招聘速览
>保定市人力资源和社会保障局2019年事业单位公开招聘工作人员公告
>河北北方学院2019年第二批选聘工作人员公告
>高碑店市2019年公开招聘政府购买服务中小学教师简章
>曲周县人力资源和社会保障局2019年度公开招聘曲周县中小学教师公告
>邯郸市永年区2019年公开招聘教育类工作人员公告
>吴桥县政府系统事业单位2019年公开招聘工作人员公告
>天津一中雄安校区雄县中学2020年教师招聘公告
>雄安新区雄县教育局白洋淀高级中学关于教师招聘的公告
>清华附中雄安学校2020年教师公开招聘

保定市人力资源和社会保障局2019年事业单位公开招聘工作人员公告
为满足我市部分单位用人急需,拟为市生态环境保护局等并代为涿州、曲阳所属事业单位公开招聘工作人员总计155名。为保证公开招聘工作顺利实施及结果公平、公正,依据《河北省事业单位公开招聘工作人员暂行办法》及《保定市事业单位公开招聘工作人员暂行办法》等规定精神,现公告如下:
一、招聘方式和原则
1、本次招聘为统一招聘,采取笔试和面试相结合的方法组织;
2、坚持面向社会公开招聘;
3、坚持德才兼备及民主、公开、竞争、择优原则。
二、招聘单位、岗位、专业、名额及应聘岗位所需具体条件等详见《保定市2019年事业单位公开招聘工作人员岗位信息表》,



符合下列基本条件:
1、具有中华人民共和国国籍;
2、遵守宪法和法律;;
3、具有良好的品行和职业道德;
4、具有与招聘岗位要求相适应的学历、学位、专业、任职资格、户籍等;
5、《岗位信息表》中有年龄要求的从其要求,无年龄要求的,掌握在18至35周岁(1983年12月16日至2001年 12 月 16日期间出生)。计算年龄、工作经历等时间的截止日期为2019年12月16日。其中,在大学期间的社会实践(实习)经历,不视为工作经历;
6、适应岗位要求的身体条件;
7、具备岗位所需要的其他条件。
本次不受理下列情形人员报名:1、现役军人、试用期内的公务员和事业单位工作人员、未满最低服务年限或未满约定最低服务期限的人员、高校在读学生;
2、机关事业单位正式在编人员未经原单位同意或行业有规定不得应聘的;
3、受到*党**纪政纪处分期限未满的、正在接受组织调查的、曾因犯罪受过刑事处罚的、被开除公职的以及失信被执行人和法律、法规规定不得招聘为事业单位工作人员的其它情形人员。
三、招聘程序
(一)报名方法、程序及注意事项
1、本次招聘采取网上报名、网上初审(由主管部门会同用人单位负责)的方法,每人限报一个岗位。若某一岗位报名人数与招聘岗位比例不足3:1时,则核减该岗位招聘数量或取消该岗位招聘。其中,涿州面向“三支一扶”服务期满者专项招聘岗位,笔试(含面试)可不受比例限制,当报名人数少于专项招聘计划时,空余指标比例内调整到同单位其他岗位。
2、报名网址:保定市人力资源和社会保障局门户网站(网址http://www.hebd.lss.gov.cn/。下同)“保定市事业单位招聘专题”。
3、报名时间:12月16日9:00至12月20日17:00共5天。
4、报名程序及注意事项
(1)考生开始报名前,请认真阅读本《公告》,详细、全面了解本次招聘政策和拟应聘岗位条件等,然后按照“网上考生报名流程”分步骤操作。
(2)网上报名实行严格自律机制。应聘人员须阅读并承诺履行《诚信承诺书》,对提交审核的报名信息真实性负责;资格复审时,凡发现网上所填报信息与实际不符或不符合本《公告》及《岗位信息表》条件要求的,取消应聘资格。
(3)网上报名须用有效《居民身份证》申请“报名号”,获取“报名号”和“初始密码”(可修改)后才能登录报名系统,进行填表和提交审核。报名号和密码是登录报名系统的重要标识,请务必牢记并保管好。
(4)考生按报名网页上《提示说明》规范填写或选择表项,并严格按要求上传电子照片,否则将被报名系统自动拒绝。(5)考生“提交审核”后信息将被锁定,在未反馈审核结果前不得修改。一般情况下,审核员24小时内会回复审核结果。“审核未过”的,可根据提示未过原因,修改信息或改报岗位重新提交或放弃;“审核通过”的,将不能再修改。
(6) 审核通过后,考生通过支付宝扫码缴纳报名考务费每人100元(暂不支持微信支付)。网页提示状态为“缴费成功”即完成报名。考生缴费后请再次登录系统查询报名状态,确认报名及缴费是否成功,以免影响考试等。网上缴费截止时间为:2019年12月21日12:00。缴费成功需要开具发票的,请于2019年12月28日笔试结束后当天12:30前到本考点办凭《笔试准考证》开具发票。(7)特殊情况报名考务费可减免,减免对象及办法为:享受最低生活保障城乡家庭及农村绝对贫困家庭的考生,先在网上缴费,待2019年12月28日笔试结束当天12:30前到本考点办审核并办理减免退费手续。减免退费需提供证明或资料分别为:享受最低生活保障城乡家庭考生须提供其家庭所在地县(市、区)民政部门出具的享受最低生活保障的证明和低保证(原件及复印件);农村绝对贫困家庭考生须提供其家庭所在地县(市、区)扶贫办(部门)出具的特困证明及特困家庭基本情况档案卡(原件及复印件)。符合减免条件者,请按上述要求提前备好相应证明、资料等及时办理,逾期不再受理。
(8)考生务必牢记报名、缴费截止及打印《笔(面)试准考证》、考试等重要时间节点信息,凡未在规定时间完成相关操作的,视为自动放弃。同时,报名和考试期间务必保管好个人证件和信息,因个人原因造成丢失、被他人盗用或信息被恶意篡改而影响报名和考试的,责任自负。
(二)笔试
1、考生通过报名并缴费成功后,于2019年12月25日 9:00至 12 月26日23:00,从网上自行打印《笔试准考证》。
2、笔试时间:2019年12 月28日9:00-11:00,共120分钟。
3、笔试地点、场次及相关要求等详见《笔试准考证》。
4、应聘人员按《笔试准考证》确定的时间、地点、考场及《笔试准考证》中“考生须知”要求参加考试。参加考试时,需同时携带《笔试准考证》和有效《居民身份证》。未携带《笔试准考证》的不得参加考试,特殊原因未携带《居民身份证》的可先参加考试,但考试结束必须到本考点办照像备查,拒不照像者视为自动放弃。开考30分钟后考生不得进入考场,考试结束前不得交卷退场,且严禁将试卷、答题卡、草稿纸等非个人物品带出场外。
5、笔试科目为:《公共基础知识》和《职业能力测试》,两科合并为一张试卷,各约占卷面分值50%,满分100分。公共基础知识主要包括:政治(含时政)、法律、经济、公共管理、公文写作、职业道德、人文、国情等;职业能力测试主要包括:语言理解与表达、数量关系、判断推理、资料分析及综合常识等。
题型全部为客观题,考生在答题卡上答题(在试卷上答题无效),答题卡通过机读形式阅卷登统。考生须规范填涂答题卡,因个人填涂不规范导致读卡困难等,后果自负。
6、设置笔试最低合格分数线,数值为参加本次考试所有考生平均得分的60%。低于最低合格分数线(含涿州定向招聘,下同)取消后续资格。笔试最低合格分数线将同笔试成绩一并公布。
7、请考生于 12月 30日左右登录保定市人力资源和社会保障局门户网站“保定市事业单位招聘专题”查询笔试成绩、笔试合格分数线及进入资格复审程序人员。为保护考生个人隐私并参照公务员招录做法,考生只能查询个人成绩及排名。
(三)资格复审
1、按各招聘岗位1:2的比例,依据考生笔试成绩由高到低顺序确定进入资格复审程序人员,比例内末位成绩并列者全部进入,复审合格者进入面试程序。因报名时所填报信息不实、不符合应聘条件或无故不参加复审者,取消进入面试及后续资格,并依据本岗位笔试成绩顺序递补。同时,资格审查贯穿招聘全程,无论何环节,一旦发现不符合规定条件的,一律取消后续或聘用资格。
2、资格复审由主管部门会同用人单位负责,时间:2020年 1 月 6日至 7日 9:00 至17:30(中午不休息)。地点:保定人才大厦一楼大厅(保定市东二环1539号,东二环与七一路交口东南角。参考乘车路线:火车站乘27路、客运中心乘56路、市内乘29路等,东二环七一路口下车)。
3、资格复审时考生须根据《岗位信息表》及招聘岗位条件要求提供相关证书、证件、证明等资料的原件及复印件各一份。另考生需*载下**并填写《报名资格复审表》一式两份,同其他资料一并交资格复审人员。其中,机关事业单位正式在编人员须提供原单位同意应聘且加盖单位公章的证明,不能或不能真实提供者,取消后续资格。
4、通过资格复审的考生于2020年 1月9 日9:00至 1月10日17:00登录“保定市事业单位招聘专题”自行打印《面试通知单》。
(四)面试
1、面试时间:2020年 1月 11日(周六);地点及具体要求等详见《面试通知单》。
2、面试(含涿州技院)采取结构化面谈方式,时间10分钟,每名考生需回答3道题。面试时,考生只准报抽签顺序号,不得报姓名及个人信息,否则视为违纪。
3、打分采取体操式打分法,即分别去掉一个最高分和一个最低分,其余5名评委的平均分为考生面试得分。在面试地点每半天公布一次面试成绩。面试成绩满分为100分,合格分数线为60分,低于面试合格分数线者,取消其进入后续环节资格。
(五)考试总成绩的计算方法为:
个人有效总成绩=笔试成绩×50%+面试成绩×50%。其中,笔试、面试成绩有一项低于合格分数线,不计有效总成绩。
(六)体检1、根据个人总成绩,从高分到低分分岗位按1:1比例等额确定进入体检程序人员。个人总成绩并列时,优先进入体检程序的顺序《岗位信息表》中有要求的首先从其要求,无要求或要求不能满足时的顺序为:符合岗位专业要求学历层次高的、面试成绩高的、符合岗位专业要求学历毕业时间早的、出生时间早的。
2020年1月 13日左右在保定市人力资源和社会保障局网“事业单位招聘专题”查询综合成绩及进入体检程序人员、体检时间、集合地点、注意事项等。
2、应聘市直所属﹝含生态环境保护局所属但工作地点在县(市、区)﹞,体检由市人力资源和社会保障局会同主管部门组织实施;应聘涿州、曲阳所属分别由涿州、曲阳人社局会同有关部门实施。体检项目和标准参照《公务员招录通用体检标准(试行)》执行,费用由考生自理并直接交体检单位。
3、初次体检不合格者允许复检一次,复检仍不合格者,取消聘用资格。(七)考核1、考核由用人单位会同主管部门负责。对通过笔试、面试且体检合格人员的政治思想表现、道德品质、业务能力、工作实绩等进行全面考察,并做出合格与否结论。考生接到考核通知后,应按用人单位要求提供人事档案及毕业证、学位证、身份证、任职资格证、户口本、工作经历证明等相关证书、证明资料的原件。不能按规定提供或无正当理由逾期不予提供的,视为自动放弃,取消聘用资格。
2、用人单位及其主管部门,要本着客观公正、事实求是、认真负责的原则,在规定时间内完成考核等相关工作。任何单位或部门不得私设考核标准、不得弄虚作假、不得无故拖延考核时间而影响招聘工作质量或进程。
(八)公示、聘用
1、依据各招聘岗位考试成绩及体检、考核结果,确定拟聘人员并在招聘单位办公地点和保定市人力资源和社会保障局网公示7个工作日,公示时间另行确定。
2、对公示期间有人举报经查实影响聘用并取消聘用资格以及体检、考核不合格或考核期间自动放弃者,所空出的岗位依据有效总成绩由高到低顺序依次递补。总成绩并列时,优先递补顺序同优先进入体检顺序。
3、对公示无异议人员,由用人单位分别填写《河北省事业单位公开招聘工作人员名册》和《河北省事业单位公开招聘工作人员审批表》各一式四份,加盖用人单位和主管部门公章后,按管理权限分别报市、县人社局审批并按规定备案。之后,根据核发的拟聘人员通知办理增编、增人、工资、保险、劳动关系转移等手续。
4、拟聘人员按规定与用人单位签订聘用合同,并实行试用期,初次就业人员试用期为12个月,其他人员试用期为6个月,试用期包括在聘期内。试用期满考核合格者正式聘用,不合格者解除聘用。新聘人员工资待遇等按国家有关规定执行。
四、其他相关事宜
1、招聘工作全程在纪检监察部门监督、指导下进行,并欢迎社会各界监督,以确保公开、公平、公正。
2、相关人员要认真执行回避等有关规定,构成回避情形时,要自觉、主动回避。回避关系是指:《河北省事业单位公开招聘工作人员暂行办法》第四十一条关于“凡与聘用单位负责人有夫妻关系、直系血亲关系、三代以内旁系血亲或者近姻亲关系的应聘人员,不得应聘该单位负责人员的秘书或者人事、财务、纪律监察岗位,以及有直接上下级领导关系的岗位。聘用单位负责人员和招聘工作人员在办理人员聘用事项时,涉及与本人有上述亲属关系或者其他可能影响招聘公正的,也应当执行回避规定”。
3、本次考试(包括笔试及面试)不指定考试辅导用书,不举办也不委托任何机构或个人举办考试辅导培训班。
咨询电话(建议有疑问对口咨询):
保定市人力资源和社会保障局:0312- 5037344、3088208
机关事业社会保险所:0312-2033612
社会保险事业管理所:0312-5077079
保定市文广旅局:0312-5012286/7551752
保定市生态环境保护局:0312-3034112
保定市自然资源和规划局:0312—5902721/5902521
保定市水利局:0312-5881525/5881526
保定市农业农村局:0312-3227038,3270934
保定市民政局:0312-5906279
保定市退役军人事务局:0312-5889515,3235835
保定市医疗保障局:0312-2016356,7590200
保定市卫健委:0312-5977526
保定市审计局:0312-5076953
曲阳县人社局:0312-4290650
曲阳县司法局:0312-4268909
涿州市人社局:0312-3855215
*共中**涿州市委机构编制委员会办公室:0312-3638801
涿州市人民政府办公室:0312-3979115
涿州市司法局:0312-3800122
涿州市自然资源和规划局:0312-5529878
涿州市农业农村局:0312-3867161
涿州市退役军人事务局:0312-3850160
河北省涿州市气象局:0312-3628481
涿州市财政局:0312-3660088
涿州市乡镇办事处:0312-6671027
涿州市市场监督管理局:0312-3976982
涿州市行政审批局:0312-3628987
涿州市技师学院:0312-3978884
涿州市医疗保障局 :0312-3866696
涿州市卫生健康局 :0312-3632328
涿州市交通运输局 :0312-3976019
涿州市广播电视台:0312-3800658
详情登录
https://www.hebd.lss.gov.cn/ecdomain/framework/bdrsw/index/ccepkfgmclgobbofkolbmooeponhpedf.do?isfloat=1&disp_template=ejldomdfclfjbbofkolbmooeponhpedf&fileid=20191205174515253&moduleIDPage=ccepkfgmclgobbofkolbmooeponhpedf&siteIDPage=bdrsw&infoChecked=null
河北北方学院2019年第二批选聘工作人员公告
根据省委组织部、省人力资源和社会保障厅《河北省事业单位公开招聘工作人员暂行办法》(冀人社发〔2011〕9号)文件精神,结合我单位2019年招聘工作人员计划和岗位空缺情况、工作需要,本次采取选聘方式招聘工作人员22名,公告如下:
一、选聘单位基本情况
学校办学历史悠久,文化积淀深厚,是河北省西北部具有硕士学位授予权的综合性省属本科院校。
二、选聘原则
坚持德才兼备、公开、公平的原则,在测评、考核的基础上择优聘用。
三、选聘条件、岗位、人数
(一)应聘人员应具备以下基本条件
1、具有中华人民共和国国籍;
2、遵守宪法和法律;
3、具有良好的品行和职业道德;
4、具有与招聘岗位要求相适应的年龄、学历学位、专业和技能条件。留学回国人员学历学位获得者的专业名称与选聘岗位要求专业名称不完全一致,但所学专业课程与选聘岗位专业课程大部分相同,且符合该岗位所需要的其他条件的,也可报考该招聘岗位;
5、适应岗位要求的身体条件;
6、具备岗位所需要的其他条件。
(二)选聘人数和岗位条件
2019年河北北方学院拟选聘工作人员22名。具体人数和岗位条件详见《河北北方学院2019年第二批选聘工作人员岗位条件表》。其中选聘专业参考教育部《授予博士、硕士学位和培养研究生的学科、专业目录》设置。

符合招聘条件的港澳台居民,均可报名应聘相应岗位,需取得祖国大陆全日制普通高校学历或取得祖国大陆承认的学历。
现役军人、试用期内的公务员和试用期内的事业单位工作人员、未满最低服务年限或未满约定服务期限的人员、在读的非应届毕业生,不在招聘范围。
曾因犯罪受过刑事处罚和被开除公职的人员、失信被执行人,以及法律法规规定不得招聘为事业单位工作人员的其他情形人员,不得报考。
此外,应聘人员不得报考聘用后即构成回避关系的招聘岗位。回避关系是指《河北省事业单位公开招聘工作人员暂行办法》第四十一条关于“凡与聘用单位负责人员有夫妻关系、直系血亲关系、三代以内旁系血亲或者近姻亲关系的应聘人员,不得应聘该单位负责人员的秘书或者人事、财务、纪律检查岗位,以及有直接上下级领导关系的岗位。聘用单位负责人员和招聘工作人员在办理人员聘用事项时,涉及与本人有上述亲属关系或者其他可能影响招聘公正的,也应当回避”的规定。
四、选聘范围
普通全日制博士研究生,“双一流”建设高校及建设学科、QS2019年世界排名前200院校的普通全日制优秀硕士毕业生;普通全日制硕士研究生。
五、选聘程序
(一)发布信息
通过河北北方学院人事处网站(http://www.hebeinu.edu.cn)面向社会公开发布招聘信息。
(二)报名及资格审查
报名时间:2019年12月6日8时--12日18时。每名应聘人员只能报考一个岗位。报名者将本人填写的《河北北方学院公开招聘报名表》、《河北北方学院公开招聘报名信息一览表》、本硕博期间的成绩单、本人的各种获奖证书、主持或参与的科研项目、反映学术水平的论文等资料的扫描件压缩包发送rsc@hebeinu.edu.cn。压缩文件名称为“姓名+所报岗位+最高学历毕业学校+所学专业”。
由河北北方学院人事处负责整理收集到的应聘人员信息,依据选聘岗位设置的学历、专业条件进行资格审查,初选符合条件的毕业生参加学校组织的测评考核。
应聘人员应如实提交有关信息和材料,凡本人填写信息不真实、不完整或填写错误的,责任自负;弄虚作假的,一经查实即取消考试资格或聘用资格。报名与考试时使用的身份证必须一致。资格审查贯穿招聘全过程,如个人条件不符合申报岗位要求,随时发现均取消其应聘资格。
参加测评考核名单以及测评考核等事宜将在报名截止一周内于河北北方学院人事处网站公布,不再另行通知。
(三)测评考核
测评考核分为两个时间阶段进行:
1、第一阶段时间:12月14日8时--25日18时。参加人选:普通全日制博士研究生,“双一流”建设高校及建设学科、QS2019年世界排名前200院校的普通全日制硕士毕业生,以专业面试方式考核。
面试前,由我校人事处负责对应聘人员进行资格条件复审。资格复审时,应试人员应按照选聘岗位条件要求提供本人身份证、学历学位证等相关材料原件,2020年7月底毕业前的毕业生需提供学校出具的就业推荐表。经复查不符合报名资格条件的,取消面试资格。
面试分为自我介绍、模拟课堂教学(情景模拟展示)、答辨等环节,重点考察考生的专业理论知识、教学能力、实际应用综合能力及综合素质等。外语专业以及对外语水平有一定要求的专业,将增加外语口试。实行百分制,当场打分,合格线为60分。面试全过程由学校纪检部门全程监督。
所有参加面试考生需参加学校统一组织的心理测试,测试合格者方可参加体检。
对于通过第一阶段测评考核选聘到合适人选的岗位,不再开展第二阶段测评考核。对于通过第一阶段测评考核未选聘到合适人选的岗位,面向普通全日制硕士研究生开展第二阶段测评考核。
2、第二阶段时间:12月26日8时--2020年1月20日18时。参加人选:普通全日制硕士研究生,以笔试、初试、复试的方式考核。
(1)笔试。笔试采取闭卷的方式,笔试内容按照招聘岗位要求,测试应聘人员的综合能力;所有考试不指定考试辅导用书,考试时间在学校人事处网站另行通知。考试由学校人事处统一组织,试卷满分100分,合格分数线为60分。
笔试成绩及进入初试人员名单、初试时间及在学校人事处网站公示。
依据笔试成绩在合格分数线以上从高分到低分按计划招聘人数与进入初试人选1:6的比例确定初试人选,比例内末位笔试总成绩并列的都进入初试。达不到1:6比例的,60分以上者均可进入初试。
(2)初试。
报考教师岗位的,主要以试讲方式考核,主要考核其专业知识、教学能力、科研能力、语言表达能力等。试讲程序包括自我介绍、模拟课堂教学、科研实践能力展示、答辩等环节。试讲按报考岗位专业分组进行,各专业试讲范围及要求考试前三天在河北北方学院人事处网站公布。试讲时间每人为20-30分钟。
艺术、体育类专业除试讲外还需进行专业测试,专业测试成绩及试讲成绩各占初试成绩的50%。
报考非教师岗位的(包括专职辅导员、行政、教辅),主要以抽题问答方式考核,主要考核其专业知识、语言表达能力、工作能力等。包括自我介绍、抽题回答问题、工作情景模拟展示、答辩等环节。考试按报考岗位专业分组进行,考试时间每人不超过20分钟。
评分实行百分制,考核的合格线为60分。
所有参加面试考生需参加学校统一组织的心理测试,测试合格者方可进入复试。
初试结果在河北北方学院人事处网站公布。
依据初试成绩从高分到低分按计划招聘人数与进入面试人选1:3的比例确定复试人选,比例内末位试讲成绩并列的都进入复试。达不到1:3比例的,60分以上者可进入复试。
(3)复试。
复试的时间和地点,另行在我校人事处网站发布。
复试前,由人事处对参加面试的应聘人员进行资格条件复审。复审时,入围人员需将本人邮箱提供的佐证材料的原件逐一核实。经复审不符合报名资格条件的或弄虚作假者,取消资格。依据试讲成绩按照报考同一岗位的人员中在合格线分数线(60分)以上从高分到低分依次递补(递补不超过两次)。
复试采取现场答辩方式进行,主要测试应聘人员的职业素养、师德师风、分析和解决问题的能力、表达能力和实际工作能力等综合能力。评分实行百分制,考核的合格线为60分。
(4)成绩合成。
总成绩=笔试成绩×30%+初试成绩×30%+复试成绩×40%,合格线为60分。
最终结果在河北北方学院人事处网站公布。
(四)体检、考察、公示
根据考生测评考核成绩,按照招聘计划按1:1比例在合格线以上人员中从高分到低分确定参加体检人选。体检参照公务员录用体检标准执行(对身体条件有特殊要求的岗位,可执行国家规定的相关体检标准)。
体检合格的,由河北北方学院人事处对其思想政治表现、道德品质、业务能力、工作实绩等情况进行考核,并对其资格条件进行复查。体检、考核不合格的,取消拟聘人选资格,并从符合最低合格分数线的报考同一岗位的人员中,从高分到低分依次递补。
经体检、考察合格的,确定为拟聘用人选,进行公示,公示期7个工作日。
(五)聘用
拟聘人选确定后,填写《河北省事业单位公开招聘工作人员审批表》一式三份,连同选聘情况报告、拟聘人员名册及相关证件,按程序报省人力资源和社会保障厅办理相关审批手续。被聘用人员按相关政策规定实行试用期,试用期一并计算在聘用合同期限内。试用期满考核合格的,予以正式聘用;不合格的,取消聘用。
六、联系人及联系方式
联系人 :刘老师 关老师
联系电话:0313-4029150
详情登录
http://211.81.208.4/index.php?s=/Show/index/cid/50/id/6143.html
高碑店市2019年公开招聘政府购买服务中小学教师简章
为全面提升我市教育综合发展水平,结合教育教学现状和实际需求,经市政府批准,公开招聘政府购买服务教师80名。
一、招聘方式和原则
(一)采取笔试和面试相结合的方法,委托第三方组织笔试、面试等工作,高碑店市人社局、高碑店市教体局全程统筹监督。
(二)坚持面向社会公开招聘。
(三)坚持德才兼备及公开、竞争、择优原则。
二、招聘岗位及人数(共80名)
(一)东盛实验中学教师25名:语文7名、数学6名、英语4名、道德与法治2名、历史4名、生物2名。
(二)小学教师55名:音乐15名、体育25名、美术15名。分乡镇小学A岗(招聘后到和平办事处中心校、东盛办事处中心校、北城办事处中心校、军城办事处中心校、梁家营镇中心校、方官镇中心校任教);乡镇小学B岗(招聘后到辛立庄镇中心校、辛桥镇中心校、泗庄镇中心校、张六庄镇中心校任教)。
以上具体招聘学科人数见《高碑店市2019年公开招聘政府购买服务中小学教师岗位信息表》。

三、招聘条件
(一)基本条件
1、拥护中国*产党共**领导,热爱社会主义祖国,热爱教育事业,为人师表,有良好的职业道德和敬业精神,品行端正,能胜任教育教学工作;
2、遵守宪法和法律,无违法犯罪记录;
3、具有与招聘岗位要求相一致的学历、专业、任职资格。
(二)学历及岗位要求
1、应聘东盛实验中学教师:需具备全日制普通高等学校本科及以上学历,不限户籍。
2、应聘小学教师:需具备全日制普通高等学校专科及以上学历,不限户籍。
3、本市财政拨付工资校聘教师,其中:报考东盛实验中学教师岗位的,需原始学历为全日制专科及以上,且后取得本科及以上学历并具有相应教师资格证;报考小学教师岗位的,需取得专科及以上学历且具有相应教师资格证。
4、各岗位专业要求详见《高碑店市2019年公开招聘政府购买服务中小学教师岗位信息表》。
(三)年龄要求
1、本市财政拨付工资的校聘教师,不限年龄。
2、其他报名人员年龄在35周岁以下(1984年12月6日以后出生)。
(四)身体条件
身体健康,五官端正,无口吃,无传染病,无抑郁史及精神心理问题,并符合《公务员录用体检通用标准(试行)》(人社部发【2016】140号)。
(五)禁止应聘的条件
1、受到*党**纪政纪处分期限未满的或正在接受组织调查的;
2、有犯罪记录、被司法机关确定为犯罪嫌疑人或有其他严重违法违纪行为的;
3、曾被解聘或开除公职的;
4、伪造有关证件、证明材料或有其他弄虚作假行为的;
5、2020年应届毕业生;
6、有其他不符合报考条件或法律法规规定不得招聘为事业单位工作人员的。
四、报名办法
(一)网上报名
1、此次招聘采用微信公众号发布信息、网上填表缴费、现场资格复审的方法,每人限报一个岗位。开考比(计划招聘数与报名人数之比)为1:2,报名人数达不到1:2比例时,相应岗位核减招聘数量或取消招聘,并将此岗位名额调剂到报名比例高的岗位。
2、报名时间为12月6日9:00至12月11日17:00。网上报名的同时接受资格初审,应聘人员可通过扫描或识别二维码查询初审结果,初审合格后即可网上缴费。
3、网上报名实行严格的自律机制,应聘人员必须对所提交的报名信息真实性负责,凡发现所填报信息与实际不符的,取消报名资格。资格审查贯穿于招聘全过程,如发现资格不合格的,随时取消聘用资格。
(二)网上缴费
12月6日14:00至12月12日12:00。报名考务费每人100元。通过“网上银行”或“手机银行”支付缴费(由于微信、支付宝缴费,不能显示附言栏信息,因此不支持微信、支付宝支付,采用微信、支付宝缴费的,视为缴费不成功),账号:6217000140015685843(建设银行,姓名:王文明)。缴费时,在附言栏务必注明:姓名+报考岗位。例如:“张三+小学A音乐(或小学B美术、东盛实验中学语文等)”,未注明的视为缴费不成功。
考务费减免对象和办法:享受最低生活保障城镇家庭和建档立卡家庭的应聘人员,须先完成网上缴费,于面试结束10个工作日后到高碑店市教体局人事股,办理减*考免**试报名考务费用的退费手续。具体办理要求:享受最低生活保障城镇家庭的考生须提供其家庭所在地的县(市、区)民政部门出具的享受最低生活保障的证明和低保证(复印件);建档立卡家庭的应聘人员须提供其家庭所在地的县(市、区)扶贫办(部门)出具的《建档立卡基本情况档案卡》(复印件)。
(三)报名流程
关注“高碑店教育”微信公众号,打开“教育信息”栏中的“最新消息”查找《高碑店市2019年公开招聘政府购买服务中小学教师简章》中的“阅读原文”*载下**《高碑店市公开招聘政府购买服务中小学教师报名表》,电脑填写表格内容,打印后粘贴个人一寸彩色免冠照片。将该表拍照后并压缩到300k以内备用,要求能看清晰字迹,四边成矩形,除纸张以外不要有多余部分。
扫描微信二维码填写《高碑店市2019年公开招聘政府购买服务中小学教师报名信息填报表》,按照报名网页上所显示的信息,规范填写或选择表项,所有内容填写完毕后提交,完成网上报名。应聘人员报名信息一经提交不得修改,请应聘人员务必仔细填写。
五、考试
(一)笔试
1、时间:12月15日上午9:00—10:30。
2、地点:高碑店市第二中学(高碑店市文苑路28号)。
3、内容及形式:本次考试试题由外聘专家组拟定并采取闭卷形式。
笔试内容:公共基础知识和专业基础知识,公共基础知识主要包括政治(含时政)、法律、经济、公共管理、公文写作、人文、国情等;专业基础知识主要包括教育学基础知识与基本原理、教育心理学、教育教学理念、教学教法、教师职业道德、教学案例分析及新课程改革知识等。共一张试卷,题型全部为客观题,满分100分。采取答题卡形式答题(在试卷上答题无效),通过机读阅卷登统。
4、注意事项:应聘人员须携带本人有效二代《居民身份证》参加考试,自行准备2B铅笔、橡皮。入场后,各考场监考教师对照报名底册逐人核对,防止替考等问题。开考15分钟后不得进入考场,考试结束前不得提前交卷退场,更不得将试卷、答题卡等非个人物品带出场外。
5、成绩公布:12 月16日前,在“高碑店教育”微信公众号“教育信息”栏中的“最新消息”中公布笔试成绩和进入复审人员名单。
(二)现场资格复审
1、复审时间:12月21日(上午9:00-11:30,下午2:00-5:00)。
2、地点:高碑店市第二中学(高碑店市文苑路28号)。
3、要求:本次招聘教师按1:2比例,根据应聘人员笔试成绩从高到低的顺序确定资格复审人员;比例内末位成绩并列者全部进入资格复审环节。因填报信息不实且不符合应聘条件者,取消进入面试资格。参加复审人员需按时携带《高碑店市公开招聘政府购买服务中小学教师报名表》、本人身份证、毕业证、教育部学历证书电子注册备案表〔应聘人员自行登录中国高等教育学生信息网(网址http://www.chsi.com.cn)*载下**带二维码的《教育部学历证书电子注册备案表》〕、报到证、教师资格证原件及身份证复印件(其中本市校聘教师还需携带单位出具的任教证明)到现场参加复审(复审合格人员需将毕业证、报到证、教师资格证、教育部学历证书电子注册备案表原件及身份证复印件留存第三方备查)。
12月21日下午5:00前,不参加资格复审或复审不合格者,取消进入面试的资格,所空出的岗位不再递补。
4、公示面试人员名单:资格复审结束后在“高碑店教育”微信公众号上对进入面试人员名单进行公示。
(三)面试
1、时间:12月28日。
2、地点:高碑店市第二中学(高碑店市文苑路28号)。
3、面试方法:面试的组织与实施按照《河北省事业单位公开招聘工作人员面试工作规则(试行)》(冀人社字【2014】25号)进行。
4、内容及形式:采取结构化面谈方式进行,主要考察应聘人员综合素质及形象气质、专业素养、逻辑思维、语言表达等能力。时间8分钟,回答3道题(其中小学教师前两道题为必答题,分数比重各占20%;第三道题为自选专业特长展示题,分数比重占10%)。考官由外聘专家担任,每个面试评审组由7名考官构成。记分方法采用“体操打分法”,即去掉一个最高分和一个最低分,其余评委平均分为应聘人员面试得分。
每个面试室全程录像,确保面试工作公平与公正。
本次招聘考试,不指定考试辅导用书,不举办也不委托任何机构或个人举办考试辅导培训班。
5、成绩公布:面试结束后在“高碑店教育”微信公众号“教育信息”栏中的“最新消息”中公布面试成绩和综合成绩
(综合成绩=笔试成绩×50%+面试成绩×50%)及进入体检人员名单和具体要求(未进入体检人员于12月30日后,在工作日期间到高碑店市教体局四楼档案室领取报名证件)。
六、体检、考核
(一)体检。依据综合成绩,按照1:1的比例,确定进入体检程序人员。应聘人员总成绩出现并列时,按照优先进入体检环节的顺序:面试成绩高者、有教师资格证者、学历高者、年龄小者。体检项目和标准参照《公务员录用体检通用标准(试行)》(人社部发【2016】140号)执行。初次体检不合格可以复检一次,复检不合格取消聘用资格。体检不合格空出的岗位,按应聘该岗位人员总成绩由高到低的顺序依次递补并体检。体检费用由应聘人员个人负担。
(二)审核。高碑店市教体局负责对体检合格人员档案进行审核,审核不合格取消聘用资格。审核不合格空出的岗位,按应聘该岗位人员总成绩由高到低顺序依次递补并体检。
七、公示、聘用
(一)根据考试审核及体检结果确定拟聘用人员并在“高碑店教育”微信公众号“教育信息”栏中的“最新消息”进行为期7天的公示。
(二)本次招聘教师不纳入编制管理,采取政府购买服务的方式,工资待遇参照在编教师标准执行并缴纳“五险一金”(享受奖励性绩效工资、乡镇补贴和取暖费),体检合格者予以聘用,由高碑店市教体局委托第三方与被招用人员签订劳动合同(试用期一个学期)并发放工资。试用期满,由高碑店市教体局人事部门协同所在单位进行考核,考核合格者继续履行劳动合同。试用期考核不合格者,由高碑店市教体局通知第三方解除劳动合同。被招用人员的职称评聘和日常管理由高碑店市教体局和第三方共同负责。
(三)根据实际学科需求,将应聘人员分至报考区域学校任教,应聘人员须服从岗位分配,并按时间要求上岗。如在分配工作期间因放弃、不服从分配等方面原因出现空缺时,经市招聘工作领导小组研究,根据政策可分岗分区域按综合成绩由高到低的顺序依次递补。
(四)聘用人员最低服务期限为三年,任教满三年后,符合在编教师报考条件者,可参加在编教师招考,不限制年龄。
八、特别提示
凡应聘人员未在规定时间内、未按要求参加报名、审核、笔试、面试、体检、报到等情况的,均视为自动放弃应聘资格。
招聘咨询电话:
0312—6390056、6396013、6391686。
详情登录
https://mp.weixin.qq.com/s/8VKCrqbVZVKTxVCya4ObiA
曲周县人力资源和社会保障局2019年度公开招聘曲周县中小学教师公告
根据《事业单位人事管理条例》《河北省事业单位公开招聘工作人员暂行办法》《邯郸市事业单位公开招聘工作人员实施办法(试行)》文件精神要求,按照2019年邯郸市人力资源和社会保障局《关于下达2019年度政府系统事业单位公开招聘计划的通知》,经县委、县政府研究决定面向社会公开招聘教师298名。现将有关事项公告如下:
一、公开招聘方式
本次招聘工作采取统一招聘方式。按照报名及资格审查、笔试、面试、体检、考察、选校、公示、聘用等步骤进行。
二、招聘岗位、人数
本次招聘高中、职业教育、初中、小学及幼儿园教师共298名,其中:
高中40人(语文6人,数学6人,英语7人,物理3人,化学3人,政治3人,历史3人,生物3人,地理3人,体育1人,音乐1人,美术1人)。
职业教育10人(体育2人,音乐1人,计算机2人,财会2人,农学1人,数控1人,电子1人)
初中84人(语文18人,数学21人,英语16人,物理7人,化学5人,政治3人,历史4人,生物2人,地理1人,体育3人,音乐2人,美术1人,计算机1人)。
小学145人(语文49人,数学50人,英语22人,体育7人,音乐9人,美术8人)
小学特殊教育3人。
幼儿教育15人。
定向岗位1人(小学英语1人)。
具体招聘专业、人数以及学历、学位、教师资格、普通话等级等具体要求见附表《曲周县2019年公开招聘中小学教师岗位计划表》。


三、公开招聘原则
坚持德才兼备和民主、公开、竞争、择优的原则,在考试、考察的基础上择优聘用。
四、招聘对象及条件
(一)公开招聘人员应具备以下基本条件:
1、具有中华人民共和国国籍;
2、遵守宪法和法律;
3、政治坚定、拥护中国*产党共**的领导,热爱教育事业,具有良好的品行和职业道德,遵守宪法和法律;
4、年龄18周岁及以上(2001年12 月9日以前出生,含当天),35周岁及以下(1983年12月9日以后出生,不含当天),凡涉及到年龄、户籍等需要确定时间的,计算日期截止到报名第一天;
5、身体健康(参照《公务员录用体检通用标准(试行)》);
6、具备岗位所需要的专业、学历学位及其他条件;
7、港澳台居民报考的,按有关规定执行;
8、邯郸市户籍是指本人具有邯郸市常住户籍,或报考者配偶、父母、岳父母、公婆如有邯郸市常住户籍的,报考者可视为具有邯郸市户籍。2019年全日制普通高校应届毕业生报考的,不限户籍。全日制普通高校研究生学历毕业生报考的,不限户籍;
9、学历及资格要求:
(1)高中教师岗位:不限户籍,统招全日制普通高校本科及以上学历并具备学士及以上学位的毕业生,应取得高级中学或中等职业学校及以上教师资格证,教师资格证的任教学科与报考岗位学科一致;
(2)职业教育教师岗位:不限户籍,统招全日制普通高校本科及以上学历并具备学士及以上学位的毕业生,应取得中等职业学校或高级中学及以上教师资格证,教师资格证的任教学科与报考岗位学科一致;
(3)初中教师岗位:不限户籍,统招全日制普通高校本科及以上学历并具备学士及以上学位的毕业生,应取得初级中学及以上教师资格证,教师资格证的任教学科与报考岗位学科一致;
(4)小学教师岗位:限邯郸市户籍,统招全日制普通高校专科及以上学历的毕业生,应取得小学及以上教师资格证,教师资格证的任教学科与报考岗位学科一致;
(5)小学特殊教育教师岗位:限邯郸市户籍。统招全日制普通高校专科及以上学历的毕业生,应取得小学及以上教师资格证,教师资格证的任教学科与报考岗位学科一致;统招全日制普通高校专科及以上学历的毕业生,具有小学及以上教师资格证且考生毕业证书专业应为以下专业:专科学历:特殊教育专业;本科学历:特殊教育专业;研究生及以上学历:特殊教育学专业。
(6)幼儿园教师岗位:限邯郸市户籍。统招全日制普通高校专科及以上学历的毕业生,应取得幼儿园或学前教育教师资格证;统招全日制普通高校专科及以上学历的毕业生,具有教师资格证且考生毕业证书专业应为以下专业:专科学历:学前教育专业;本科学历:学前教育专业;研究生及以上学历:学前教育学专业。
(7)定向招聘岗位要求:不限户籍,该岗位定向招聘“服务基层四项目人员”和“退役大学生士兵”,且考生应为统招全日制普通高校专科及以上学历的毕业生,应取得小学及以上教师资格证,教师资格证的任教学科与报考岗位学科一致。
“服务基层四项目人员”是指:2019年度当年服务期满的“选聘高校毕业生到村任职工作(含2016年及以前选聘的任职3年以上、考核称职以上的在岗大学生村官)”“农村义务教育阶段学校教师特设岗位计划”“三支一扶计划”“大学生志愿服务西部计划”人员。“服务基层四项目人员”名单由省级主管部门提供。
“退役大学生士兵”是指以下两类人员:一是2013年及其以后从河北省应征入伍、2018年退伍、入伍前已取得全日制专科及以上学历的退役士兵;二是2013年及其以后从河北省应征入伍、退役后复学、2019年应届毕业的全日制专科及以上学历的退役士兵。“大学生退役士兵”名单由省级主管部门提供。
以上各岗位,对于教师资格证任教学科为初中教育的,可报考初中和小学所有岗位。对于教师资格证任教学科为小学教育的,可报考小学所有岗位。教师资格证上未明确任教学科的,结合本人所学专业确定报考一致或相近岗位。
(二)有下列情形之一的人员不得报名应聘
1、现役军人;
2、未毕业的全日制普通高等学校在读学生不得报考,也不得以原取得学历报考;
3、试用期内事业单位工作人员和未满最低服务年限的事业单位工作人员;
4、试用期内的公务员和未满最低服务年限的公务员;
5、未经现任职单位及其主管部门同意报考的已就业人员;
6、曾因犯罪受过刑事处罚的人员;
7、曾被开除公职的人员;
8、失信被执行人;
9、曲周县在编教师;
10、聘用后即构成回避关系的人员;
11、法律、法规规定不得选聘为事业单位工作人员的其他情形人员。
(三)回避规定
按照《河北省事业单位公开招聘工作人员暂行办法》第四十一条规定,事业单位公开招聘工作人员实行回避制度。凡与聘用单位负责人员有夫妻关系、直系血亲关系、三代以内旁系血亲或者近姻关系的应聘人员,不得应聘该单位负责人员的秘书或者人事、财务、纪律检查岗位,以及有直接上下级领导关系的岗位。聘用单位负责人员和招聘工作人员在办理人员聘用事项时,涉及与本人有上述亲属关系或者其他可能影响招聘公正的,也应当回避。
五、招聘程序
(一)发布公告
在曲周县政府网站网(http://www.qzx.gov.cn/)发布公开招聘公告,时间:2019年11月30日至12月8日。
(二)报名及资格审查
1、报名方式:实行现场报名,每名报考人员只能报考一个岗位,须考生本人到现场报名。
2、报名时间:2019年12月9日—12月13日(上午8:30-12:00,下午1:30-5:30)。
3、报名地点:曲周县新光路东段路南群众工作中心(*访信**局)。
4、提交材料: 报名须携带以下原件及复印件一份:
(1)《曲周县公开招聘中小学教师报名登记表》(现场领取或从政府网站*载下**),蓝底小二寸近期免冠照6张;
(2)有效期内二代居民身份证和本人户口页,配偶是邯郸市的提供结婚证和配偶的户口页,或父母、公婆、岳父母的户口页及其证明信(如岗位有要求);
(3)符合岗位要求的学历证书和学位证书及教师资格证;
(4)未就业人员提供报到证;
(5)学信网*载下**的带二维码教育部学历证书电子注册备案表;
(6)符合岗位要求的其他相关证明材料。
5、资格审查:依据招聘岗位设置的条件进行资格审查,通过资格审查的人员确定为进入笔试人员,交报名考务费100元。
其中享受最低生活保障城镇家庭的考生、农村绝对贫困家庭的考生,可以在笔试结束后次日到县人社局(县政府204房间)审核并办理减*考免**试报名考务费用的退费手续,具体办理要求:享受最低生活保障城镇家庭的应聘人员须提供其家庭所在地的县(市、区)民政部门出具的享受最低生活保障的证明和低保证原件及复印件;农村绝对贫困家庭的应聘人员须提供其家庭所在地的县(市、区)扶贫办(部门)出具的特困证明及特困家庭基本情况档案卡原件及复印件。
6、开考比例:岗位报考人数和岗位招聘人数的比例不低于3:1,报名人数达不到开考比例的,按比例核减直至取消该岗位招聘计划。岗位报名、核减及取消情况在曲周县政府网站公布。
7、报名要求:每个考生只能报考一个岗位。报名实行自律制度,即报名者要对自己所提交信息的真实性负责,凡发现弄虚作假或不符合报名资格条件的,一律取消报考资格。
(三)笔试。
1、笔试内容。笔试采取闭卷方式进行,笔试考试时间共120分钟。笔试内容由教育专业能力测验(包括含教育学、心理学和报考相应岗位的专业知识)、公共基础知识(包括政治、经济、职业道德等)两科共同组成,每科分值100分,满分200分,笔试成绩占总成绩的60%。笔试成绩=教育专业能力测验成绩+公共基础知识成绩。
2、笔试要求。笔试地点在本县县城,笔试具体地点及考试时间和要求详见《笔试准考证》。应聘人员应按照《笔试准考证》上确定的考试时间、地点、考场参加考试。参加考试时,必须同时携带《笔试准考证》和有效期内二代身份证。
《笔试准考证》领取的时间、地点为2019年12月18日至12月19日到报名处领取《笔试准考证》。
笔试设合格分数线90分,低于90分者不得进入下一个招聘环节。根据各岗位学科笔试成绩,由高到低的顺序按照进入面试人数与各岗位招聘名额不高于2∶1的比例确定参加面试人员(比例内末位成绩并列的都进入面试)。
笔试后一周内在县政府网站公布笔试成绩和进入面试人员名单,进入面试考生于2020年1月1日至1月2日(上午8:30-12:00,下午1:30-5:30)到报名处领取《面试通知单》,面试具体时间、地点及相关要求详见《面试通知单》。
(四)面试
1、面试要求。面试地点在本县县城,面试具体地点、时间和要求详见《面试通知单》。应聘人员应按照《面试通知单》上确定的考试时间、地点、考场参加考试。参加考试时,必须同时携带《面试通知单》和有效期内二代身份证。
2、面试方式。面试采取现场说课的方式进行,每位考生的面试时间为8分钟,面试满分为100分,占总成绩的40%。面试题本及面试备考内容于面试前一周在曲周县政府网站公布,同一岗位公布5道备考题目,考生面试当天现场不备课,由评委面试当天现场从公布的5道题中抽取本场次的面试题目,同考场同岗位面试题目相同。
3、面试考察内容。面试主要考察:考生的职业道德、心理素质、仪表仪态、言语表达等教师基本素养以及设计教学、教材把握和实际授课能力。
4、面试分组。报考同一岗位的考生一般分在同组、同场面试。个别招聘人数较多的无法分在同组、同场的岗位,根据该岗位笔试成绩由高到低的顺序,采取蛇形分组法分组分招聘名额进行面试。考生抽签决定面试顺序,面试时只许报抽签顺序号,不得报本人姓名或与本人相关的一切信息。如需采取蛇形分组,则在面试前3天在曲周县政府网站进行公布蛇形分组分招聘名额情况。
5、面试打分。考生、评委及工作人员均实行入闱管理。采取现场说课、评委现场打分的方式,评委打分成绩保留到小数点后一位有效数字。面试成绩采用“体操打分法”,即对7位评委的打分,去掉一个最高分和一个最低分,其他分数的平均分为面试成绩,考生面试成绩当场公布。面试设定面试合格分数线为60分,面试成绩低于60分者为不合格,不得进入体检等后续环节。
6、成绩计算。
考生总成绩=笔试成绩÷2×60%+面试成绩×40%。
面试结束后,面试成绩在现场公布。
7、确定进入体检人员。根据各岗位考生总成绩由高到低的顺序,按照各岗位招聘人数与进入体检人数1:1的比例确定进入体检人员。比例内末位总成绩相同的考生按以下顺序确定进入体检人选:烈士子女或配偶,服务基层四项目人员和大学生退役士兵,学历(学位)较高者,笔试成绩较高者。如经过以上比较,仍并列无法确定进入体检人员,则由公开招聘领导小组通过加试确定进入体检人员。考生面试成绩、总成绩及进入体检人员名单在曲周县政府网站上公布。
(五)体检
体检参照《公务员录用体检通用标准(试行)》进行。进入体检人员名单、体检集合时间、地点等要求在县政府网站公布,体检合格人员进入考察环节。体检不合格造成的岗位空缺,按各岗位考生总成绩由高到低依次递补。
(六)考察
考察内容主要包括人事档案、政治思想、道德品质、业务能力、工作实绩、“三龄两历一身份”等,并对其报考资格条件进行复查。体检和考察均合格的考生确定为拟聘用人员。考察不合格造成的岗位空缺按各岗位考生总成绩由高到低依次递补。考察合格人员确定为拟聘用人员,进入选校环节。
(七)选择学校
对拟聘用人员,依据报考学科岗位总成绩排序,由高到低依次选择聘用学校。总成绩出现并列的,按以下顺序确定选校先后顺序:烈士子女或配偶、大学生退役士兵和服务基层四项目人员、学历(学位)较高者、笔试成绩较高者。
对于面试中采取蛇形分组法分组分招聘名额进行面试的拟聘用人员,采用以下方式确定选择学校顺序:同岗位各小组先由总成绩第一名按笔试成绩由高到低的顺序选择学校,再由各小组总成绩第二名按笔试成绩由高到低的顺序选择学校,依此类推。同名次者笔试成绩并列的,按照以下顺序确定选校先后顺序:烈士子女或配偶、大学生退役士兵和服务基层四项目人员、学历(学位)较高者。进入面试环节后,采取蛇形分组法分组分招聘名额进行面试的岗位的各小组,如出现考生主动放弃等各种原因造成的岗位空缺,该组其他人员选校顺序不变。
对于选校环节考生放弃等原因出现的岗位空缺,按各岗位考生总成绩由高到低依次递补。
(八)公示
选校结束后对拟聘用人选在曲周县政府网站公示7个工作日,进入公示环节后,因各种原因造成的岗位空缺一律不再递补。
(九)聘用
对公示反映有严重问题并查有实据,不符合聘用条件的取消其拟聘人选资格;对反映有严重问题但一时难以查实的,暂缓聘用,待查实并做出结论后决定是否聘用。对公示期满无异议的,或有反映问题但经核实不影响聘用的,由招聘单位及其主管部门提出聘用意见,经县人社局审核并报县政府批准后,由用人单位按有关规定与被聘用人员签订聘用合同,办理就业、流动、工资、社保等相关手续。被聘用人员按相关政策规定实行试用期,试用期一并计算在聘用合同期限内。试用期满考核合格的,予以正式聘用,不合格的取消聘用。
六、其他事项
(一)资格审查贯穿公开招聘工作全过程。在任何环节发现应聘者不符合招聘条件的、伪造各种证件、弄虚作假的,一经查实,取消应聘资格,情节严重的要追究责任。
(二)在招聘过程中,应聘人员未在规定时间内按要求参加资格审查、考试、体检、考察、报到等情况的,或未在规定时间内提交有关证件或证明材料的,均视为自动放弃应聘资格。
(三)经县2019年公开招聘工作领导小组研究决定:考生有违纪舞弊行为的,给予其当次全部科目考试成绩无效的处理,并将其违纪违规行为记入事业单位公开招聘应聘人员诚信档案库,长期记录。
(四)请应聘人员务必填写本人常用联系方式,在招聘期间保持手机等通讯设备畅通,以免影响报名、考试、体检和考察。
(五)本次公开招聘不指定考试辅导用书,不举办也不委托任何机构举办考试辅导培训班。请广大应聘者提高警惕,切勿上当受骗。
(六)咨询电话:0310-8858931(曲周县人社局)
(七)监督电话:0310-8858505(曲周县监察委)
七、附则
本公告由县招聘领导小组办公室负责解释。
详情登录
http://www.qzx.gov.cn/index.aspx?lanmuid=68&sublanmuid=540&id=28041
邯郸市永年区2019年公开招聘教育类工作人员公告
为了大力实施“教育强区”战略,推动全区教育体育事业快速发展,经研究,决定公开招聘教育类工作人员398名。现就有关事项公告如下:
一、招聘原则
坚持德才兼备,民主、公开、竞争、择优的原则,在考试、考察的基础上择优聘用。
二、招聘方式
本次招聘工作采取统一招聘方式。按照报名及资格审查、笔试、面试、体检、考察、公示、选择学校、聘用等步骤进行。
三、招聘岗位及人数
招聘人数为398名,均为专业技术初级岗位,其中:高中(含职高)教师31名,初中教师84名,小学教师244名,幼儿园教师30名,职业高中专业指导3名,初中体育运动项目教练5名,定向招聘岗位1名。
具体招聘岗位详见《邯郸市永年区2019年公开招聘教育类工作人员岗位一览表》。

四、招聘对象及条件
(一)应聘人员应具备以下基本条件
1、具有中华人民共和国国籍;
2、遵守宪法和法律;
3、政治坚定、拥护中国*产党共**的领导,热爱教育体育事业,具有良好的品行和职业道德;
4、年龄18周岁及以上(2001年12月11日以前出生,含当天),35周岁及以下(1983年12月11日以后出生,不含当天),凡涉及到年龄、户籍等需要确定时间的,计算日期截止到报名第一天;
5、考生本人应具有邯郸市户籍(2019年应届毕业生,不限户籍;全日制普通高校研究生学历毕业生,不限户籍;定向招聘岗位,不限户籍);
6、身体健康(参照《公务员录用体检通用标准(试行)》);
7、具备岗位所需要的专业、学历及其他条件;
8、港澳台居民报考的,按有关规定执行;
9、学历及资格要求:
(1)高中(含职高)教师岗位:全日制普通高校本科及以上学历,并取得高级中学或中等职业学校及以上教师资格证的毕业生,教师资格证的任教学科与报考岗位学科一致。
(2)职业高中专业指导岗位:全日制普通高校本科及以上学历,不要求取得教师资格证,但须为相关专业毕业,具体专业要求为:
财会:研究生要求专业为会计学,会计;本科要求专业为会计学,财务会计教育,财务管理。
电子商务:研究生要求专业为电子商务;本科要求专业为电子商务,电子商务及法律。
(3)初中教师岗位:全日制普通高校本科及以上学历,并取得初级中学及以上教师资格证的毕业生,教师资格证的任教学科与报考岗位学科一致。
(4)初中体育运动项目教练岗位:全日制普通高校本科及以上学历,不要求取得教师资格证,但须获得岗位相应运动项目(足球、武术套路或乒乓球)国家二级及以上运动员证书(国家运动员证书须在国家体育总局网上查出)。
(5)小学教师岗位:全日制普通高校专科及以上学历,并取得小学及以上教师资格证的毕业生,教师资格证的任教学科与报考岗位学科一致。
其中,报考小学思品岗位的,教师资格证任教学科须为思想品德、思想政治、历史与社会、社会。
(6)幼儿园教师岗位:全日制普通高校专科及以上学历,教师资格证任教学科须为幼儿园或学前教育的毕业生。
(7)定向招聘岗位(初中语文):限“服务基层四项目人员”和“退役大学生士兵”报考,且考生应为全日制普通高校本科及以上学历,应取得初级中学及以上教师资格证,教师资格证任教学科为语文。“服务基层四项目人员”是指:2019年度当年服务期满的“选聘高校毕业生到村任职工作(含2016年及以前选聘的任职3年以上、考核称职以上的在岗大学生村官)”“农村义务教育阶段学校教师特设岗位计划”“三支一扶计划”“大学生志愿服务西部计划”人员。“服务基层四项目人员”名单以省级主管部门提供的名单为准。“退役大学生士兵”是指以下两类人员:一是2013年及其以后从河北省应征入伍、2018年退伍、入伍前已取得全日制本科及以上学历的退役士兵;二是2013年及其以后从河北省应征入伍、退役后复学、2019年应届毕业的全日制本科及以上学历的退役士兵。“大学生退役士兵”名单由省级主管部门提供。
以上各岗位在符合学历要求的前提下,对于教师资格证任教学科为初中教育的,可报考初中和小学所有岗位。对于教师资格证任教学科为小学教育的,可报考小学所有岗位。教师资格证上未明确任教学科的,结合本人所学专业确定报考岗位。
(二)有下列情形之一的人员不得报名应聘
1、现役军人;
2、未毕业的全日制普通高等学校在读学生不得以原取得学历报考;
3、试用期内事业单位工作人员和未满最低服务年限的事业单位工作人员;
4、试用期内的公务员和未满最低服务年限的公务员;
5、未经现任职单位及其主管部门同意报考的已就业人员;
6、永年区全额财政事业费人员;
7、曾因犯罪受过刑事处罚的人员;
8、曾被开除公职的人员;
9、失信被执行人;
10、法律、法规规定不得招聘为事业单位工作人员的其他情形人员。
(三)回避规定
按照《河北省事业单位公开招聘工作人员暂行办法》第四十一条规定,事业单位公开招聘工作人员实行回避制度。凡与聘用单位负责人员有夫妻关系、直系血亲关系、三代以内旁系血亲或者近姻关系的应聘人员,不得应聘该单位负责人员的秘书或者人事、财务、纪律检查岗位,以及有直接上下级领导关系的岗位。聘用单位负责人员和招聘工作人员在办理人员聘用事项时,涉及与本人有上述亲属关系或者其他可能影响招聘公正的,也应当回避。
五、招聘程序
(一)发布公告
公告时间为2019年12月2日至10日,公告期为七个工作日。
(二)报名及资格审查
1、报名方式。实行现场报名,每名报考人员只能报考一个岗位,须考生本人到现场报名。
2、报名时间和地点。
时间:2019年12月11日--12月20日,共10天(含周六日)。
具体时间:上午08:30-12:00,下午1:30-5:30。
地点:永年区人力资源和社会保障局(临洺关镇洺兴南路216号)
3、提交材料。报名须携带以下原件及复印件一份:
(1)有效期内的二代居民身份证;
(2)居民户口簿;
(3)符合岗位要求的毕业证及学信网*载下**打印的教育部学历证书电子注册备案表;
(4)符合岗位要求的教师资格证,教师资格证须在“中国教师资格网”上查出;对于2008年以前取得的教师资格证网上查询不到的,需提供本人教师资格认定申请表;
(5)未就业人员提供报到证;
(6)足球、武术套路和乒乓球教练三个岗位需提供岗位相应运动项目国家二级及以上运动员证书;
(7)近期蓝底1寸免冠照片1张,报名前将本照片电子版发送至zhaopin5085@163.com邮箱。具体要求为:jpg格式,尺寸25mm×35mm,大小30-100KB,用本人身份证号码命名(照片及电子版均不得PS)。
现场领取填写《邯郸市永年区2019年公开招聘教育类工作人员报考资格审查表》
4、资格审查。由区人社局会同有关部门进行资格审查,主要审查岗位要求的各项条件,资格审查结果现场确认。通过资格审查的考生确定为进入笔试人员,并交纳报名考务费100元。交费后考生关注区人社局“永年人社”官方微信公众号。今后一切相关招聘信息均在永年区人民政府网和“永年人社”公众号发布,请考生注意关注,错失信息后果自负。
5、开考比例。岗位报考人数和岗位招聘人数的比例不低于3:1,报名人数达不到开考比例的,按比例核减直至取消该岗位招聘计划。各岗位报名、核减及取消情况在永年区人民政府网和“永年人社”官方微信公众号予以公布。
(三)笔试
1、笔试内容。笔试采取闭卷方式进行,共考一场。按高中、初中、小学、幼儿园四个学段命题,均为一张试卷,含两科,分别为教育专业能力测验(包括教育学、教师心理学知识等)和公共基础知识(包括政治、经济、公文写作、职业道德等),每科分值100分,满分200分,考试时间共150分钟。笔试成绩占总成绩的50%。笔试成绩=教育专业能力测验+公共基础知识。笔试设合格分数线90分,低于90分者不得进入下一个招聘环节。
2、笔试要求。笔试地点在永年区。笔试具体地点、时间和要求详见《笔试准考证》。应聘人员应按照准考证上确定的考试时间、地点、考场参加考试。参加考试时,必须同时携带《笔试准考证》和有效期内二代身份证。《笔试准考证》领取的时间、地点由区人社局另行通知。
3、确定进入面试人选。各岗位笔试合格分数线以上的考生,按照进入面试人数和岗位招聘人数之比2:1的比例,依据笔试成绩从高分到低分的顺序确定进入面试人选,比例内末位笔试成绩并列的同时进入面试。笔试成绩及进入面试人员名单在永年区人民政府网和“永年人社”官方微信公众号公布。
(四)面试
1、面试要求。面试地点在永年区。面试具体地点、时间和要求详见《面试准考证》。应聘人员应按照《面试准考证》上确定的考试时间、地点、考场参加考试。参加考试时,必须同时携带《面试准考证》和有效期内二代身份证。《面试准考证》领取的时间、地点由区人社局另行通知。
2、面试方式。面试由说课和答辩两部分组成,满分100分。面试时间总共为10分钟,每名考生说课时间6分钟,答辩时间4分钟,答辩题目为2道。面试设合格分数线60分,低于60分者不得进入下一个招聘环节。
3、面试考察内容。面试主要考察考生的职业道德、心理素质、仪表仪态、言语表达等教师基本素养以及设计教学、教材把握和实际授课能力。同岗位的说课内容和答辩题目相同。说课题目面试前三天在永年区人民政府网和“永年人社”官方微信公众号予以公布。
4、面试分组。报考同一岗位的考生一般分在同组、同场面试。个别招聘人数较多的无法分在同组、同场的岗位,根据该岗位笔试成绩由高到低的顺序,采取蛇形分组法分组分招聘名额进行面试。蛇形分组分招聘名额情况在永年区人民政府网和“永年人社”官方微信公众号公布。考生抽签决定面试顺序,面试时只许报抽签顺序号,不得报本人姓名或与本人相关的一切信息。
5、面试打分。评委对考生的说课和答辩进行综合打分。面试打分采取“体操打分法”。
6、成绩计算。
考生总成绩=笔试成绩÷2×50%+面试成绩×50%
面试结束后,面试成绩在考场外张贴公布。考生面试成绩、总成绩及进入体检人员名单在永年区人民政府网和“永年人社”官方微信公众号公布。
7、确定进入体检人员。根据各岗位考生总成绩由高到低的顺序,按照各岗位招聘人数与进入体检人数1:1的比例确定进入体检人员。比例内末位总成绩相同的考生按以下顺序确定进入体检人选:烈士子女或配偶,服务基层四项目人员和退役大学生士兵,学历较高者,笔试成绩较高者,如以上条件均相同,由公开招聘领导小组研究通过加试最终确定进入体检人员。
(五)体检
体检参照《公务员录用体检通用标准(试行)》进行。体检时间、地点及要求等由区人社局另行通知。体检合格人员进入考察环节。
(六)考察
考察内容主要包括人事档案、政治思想、道德品质、业务能力、工作实绩、“三龄两历一身份”等,并对其报考资格条件进行复查。考察合格的进入公示阶段;考察不合格的,取消拟聘用人选资格。
(七)公示
体检、考察均合格的考生确定为拟聘用人选,在永年区人民政府网和“永年人社”官方微信公众号公示7个工作日。
(八)选择学校
对拟聘用人员,依据报考学科岗位总成绩排序,由高到低依次选择聘用学校。总成绩出现并列的,按以下顺序确定选校先后顺序:烈士子女或配偶、服务基层四项目人员和退役大学生士兵、学历较高者、笔试成绩较高者,如以上条件均相同,由公开招聘领导小组研究确定具体方法。
对于面试中采取蛇形分组法分组分招聘名额进行面试的拟聘用人员,采用以下方式确定选择学校顺序:同岗位各小组先由总成绩第一名按笔试成绩由高到低的顺序选择学校,再由各小组总成绩第二名按笔试成绩由高到低的顺序选择学校,依此类推。同名次者笔试成绩并列的,按照以下顺序确定选校先后顺序:烈士子女或配偶、服务基层四项目人员和退役大学生士兵、学历较高者,如以上条件均相同,由公开招聘领导小组研究确定具体方法。进入面试环节后,采取蛇形分组法分组分招聘名额进行面试的各小组,如出现考生主动放弃等各种原因造成的岗位空缺,该组其他人员选校顺序不变。
(九)聘用
对公示反映有严重问题并查有实据,不符合聘用条件的取消其拟聘人选资格;对反映有严重问题但一时难以查实的,暂缓聘用,待查实并做出结论后决定是否聘用。对公示期满无异议的,或有反映问题但经核实不影响聘用的,由招聘单位及其主管部门提出聘用意见,经区人社局审核并报区政府批准后,由用人单位按有关规定与被聘用人员签订聘用合同,办理就业、流动、工资、社保等相关手续,列区全额财政事业费开支。被聘用人员按相关政策规定实行试用期,试用期一并计算在聘用合同期限内。试用期满考核合格的,予以正式聘用,不合格的取消聘用。
六、其他事项
(一)凡应聘人员未在规定时间内按要求参加资格审查、笔试、面试、体检、考察、选校、报到、办理聘用手续等情况的,均视为自动放弃应聘资格。资格审核贯穿招聘工作全过程,在任何环节,发现考生不符合招聘条件的,伪造、假冒各种证件,弄虚作假的,一经查实,取消其应聘资格,问题严重的要追究责任。
(二)招聘过程中,因各种原因造成的岗位空缺,一律不递补。
(三)本次招聘不指定考试辅导用书,不举办也不委托任何机构举办考试辅导培训班。
(四)请考生报名时,务必填写本人常用联系方式,确保在招聘期间保持手机等通讯设备畅通,以免影响招聘。
七、本公告解释权归永年区事业单位公开招聘领导小组办公室,未尽事宜由永年区事业单位公开招聘领导小组研究决定。
咨询电话:(工作时间)
0310-6885085(区人社局)
监督举报电话:(工作时间)
0310-6835297(区纪委监委)
详情登录
https://mp.weixin.qq.com/s/-IrcCBgRP7Mp-E5sa9LU6w
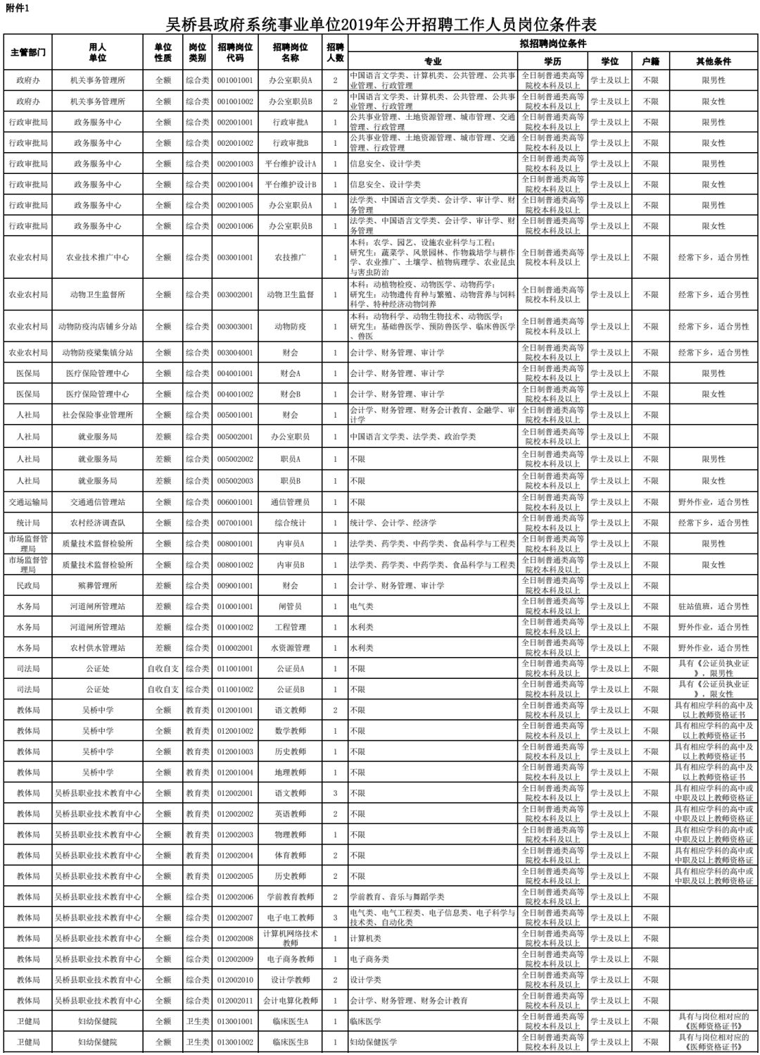
吴桥县政府系统事业单位2019年公开招聘工作人员公告
根据《事业单位人事管理条例》及《河北省事业单位公开招聘工作人员暂行办法》,为满足我县事业单位工作需要,经研究决定,2019年政府系统事业单位面向社会公开招聘工作人员152名。现就有关事项公告如下:
一、招聘原则
事业单位公开招聘坚持德才兼备和民主、公开、竞争、择优的原则,在考试、考察的基础上择优聘用。
二、招聘名额
此次公开招聘共有招聘岗位69个,招聘工作人员152名。各招聘单位具体招聘人数和岗位条件详见《吴桥县政府系统事业单位2019年公开招聘工作人员岗位条件表》,应聘人员可以通过吴桥人力资源网(http://www.wqrlzy.com/)查询报考信息。


三、招聘对象和条件
(一)招聘对象
招聘对象为2019届及以前毕业的全日制普通类高等院校毕业生。
(二)应聘人员应具备以下基本条件:
1、具有中华人民共和国国籍;
2、遵守宪法和法律,具有良好的品行和职业道德;
3、具有与招聘岗位要求相适应的学历、专业等条件;
4、年龄要求18周岁以上、35周岁以下(1983年12月11日至2001年12月10日期间出生),2019年应届毕业生不限年龄;
5、适应岗位要求的身体条件;
6、具备岗位所需要的其他条件。
招聘岗位所需的具体条件按《吴桥县政府系统事业单位2019年公开招聘工作人员岗位条件表》要求确定,凡涉及年龄、工作时间等需要确定时间的,计算时间截止到2019年12月10日。
(三)有下列情形之一的人员不得报考:
1、曾因犯罪受过刑事处罚的、开除公职的、失信被执行人;
2、受*党**纪、政纪处分,处分期未满的;
3、因涉嫌违法、违纪,正在接受审查的;
4、现役军人、试用期内的公务员和试用期内的事业单位工作人员、未满最低服务年限或未满约定最低服务期限的人员;
5、普通类全日制在读的非应届毕业学生;
6、法律、法规规定不得招聘为事业单位工作人员的其它情形人员。
7、报考人员不得报考聘用后即构成回避关系的招聘岗位。
回避关系是指《河北省事业单位公开招聘工作人员暂行办法》第四十一条关于“凡与聘用单位负责人员有夫妻关系、直系血亲关系、三代以内旁系血亲或者近姻亲关系的应聘人员,不得应聘该单位负责人员的秘书或者人事、财务、纪律检查岗位,以及有直接上下级领导关系的岗位。聘用单位负责人员和招聘工作人员在办理人员聘用事项时,涉及与本人有上述亲属关系或者其他可能影响招聘公正的,也应当回避”的规定。
四、报名与资格审查、打印笔试准考证
(一)报名办法和时间
本次考试实行网上报名,报名者严格实行自律机制,即对网上提交的学历、毕业院校、户籍、工作经历等信息的真实性负责。凡弄虚作假的,一经查实,即取消应聘资格。
报名网址:吴桥人力资源网(http://www.wqrlzy.com/)
报名时间:2019年12月10日9:00至16日17:00。
资格审查截止时间:2019年12月17日12:00。
交费截止时间:2019年12月17日17:00。
开考比例:吴桥县中西医结合医院和吴桥中学岗位报考人数与该岗位招聘人数的比例不低于2:1;其他岗位报考人数与该岗位招聘人数的比例不低于3:1。报名人数达不到开考比例的,经领导小组研究决定,减少该岗位招聘人数或取消该岗位招聘,并通知报考该岗位人员。
(二)打印《笔试准考证》
考生完成网上报名后,于2019年12月23日8:00至12月24日22:00登陆吴桥人力资源网(http://www.wqrlzy.com/),打印《笔试准考证》。
(三)考生报名注意事项
考生开始报名前,须完全了解本次招聘的招聘政策和拟报考岗位条件,认真阅读《报名须知》并同意《诚信承诺书》,然后参照“考生操作指南”按步骤进行具体操作:
1、网上报名实行严格的自律机制。报考人员必须承诺履行《诚信承诺书》,对提交审核的报名信息的真实性负责;在进入面试人员证件审核及其他招聘环节,凡发现网上填报的信息与实际情况不一致的,取消应聘资格。
2、网上报名须用有效的二代居民身份证申请“报名号”,获取“报名号”和“初始密码”后才能登录报名系统,进行填表和提交审核,报名号是登录报名系统的唯一标识,密码可修改,二者均务必牢记并保管好。
3、按照要求规范填写或选择表项,上传的电子照片要符合要求,否则将被报名系统自动拒绝。报考信息通过审核后才能进行交费操作,交费成功即完成报名。
4、考生“提交审核”后信息将被锁定,在未反馈审核结果前不能修改。一般情况下,审核员24小时内会回复审核结果。“审核未过”的,可根据提示的未过原因,修改信息或改报岗位并重新提交审核;“审核通过”的,将不能再修改,可直接进入交费程序。
5、考生务必牢记报名和交费截止时间、打印《笔试准考证》时间、考试时间等重要时间信息;凡是在规定时间未完成相关操作的,将被视为自动放弃。同时,报名和考试期间务必保管好个人的证件和信息,因个人原因造成丢失、被他人盗用和信息被恶意篡改而影响报名和考试的,责任自负。
6、报名交费可以通过“网上银行”及手机支付宝扫码支付,报名考务费每人100元,请考生及时开通网上支付功能。
7、特别提示:由于报名和咨询较多,本次招录的政策、方法、程序、时间地点安排、有关要求等,已在本公告尽详写明,请认真阅读,确有公告未尽事项时再电话咨询,以提高广大考生咨询效率。
五、考试与证件审核
考试分为笔试与面试两部分。
(一)笔试
笔试由吴桥县人力资源和社会保障局统一组织。笔试采取闭卷方式进行,满分100分,考试时间为120分钟。
1、笔试科目:
综合类:除卫生系统和教育系统外,其他事业单位岗位考试内容为《公共基础知识》和《职业能力测验》(包含012002006、012002007、012002008、012002009、012002010、012002011、013001003、013005001、013005002岗位)。
卫生类:吴桥县人民医院、吴桥县中西医结合医院、妇幼保健院、疾病预防控制中心、东宋门乡中心卫生院、何庄乡卫生院事业单位岗位考试内容为《公共基础知识》和《医学基础知识》(不包含013001003、013005001、013005002岗位)。
教育类:吴桥中学、吴桥县职业技术教育中心事业单位岗位考试内容为《教育基础知识》和《相应学科专业知识》(不包含012002006、012002007、012002008、012002009、012002010、012002011岗位)。
本次考试不指定考试辅导用书,不举办也不委托任何机构或个人举办考试辅导培训班。目前社会上出现的假借事业单位招聘考试命题组、专门培训机构等名义举办的辅导班、辅导网站或发行的出版物、上网卡等,均与本次考试无关。敬请广大应聘者提高警惕,切勿上当受骗。
2、笔试时间及地点:
考生应按照准考证上确定的考试时间、地点、考场参加考试。参加考试时,必须同时携带笔试准考证和法定有效二代居民身份证。缺少证件的考生不得参加考试。
3、笔试成绩查询:
笔试成绩可于笔试结束后七天内登陆吴桥人力资源网(http://www.wqrlzy.com/)查询。根据招聘计划和笔试成绩,分岗位按1:2的比例确定进入面试人选,比例内末位成绩并列的都进入面试人选。
(二)证件审核
进入面试人选的考生需在指定时间、指定地点进行证件审核。考生须出具的证件和材料包括:能够证明自己符合条件的身份证、笔试准考证、毕业证、学位证、就业报到证及岗位要求的其他资格证书原件及复印件;应届普通类毕业生须提供《2019年大中专毕业生就业协议书》。经证件审核,符合资格条件的考生进入面试。发现考生在网上报名时填报情况不实不符合报考资格条件的,取消面试资格,严重弄虚作假行为要追究责任。
(三)面试
1、面试时间和地点:
证件审核结束后,面试时间和地点会在吴桥人力资源网(http://www.wqrlzy.com/)进行公布。
2、面试方式:
综合类岗位和卫生类岗位面试采取结构化面试的方式进行,教育类岗位面试采取试讲的方式进行。主要对应聘者的适岗能力、职业素养和举止仪表等方面进行综合考核。面试成绩满分100分,面试合格分数线为60分。面试成绩当天在面试考点公布。
(四)考生综合考试成绩的计算
面试合格分数线为60分,达不到合格线的考生不计算综合考试成绩、不得进入此后体检等招聘程序。按笔试成绩、面试成绩两部分计算考试综合成绩(保留2位小数)。
报考综合类和卫生类岗位的考生,综合成绩=笔试成绩×60%+面试成绩×40%;
报考教育类岗位类的考生,综合成绩=笔试成绩×40%+面试成绩×60%。
(五)确定进入体检考生名单
根据招聘计划和考生综合考试成绩,分职位按1:1的比例确定体检考生名单。同一岗位末位出现总成绩并列超出招聘计划者,采取依次按笔试成绩高者、学历高者、院校录取批次高者、基层工作经验长者优先的办法确定排名,若仍不能区分排名,则另行加试。在此后的考察、公示环节发现问题需要递补时,出现总成绩并列的,也按此排名顺序确定。
六、体检
体检人员名单在吴桥人力资源网(http://www.wqrlzy.com/)公布。体检项目、标准参照公务员录用体检的有关规定执行。体检费用自理。体检不合格的,取消拟聘人选资格,按综合成绩排名依次递补。
七、考察
体检合格人员进入考察环节。考察由县人力资源和社会保障局会同事业单位或其主管部门组织实施,主要考察应聘人员思想政治表现、道德品质、业务能力、工作实绩等情况。考察不合格的,取消拟聘人员资格,在报考同一岗位的考生中按排名顺序依次递补。
八、公示
经体检、考察均合格人员,确定为拟聘用人员,在吴桥人力资源网(http://www.wqrlzy.com/)进行公示,时间为7个工作日,接受社会和群众监督。
九、聘用
公示期间,对反映有严重问题并查有实据不符合聘用条件的、在公示期间放弃聘用的,取消其拟聘人选资格,在报考同一岗位的考生中按排名顺序依次递补;对反映有严重问题但一时难以查实的,暂缓聘用,待查实并做出结论后决定是否聘用;对公示期满无异议的,或有反映问题但经核实不影响聘用的,填写《河北省事业单位公开招聘工作人员审批表》一式四份,报县人力资源和社会保障局办理相关聘用手续。公开招聘的人员按相关政策规定实行试用期制度,试用期一并计算在聘用合同期限内。试用期满考核合格的人员,予以正式聘用,不合格的,取消聘用。聘用后,服务年限不得低于5年。
十、其它有关事项
(一)本次招聘过程由县纪委监委全程监督。
(二)凡考生未在规定时间内按要求参加笔试、证件审核、面试、体检、考察、报到等情况的,均视为自动放弃应聘资格。
咨询电话:0317-7365033
详情登录
http://www.wqrlzy.com/web/wenjian/20191129172556.html
天津一中雄安校区雄县中学2020年教师招聘公告
一、招聘原则
我校2020年招聘工作坚持按需设岗、按岗招聘的原则;坚持公开、公平、竞争、择优的原则;坚持德才兼备、任人唯贤的原则。
二、招聘教师岗位名额
共招聘教师45名。其中语文6名,数学4名,英语5名,物理6名,化学4名,生物5名,历史3名,地理5名,政治4名,信息技术1名,体育2名。
三、招聘范围
1、应届毕业生
①2020年全日制本科一批(直本)及以上学历学位、国家统一招生计划的非定向、委培生;
②具有较好的理论基础和专业素养,综合素质全面;
③应届硕士研究生年龄30周岁以下,1989年11月1日(含)以后出生;应届博士研究生年龄35周岁以下,1984年11月1日(含)以后出生。
2、往届毕业生
①大学起始学历为全日制本科一批(直本)及以上学历;
②一直从事高中教学一线工作,获得省、市荣誉称号的骨干教师、学科带头人、教育教学成绩突出者优先考虑(原则上年龄在35周岁(含)以下,特别优秀的可放宽至40周岁)。
四、报考条件
(一)基本条件
1、具有中华人民共和国国籍;
2、拥护中华人民共和国宪法,遵守各项法律法规,具有良好的品行;
3、热爱教育事业,热爱教师职业;
4、具有正常履行职责的身体条件;
5、具有符合岗位要求的专业技能和工作能力;
6、具有相应学科高级中学教师资格证书。招聘过程中,尚未取得教师资格证的,应在正式入职前取得相应学科的高级中学教师资格证书;
7、符合岗位要求的其他条件。
(二)下列人员不得报考
1、现役军人;
2、在校在读(全日制)非应届高校毕业生;
3、在以往公开招聘考试中,被认定为有考试作弊行为的人员;
4、曾因犯罪受过刑事处罚的人员;
5、曾被开除公职的人员;
6、法律法规规定其他不宜录用的人员。
五、招聘方法
本次招聘面向社会实行公开招聘,采取笔试、面试相结合的方式进行,具体程序如下:
(一)网上报名
1、报名方式及时间
报名起始日期:2019年11月23日上午8点;
截止日期:2019年12月20日下午5点。
2、报名需录入的信息
应聘人员先扫描“二维码”,再进行网上报名,填写个人相关信息,上传本人电子照片(近期免冠正面证件照,jpg格式,尺寸为295x413像素,大小20-100kb),并提供有效通讯方式。
3、有关要求
①报考人员填写的信息必须与本人实际情况、报考条件和所报考的岗位要求相一致,资格审查贯穿整个招聘工作始终。凡弄虚作假者,一经查实,取消考试、聘用等资格;
②每位报考人员限报一个岗位,并使用本人有效居民身份证进行报名和参加考试。
(二)网上资格初审及报名确认
报考人员进行网上报名的同时,雄安校区雄县中学对照招聘条件逐个进行资格初审,通过资格初审的应聘人员将收到电话或短信通知,未通过资格初审的应聘人员将不予通知。同一报考岗位的网上资格初审合格人数与招聘岗位计划数之比应不低于3:1,不足规定比例的,取消或相应核减本批次该岗位计划数,学校按将照相关规定进行二次招聘。
(三)笔试和面试
1、笔试:
笔试内容为专业知识和综合知识,总分为100分。报名资格审查通过的人员,按照雄安校区雄县中学的招聘要求参加笔试,以电话或短信形式另行通知。(6所部属师范院校符合条件的毕业生直接进入面试,不参加笔试,面试合格后优先聘用);
进入面试的人员请携带以下材料的原件和复印件,到我校进行资格审核:在校证明(注明专业、是否能如期毕业)或毕业证,毕业生推荐表、身份证、教师资格证、英语等级证书。若出现资格复审不合格,按笔试成绩由高到低顺次递补。
2、面试:
面试分两个阶段进行:
第一阶段是说课及现场答辩,考生按抽到的题目内容进行现场说课,然后回答考官提出的相关问题,由考官根据说课表现和答辩情况给出分数;总分为100分,低于及格线60分的考生不能进入第二阶段面试。第一阶段笔试分数与面试分数按4:6比例相加计算成绩,由高到低排序,按岗位招聘人数1:2的比例确定进入第二阶段面试的人员名单。
第二阶段是进班授课,进入本阶段面试的人员须按照我校要求,事先准备授课内容,面向教学班级现场教学,由考官根据教学实际情况给出分数。本阶段总分为100分,第二阶段面试与第一阶段面试成绩按6:4比例计算出面试成绩,未参加第二阶段面试的人员,不计算面试成绩,视为自动放弃。
体育学科面试第一阶段的形式及内容见附件一。
3、计分:面试超过及格线(60分)的考生,按照笔试、面试成绩4:6的比例进行相加计算总成绩。按总成绩由高到低排序,总成绩相同的,以面试成绩较高者列前。
(四)体检、考察、公示、聘用
1、体检:
拟聘用人员在雄安新区指定医院集中体检,体检标准参照《公务员录用体检通用标准(试行)》执行,体检不合格者取消聘用资格,未按规定时间、地点参加体检的视为自动放弃;
2、考察:
对体检合格人员按有关规定组织考察,考察内容主要包括考察对象的政治思想、道德品质、遵纪守法、能力素质、工作态度、学习及工作表现等方面的情况。考察结束后,将考核结果形成书面材料;
3、公示:
根据考试或考核结果、体检、考察结果,经招聘单位负责人员集体研究确定拟聘用人员名单,并对拟聘用人员在招聘信息发布范围内进行公示,公示期为7个工作日;
4、聘用:
学校法定代表人与受聘人员签订聘用合同,确定人事关系。受聘人员实行试用期制度。试用期包括在聘用合同期限内。试用期考核合格的,予以正式聘用;试用期考核不合格的,取消聘用。
拟聘人员自愿放弃聘用、拟聘人员未在规定的时间内报到或其他情形导致招聘岗位空缺时,本单位可根据情况决定按照规定程序和时限,依据应聘者考试成绩由高分到低分依次递补。
六、相关福利待遇
1、所有录用人员按规定实行试用期制度,试用期包括在聘用期内。试用期满,经考核合格后正式聘用,不合格者解除聘用;
2、招聘的免费师范生(北京师范大学、东北师范大学、陕西师范大学、华东师范大学、华中师范大学、西南大学)办理入编入职手续;
3、其他招聘教师,采用人事代理方式。比照事业单位工作人员有关政策,落实工资、社会保险、公积金等待遇;
4、本科“211工程”院校及全日制硕士研究生及以上学历,文史、理工类毕业生,按月发放住房补贴,每人每月1500元,原则上连续发放3年,如果雄安新区政策改革待遇提高则不再发放;
5、为每一位聘用老师提供免费住宿。
相关信息:
1、本招聘公告由天津一中雄安校区雄县中学教务处负责解释。
2、咨询电话:13603286233
13931363535
13933273186
3、招聘邮箱:xxzx0634@163.com
详情登录
https://mp.weixin.qq.com/s/9OoRFdKYRZOQg0p2lK6bgg
雄安新区雄县教育局白洋淀高级中学关于教师招聘的公告
为满足招生规模需要,优化教师结构,保持教师队伍的可持续发展,全面提高教育教学质量,雄县白洋淀高级中学依据雄县教育局关于2020年中小学教师招聘文件精神,特制定以下招聘工作方案:
一、学校简介
白洋淀高级中学位于雄安新区雄县城区西侧,东临国家5*级A**风景区白洋淀,地理位置优越,交通便利,是一所公办高级中学, 2016年2月投入使用。
二、拟招聘学科教师
为使学校更快的扩大发展,满足招生规模需要及保持教师队伍活力,现诚聘教坛精英及优秀应往届毕业生。

三、招聘对象
符合应聘条件的2020年应、往届优秀毕业生。
四、招聘条件
(一)1、热爱教育事业,身体健康,诚实守信,品行端正,敬业爱生;2、大学期间成绩优秀,获较高等级专业奖学金者优先;3、在大学期间入*党**,获校级优秀学生干部者优先;4、高中阶段获得学科竞赛省级二等奖及以上者优先。
(二)1、应届毕业生:①2020年全日制本科一批及以上学历学位,国家统一招生计划的非定向、委培生。②应届硕士研究生年龄30周岁以下,1989年11月1日(含)以后出生;应届博士研究生年龄35周岁以下,1984年11月1日(含)以后出生。
2、往届毕业生:①大学起始学历为全日制本科一批及以上学历。②获得省、市特级教师称号的骨干教师、学科带头人,教学成绩突出者优先考虑(原则上年龄35岁(含35)以下,教学成绩特别优秀教师可适当放宽到40周岁)。
(三)1、具有相应学科教师资格证(招聘过程中,尚未取得教师资格证的,应在正式入职前取得相应学科的高级中学教师资格证书),所学专业、学历符合应聘条件。2、下列情形之一者不得应聘:刑事处罚期限未满或者涉嫌违法犯罪正在接受调查的人员;尚未解除*党**纪、政纪处分或正在接受纪律审查的人员;近5年内,曾在公务员招录、事业单位公开招聘考试中被认定有舞弊等严重违反招聘纪律的人员;现役军人、普通高等学校在校生(2020年应届毕业生除外)。
五、福利待遇
1、所有录用人员按规定实行试用期制度,试用期包括在聘用期内。试用期满,经考核合格后正式聘用,不合格者解除聘用;
2、招聘的免费师范生(北京师范大学、东北师范大学、陕西师范大学、华东师范大学、华中师范大学、西南大学)办理入编入职手续;
3、其他招聘教师,采用人事代理方式。比照事业单位工作人员有关政策,落实工资、社会保险、公积金等待遇;
4、“211工程”院校本科及全日制硕士研究生学历以上文史、理工类毕业生(以高考录取本科专业为准),按月发放住房补贴,每人每月1500元,原则上连续发放3年,如果雄安新区政策改革待遇提高则不再发放;
5、学校为聘用老师提供免费食宿。
六、应聘方式
1、应聘者将个人自荐书发至邮箱xxgztwo@163.com,学校进行初选,对入选者将用电话通知应聘教师来学校进行面试(考生按抽到的题目内容进行现场说课,然后回答招聘小组提出的相关问题,由招聘小组根据说课表现和答辩情况给出分数;总分为100分,低于及格线60分的考生不能进入第二阶段复试。按岗位招聘人数1:2的比例确定进入第二阶段面试的人员名单)、复试(进入本阶段复试的人员须按照我校要求,事先准备授课内容,面向教学班级现场教学,由招聘小组根据教学实际情况给出分数。本阶段总分为 100分,复试与面试成绩按6:4比例计算出面试成绩,未参加复试的人员,不计算面试成绩,视为自动放弃)。报名起始日期:2019年11月23日上午8点;截止日期:2019年12月31日下午5点。
2、学校招聘委员会按程序考核结果合格后进入:
①体检:拟聘用人员在雄安新区指定医院集中体检,体检标准参照《公务员录用体检通用标准(试行)》执行,体检不合格者取消聘用资格,未按规定时间、地点参加体检的视为自动放弃;
②考察:对体检合格人员按有关规定组织考察,考察内容主要包括考察对象的政治思想、道德品质、遵纪守法、能力素质、工作态度、学习及工作表现等方面的情况。考察结束后,将考核结果形成书面材料;
③公示:根据考试或考核结果、体检、考察结果,经招聘单位负责人员集体研究确定拟聘用人员名单,并对拟聘用人员在招聘信息发布范围内进行公示,公示期为7个工作日;
④聘用:学校法定代表人与受聘人员签订聘用合同,确定人事关系。受聘人员实行试用期(两个月)制度。试用期包括在聘用合同期限内。试用期考核合格的,予以正式聘用;试用期考核不合格的,取消聘用。
联系地址:白洋淀高级中学(雄县旅游路杨西楼大桥往西1300米路南)
邮政编码:071800
咨询电话:0312-530190、13582070678、13703368507
邮 箱:xxgztwo@163.com
联 系 人:李老师 陈老师
本招聘公告由雄县白洋淀高级中学办公室负责解释。
详情登录
https://mp.weixin.qq.com/s/LV7KWahbDn7wN0OXqJha4A
清华附中雄安学校2020年教师公开招聘
一、招聘原则
(一)坚持公开公平,竞争择优。
(二)坚持考试考察,择优聘用。
(三)坚持统一规范,分级负责。
二、招聘教师岗位、数量及专业要求
2020年度清华附中雄安学校教师招聘岗位计划共80名。

三、招聘条件
(一)基本条件
1、具有中华人民共和国国籍;拥护中国*产党共**的领导和*党**的路线、方针、政策;遵纪守法、诚实守信,品行端正,身心健康。
2、热爱教育工作,关爱学生、为人师表,具有良好的职业道德素养和优秀教育教学专业技能。
3、具有相应学科教师资格证,所学专业、学历符合应聘条件。
4、普通话水平须为二级乙等及以上。
5、下列情形之一者不得应聘:刑事处罚期限未满或者涉嫌违法犯罪正在接受调查的人员;尚未解除*党**纪、政纪处分或正在接受纪律审查的人员;近5年内,曾在公务员招录、事业单位公开招聘考试中被认定有舞弊等严重违反招聘纪律的人员;现役军人、普通高等学校在校生(2020年应届毕业生除外)。
(二)岗位任职条件
1、应届毕业生
(1)2020年应届毕业生,国家统一招生计划的非定向、委培生。
(2)全日制硕士研究生及以上学历学位(免费师范生可放宽至本科学历学位)。
(3)具备较好的理论基础和专业素养;综合素质全面,*共中***党**员、学生干部等优先考虑。
(4)应届硕士研究生年龄30周岁以下,1989年11月1日(含)以后出生;应届博士研究生年龄35周岁以下,1984年11月1日(含)以后出生。
2、往届毕业生
(1)大学起始学历为全日制本科。
(2)获得省、市特级教师称号的骨干教师、学科带头人,教学成绩突出者优先考虑。
(3)往届毕业生原则上年龄45岁以下(含45),中级及以上职称、教学成绩优秀教师可适当放宽年龄限制。招聘方法本次招聘工作由清华大学附属中学协助清华附中雄安学校组织招聘,按程序考核合格后,由雄县教育局协助办理入职等相关手续。
四、招聘程序
(一)网上报名
1、报名方式及时间清华附中在学校网站(www.qhfz.edu.cn)人才招聘栏目发布招聘公告。招聘公告发布7个工作日后,清华附中组织开展报名工作。应聘人员登录学校网站,进入“人才招聘”系统,点击“雄安地区”申请报名。
报名起始日期:2019年11月12日上午8点;截止日期:2019年12月31日下午5点。
2、报名需录入的信息报考人员登录“清华附中网”进行报名,签署“诚信承诺书”,填写个人基本情况、教育经历等信息,上传本人电子照片(近期免冠正面证件照,jpg格式,尺寸为295×413像素,大小20-100kb),并提供有效通讯方式。
3、有关要求
(1)报考人员填写的信息必须与本人实际情况、报考条件和所报考的岗位要求相一致。资格审查贯穿整个招聘工作始终,凡弄虚作假者,一经查实,取消考试、聘用等资格。
(2)每位报考人员限报一个岗位,并使用本人有效居民身份证进行报名和参加考试。
(二)网上资格初审及报名确认报考人员进行网上报名的同时,清华附中雄安学校对照招聘条件逐人进行资格初审,于报名截止日次日12:00前完成。通过资格初审的应聘人员将以短信形式通知;未通过资格初审的应聘人员不予通知。同一报考岗位的网上资格初审合格人数与招聘岗位计划数之比应不低于3:1,不足规定开考比例的,取消或相应核减该岗位计划数。
(三)笔试和面试等工作报名资格审查通过的人员按照清华附中雄安学校的要求参加笔试和面试等,具体时间、地点等由清华附中短信另行通知。依据考生的综合成绩确定拟聘用人员名单。
(四)体检、考察、公示、录用拟聘用人员在雄安集中体检。体检标准参照《公务员录用体检通用标准(试行)》执行,体检不合格者取消聘用资格,未按规定时间、地点参加体检的视为主动放弃。经考察合格,拟聘用人员名单在雄县教育信息网公示7个工作日,公示无异议后办理相关手续。
五、福利待遇
(一)薪金待遇1.在聘期间为公办学校正式教师,比照事业单位工作人员有关政策,落实工资、社会保险、公积金等待遇。2.211工程院校及全日制硕士研究生学历以上,文史、理工类毕业生按月发放住房补贴,每人每月1500元,原则上连续发放3年,如果新区政策改革待遇提高则不再发放。
(二)享受带薪寒暑假,可为教师提供宿舍。
(三)本年度录用的各学科教师,将参加清华附中一体化学校的教师培训等活动。
1、本招聘公告由清华附中雄安学校人力资源中心负责解释。
2、咨询电话:0312-5566015 0312-5566016(王老师)
3、招聘邮箱:qhfzxaxx2019@163.com
详情登录
https://mp.weixin.qq.com/s/8jib1Dnsg71TrI_lIitkdg
(来源:河北日报)