引言
5月14日,2019年体育单招文化课成绩发榜。对于踢球的孩子来说,可以不用参加高考,只需参加国家体育总局科教司统一命题的文化考试,单独划线,单独录取,照样可以上985/211名校。

马上就要6月高考了,很多人还在为高考拼命紧张的复习。为了进入大学,很多学生都吃了不少的苦头。而条条大路通罗马,5月14日,2019年体育单招文化课成绩发榜(推荐阅读:单招可查成绩了!2019年体育单招文化课考试成绩开榜!附2018年单招录取分数汇总),参加体育单招的足球特长生可以不用参加高考,只需参加国家体育总局科教司统一命题的文化考试,及由各高校自行组织的体育加试,就可以单独划线,单独录取,且录取学生跟参加普通高考学生待遇相同。
体育单招文化课考试内容是只有四门科目:语文、英语、数学、政治,总分六百分。考试题目一般比高考来的容易一些,只要学生能考到200-250分左右即可过线。
对于足球特长生来说,不用参加高考,照样可以上985/211名校。

踢球的孩子如何报体育单招
踢球的孩子想要走体育单招就需要达到相应的报名条件,高中毕业或具有同等学历;具备二级运动员或二级武术(含)以上技术等级资格;身体健康;年龄不超过22周岁。具备一级运动员或一级武士(含)以上技术等级资格的,年龄可放宽到35周岁。其中最重要的一个门槛就是二级运动员技术等级资格的要求。
运动员技术等级是国家体育总局根据运动员技术水平,授予运动员的技术等级称号。等级称号由高到低分为:国际级运动健将、运动健将、一级运动员、二级运动员、三级运动员。
2017年2月后,足球运动员的技术等级称号评审工作由中国足协全面负责实施,相关称号不变。

足球运动员技术等级获取途径
对于踢球的孩子来说,目前一方面可以通过参加不同赛事中的最好成绩进行申报,比如恒大球员刘殿座、王上源、等8人凭借“2017中国足球协会超级联赛第1名”的成绩进行申报,而申花球员孙世林、毕津浩等人则凭借“中国足球协会杯赛第1名”进行申报。2017年通过赛事授予运动健将、一级运动员和二级运动员称号的共有3518人。
另一方面,可以通过全国校园足球夏令营总营获得国家级运动员证书。2018年教育部通过全国校园足球夏令营总营、各省级校园足球夏令营最佳阵容认定为国家一级运动员264人,国家二级运动员3382人,国家三级运动员2011人,全国各地中小学生2018年5657人将被认定为国家级运动员(推荐阅读:教育部:发布5393名足球中小学生认定为国家级运动员大名单,力度空前!)

足球运动员技术等级资格评定方法
第一种:国际级运动健将。根据中国足协官方最新出台的《中国足球协会足球运动员技术等级管理办法》和《中国足球协会足球运动员技术等级标准》。凡符合下列条件之一者,可申报授予国际级运动健将称号。
(一)男子足球运动员,参加世界杯比赛的全体运动员分别授予:冠军100%、亚军80%、第三名70%、第四名60%、第五至八名50%、第九至十六名20%。
(二)男子足球运动员,参加奥运会比赛的全体运动员分别授予:冠军80%、亚军70%、第三名60%、第四名50%、第五至八名30%、第九至十六名10%。
(三)女子足球运动员,参加世界杯、奥运会比赛的全体运动员分别授予:冠军100%、亚军80%、第三名70%、第四名60%、第五名40%、第六名20%、第七至八名10%。
2017年,刘殿座、王上源、邹正、何超、高准翼等人被授予国家级运动健将称号。
第二种:国家运动健将。凡符合下列条件之一者,可申请授予运动健将称号。
(一)参加亚洲杯、亚运会比赛的男子运动员分别授予:第一至四名100%、第五至八名80%、第九至十六名60%;女子运动员分别授予:冠军100%、亚军80%、第三名70%、第四名60%、第五至八名50%。
(二)参加亚俱杯、亚洲优胜者杯的运动员授予第一至四名50%、第五至八名30%。
(三)在全国运动会上获得前四名的男子各队运动员,申请人数按名次前后分别为30%、20%、10%、10%;女子各队运动员分别为冠军30%、亚军20%、第三名10%。
(四)在男子足球全国甲级联赛和足协杯赛中获得前四名的各队运动员,申请人数:按名次前后分别为40%、30%、20%、20%。女子足球在全国性联赛中获得冠军、亚军、第三名的各队运动员,申请人数分别为:40%、30%、20%。
(五)上述名次以下的男子前十二名,女子前八名(全年全国正式比赛最好成绩)队,可以推荐一名在本队从事专业训练六年以上(不包括体校训练时间)的运动员,申请授予运动健将称号。
(六)中国足球协会每年可推荐2名全队成绩未达标的优秀运动员为运动健将。
第三种:国家一级运动员。根据全国校足办规定,入选全国青少年校园足球夏令营全国总营初中组、高中组最佳阵容的运动员将获得申报国家一级运动员资格。此外,凡符合下列条件之一者,可申请授予一级运动员称号。
(一)参加全国甲级联赛、杯赛的各队运动员,申请人数分别为:第一至八名不超过全队的70%,第九至十二名不超过全队的50%,第十三至十六名不超过全队的30%。
(二)参加全国运动会获决赛权的各队运动员,申请人数分别为:第一至四名不超过全队的60%,第五至八名不超过全队的40%,第九至十二名不超过全队的20%。
(三)参加全国乙级联赛的各队运动员,申请人数分别为:第一至四名不超过全队的30%,第五至八名不超过全队的20%,第九至十六名不超过两名运动员。
(四)参加全国青年联赛、全国城市运动会的各队运动员,申请人数为:第一、二名不超过全队的30%,第三、四名不超过全队的20%。
第四种:国家二级运动员。根据全国校足办规定,入选全国青少年校园足球夏令营各省(区、市)初中组、高中组最佳阵容的运动员将获得申报国家二级运动员资格;校园足球初中联赛、高中联赛参加夏令营全国分赢得运动员,入选分营最佳阵容的运动员将获得申报国家二级运动员资格。此外,凡符合下列条件之—者,可申请授予二级运动员称号。
(一)参加全国甲级联赛、乙级联赛、杯赛、全国运动会的各队运动员。
(二)参加全国青年联赛、全国城市运动会的各队运动员申请人数为:第一至四名的各队运动员,第五至八名不超过全队的70%,第九至十二名不超过全队的50%,第十三至十六名不超过全队的30%。
(三)参加中国足校杯和全国足校杯比赛的各队运动员申请人数为:第一至四名不超过全队的80%,第五至八名不超过全队的60%,第九至十二名不超过全队的40%,第十三至十六名不超过全队的20%。
(四)在各省、自治区、直辖市组织的比赛中获得第一至四名的各队运动员,申请人数不超过全队的50%。
(五)在各系统举办的全国足球比赛中获得前二名的各队运动员申请人数不超过全队的50%。

足球项目体育单招录取分数线
在文化成绩方面,体育类大学单招相比普通高考考入的学生需要610分的分数线,足球特长学生只要200多分就能进入。
北京体育大学考试为例,2018年足球体育单招的录取分数线:文化分231分,体育分67分,综合分72分。对具备一级运动员技术等级的考生,可在院校文化成绩最低录取控制分数线下降低30分录取;对具备运动健将技术等级的考生,可在院校文化成绩最低录取控制分数线下降低50分录取。
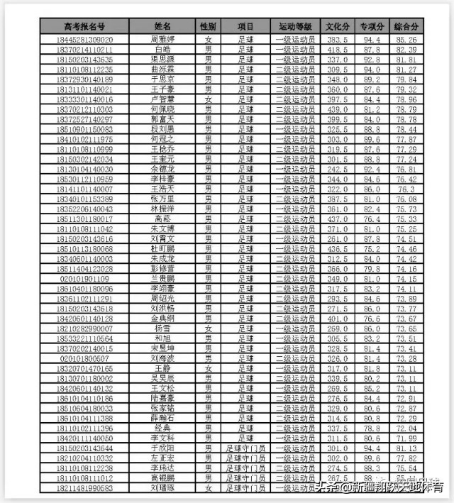
我们用个实际表格就可看到该如何去考量成绩。

综合分=文化分*0.05+专业分*0.7
2018年北京体育大学足球项目体育单招录取考生成绩

不过体育单招考试每年都在变化,专项测试的分数值在变,文化课分值在变,各个学校的招生比例在变,各位同学可时刻关注本账号及各高校发布的报名信息。

体育单招、体育统招、高水平运动员
除了体育单招之外,踢球的孩子还可以通过体育统招、高水平运动员实现大学梦。小编通过下表,从招生对象、考试内容、报名时间、报考须知、考试时间(文化课、体育专项)、招生单位、招生专业、分数计算、录取方式、考试难度等方面全面分析体育单招、体育统招、高水平运动员三者的区别。
