆控制圆心位于短轴看台南北看台排数较多,与视觉质量模拟图外圈表现出来的排数比例相反,视觉质量劣于圆形看台,南北后排部分视觉质量处于0.5以下,其中C1视觉质量最优,平均视觉质量为0.704,视觉质量在0.8以上的坐席占52.83%。
(4)四心椭圆控制圆心位于长轴看台与视觉质量模拟图外圈重合度最高,视觉质量在0.5以下区域完全消失,其中D1视觉质量最优,平均视觉质量为0.7099,视觉质量在0.8以上的坐席占52.78%。日本在2002年为世界杯所建的埼玉体育场即采用了此种看台类型,微圆形内场,东西看台两层,南北为一层连续看台。
(5)八心椭圆看台基本保留了等座看台形状特点,减少了四角高位看台,视觉质量稍优于等座看台。其中E1视觉质量最优,平均视觉质量为0.6969,视觉质量在0.8以上的坐席占51.07%。
3.看台不同方位视觉质量特点
A—E类看台中,东西看台视觉质量较优,眼点在边线处向外,视觉质量增长后逐渐减小。在边线1/4与3/4处,看台较低,透视变形大,视野角大,视觉质量在0.75—0.85;在边线中点区域视距均匀性得到改善,视觉质量略高,距边线中点10至35排时视觉质量最好,达到0.85以上,适合作为vip坐席;眼点由短轴逐渐往上,视觉质量降低,但透视变形减小,有较好的视野,一般将西看台此区域用作媒体坐席。南北看台整体视觉质量不高,随着眼点向外,视觉质量增长后逐渐减小,其中端线区域视觉质量略优,为0.75—0.85,为死忠球迷喜爱的位置;看台四角视距较远,透视变形大,视觉质量较差,大多在0.5以下。因而多数看台采用增加东西方向看台排数,或减少南北方向和四角区域看台排数。综合以上特征,在三维专业足球场看台视觉质量计算所得规律有异于通用的视觉质量分区图,这是由于对足球观赛特点的参数描述和指标引入产生的(图9)。

图9:A1形式的视觉质量分区图
4. 看台分层对视觉质量的影响
随着一层看台比例减小,二层看台眼点平面位置不变,纵向相对抬高,看台水平角增加,眼点正对方向距离辨认增强,透视变形减小,但视距变大,明视性减弱,整体视觉质量下降,其中A3较A2一层看台减少了15排,视觉质量降低了0.0014。由此,在看台设计时可适当增加一层看台排数,建议一层看台设置在35排左右,这样可以将视觉质量最优的vip区域布置在一层看台上部,与普通观众席隔开,并且能够从层间通道直接到达。
两层看台之间的高出量G增加,同样造成二层看台升起量加剧,视觉质量降低,其中A4较A2两层看台之间增加了一层包厢,视觉质量降低了0.0031。针对眼点抬高造成的视觉质量降低,可以通过看台之间的重叠,使得后层看台靠近球场,视距减小,明视性增加,从而改善视觉质量。看台层数增加,可重叠的部分越多,视觉质量的改善越显著,其中A5较A2看台层数增加了一层,二三层看台往前伸出3排,平均视觉质量增加了0.0134,视觉质量在0.5及以下的区域几乎消失。增加看台层数同样可以带来增设包厢的机会,以此为出发点则会让球场更具商业价值和运营潜力。例如巴西利亚国家体育场,两层看台之间设置了三层vip包厢,并配以大量的vip坐席,通过二层看台的重叠,视觉质量得到一定的提升。
四、结语
本研究将60000座专业足球场的多种看台类型梳理成不同的参数组合并建立模型,运用参数化工具,量化分析看台的视觉质量特点,直观评价不同看台形式的视觉质量优劣。所提取的看台类型均来自真实球场案例,具有代表性,在细微数据上进行了一定的概括处理,有助于发现视觉质量规律和特征,揭示平面参数和剖面参数对视觉质量的影响关系。以期对相关看台选型、看台优化以及视觉质量评价等方面工作提供思路,其中普遍的视觉质量规律也可以作为其他规模球场看台的借鉴。目前的研究主要基于视觉质量的综合评判,对于看台具体区域的差异研究、对更多看台规模和类型的补充有待在后续工作中完善。
(本文节选自《基于视觉质量评价的大型专业足球场看台参数化设计研究》,原文刊登于《建筑师》杂志2022年10月刊,微信版已略去文中所有注释、图片来源、参考文献等信息,正式版本以原文为准。版权所有,未经允许,不得转载)
《建筑师》No.219丨2022年10月刊
