
作者:大神团·卢云深
作者介绍:卢云深,新东方超尖生计划授课老师,清华大学机械工程与自动化学士,清华大学材料科学与工程专业硕士。初中“希望杯”数学竞赛一等奖,高中物理竞赛河南省第一名。
提到电梯球,就不得不说到著名球员克里斯蒂亚诺·罗纳尔多,简称“C罗”。他在罚任意球时踢电梯球的技术完全称得上出神入化。

图1 C罗踢出电梯球
从图中,可以看到电梯球在空中匪夷所思的运动轨迹。无数中小学男生的心愿,就是可以在球场踢出一脚电梯球。
那么,这样的运动轨迹,是怎么来的呢?
让我们来从物理角度,来解构电梯球,让每个孩子都能踢出这样的球!

对于足球射门我们常常会用 炮弹出膛 来进行比喻。
那么接下来我们来看一张十六世纪火炮弹道学书籍上的插图,你会发现人类早期所认识的火炮弹道同电梯球轨迹有着明显的相似性。

图2 十六世纪弹道学插图
可以看出,在那个时代,人们认为火炮的弹道先是一段直线,接着一段圆弧,最后垂直下落。
第一次看到这本中世纪的弹道学书籍的时候,第一反应是觉得古人非常可笑,因为根据重力加速度和抛体运动规律,炮弹在空中的轨迹应该是一条抛物线。
当时只觉得这本书上的内容是古人的一种违背科学的错误认知,就像亚里士多德认为重量不同的物体,自由落下时重的物体下降速度要比轻的物体快一样。估计这本书的作者会有这样的认识完全是因为没学过牛顿运动定律,因为那时候牛顿都还没出生。
后来我才知道,虽然现代火炮的弹道是抛物线,但是在十六世纪,火炮弹道还真不是抛物线。

古代火炮的弹道法则和现代火炮不同,它的原理就和足球里电梯球的原理,是一样的。
因为十六世纪的火炮是使用球形炮弹的滑膛炮,而现代火炮是线膛炮,炮管上面有膛线。

图3 火炮膛线
这个区别就引起了两种火炮弹道的不同。
线膛炮炮管上的膛线会起到一种作用,让炮弹离开炮口的时候带有轴向的旋转,而滑膛炮射出的炮弹则不带旋转。
滑膛炮射出的不带旋转的球形炮弹在空气中飞行时,所有的空气阻力都用来减少炮弹前进的速度,等于说正面阻碍炮弹运动,最终炮弹水平方向上速度降到极低从而接近垂直下落。
这就符合了中世纪弹道学的描述。
另一个与此类似的现象是烟花爆炸,炸开的烟花也会出现先是近似直线上升,走过一段弧线后又近似垂直下落的轨迹。

图4 烟花下落轨迹

不带旋转的球形物体在空气中高速飞行时,球体与气体产生相对运动,这会产生名为卡门涡街的湍流效应,这一效应会对球体产生左右方向上的扰动,使得物体飘忽不定。
卡门涡街效应会大大降低球形炮弹的射击精准度,所以古代的大炮总是感觉并没有什么用。

但是在足球运动里,如果能踢出不旋转的高速球,那足球就会受卡门涡街效应的影响左右摇摆,走出守门员难以捉摸的S形轨迹,这反而成为了一种破门得分的优势。

图5 气流卡门涡街效应
所谓电梯球就是这样一种不旋转的高速球,球在空气中飞行要受到空气阻力作用。
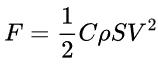
通常空气阻力可以使用下列公式进行计算:

式中,C为空气阻力系数,在低速情况下可以取定值0.42;ρ为空气密度,正常的干燥空气可取为1.293kg/m3;S为物体迎风面积,利用足球直径求出约为0.04m2;V为物体与空气的相对运动速度。
由上式可知,正常情况下空气阻力的大小与空气阻力系数及迎风面积成正比,与速度平方成正比。
根据这一公式可以计算出足球自由落体运动中,当重力与空气阻力平衡时的速率 就是它能达到的终末速率 ,这一速率大约为70公里/小时。要形成电梯球,出球时的初始速度超过终末速率越多,运动球体的轨迹偏转越明显。

图6 不同初速度球体运动轨迹对比

到了2006年,美国和日本科学家对五款足球做了风洞实验,结果发现: 当足球速度在35到70千米/小时之间时,空气对足球的阻力系数会陡然提高2.5倍。
这也意味着,当踢出的无旋转高速球的速度因空气阻力逐渐减少到35到70千米/小时的速度区间时,所受到的空气阻力也会突然增加,使得足球前进的速度快速衰减,形成电梯球的转折。

图7 不同速度下足球所受空气阻力系数
因此,要踢出电梯球,出球时的初始速度既不能过慢也不能过快。
球速过快,空气阻力系数保持在较低水平,足球一直处于转折之前的近似直线飞行阶段,也不会出现电梯球的突然下坠。这也是为什么在罗伯托·卡洛斯或者伊布的大力远射中,虽然也是不旋转的高速球,但看不到足球的变向下坠。

图8 伊布的高速远射
一般来说,足球的初始速度要踢到100至120公里/小时左右,才能形成电梯球,这需要球员不仅控制好射门精度还要控制好射门力度,踢出后使得足球越过防守方球员后,速度刚好降到空气阻力系数突然增加的范围,使得足球受到的空气阻力突然增大,而且短时间内把球在水平方向的运动速度消耗掉。
在这之后,足球主要受重力影响加速下落,于是电梯球的运动轨迹就形成了明显的折线,而非均匀变化的弧线,这往往能够超出守门员的预判和反应能力。

图9 电梯球的触球部位
想要踢出电梯球,以右脚球员为例,需要球员用脚内侧与正脚背的交界处大力抽射足球中心,击球时保证脚背绷直,膝盖指向外侧,脚内侧前端划过地面,踢出足球后右腿顺势向左侧摆动,同时有一个略微向上提的动作,使得施力方向刚好通过足球球心,才能保证踢出的球不带旋转。
这要求球员踢球时力度既要足够大又要触球位置方向准确,因此电梯球通常只在定位任意球中出现,从静止状态出发,才更容易踢出快速不旋转的球,而且很多球员在罚任意球的时候还要把足球摆正位置,使得足球最硬的气门芯正对触球的脚背,同时气门芯位置也是一个很好的定位参照物,就像台球打定杆时的母球中心点一样可以让球员确定触球位置。

即使有了这些踢电梯球的动作技巧,一个职业球员也至少需要三个月到半年时间的练习才能随心所欲得踢出电梯球。
所以说,想要在实际比赛中踢出电梯球,你只知道电梯球的原理,是没有用的。

作者介绍:卢云深,新东方超尖生计划授课老师,清华大学机械工程与自动化学士,清华大学材料科学与工程专业硕士。初中“希望杯”数学竞赛一等奖,高中物理竞赛河南省第一名。本文原创自新东方智慧学堂(ID:zhihuixuetang_xdf),与精英为伍,成就未来精英。