01
线路主保护(纵联保护)
纵联保护:利用某种通信通道将输电线路两端的保护装置纵向连接起来,将各端的电气量传送到对端,将各端的电气量进行比较,一判断故障在本线路范围内还是范围之外,从而决定是否切断被保护线路。
任何纵联保护总是依靠通道传送的某种信号来判断故障的位置是否在被保护线路内,信号按期性质可分为三类:闭锁信号、允许信号、跳闸信号。
闭锁信号:收不到这种信号是保护动作跳闸的必要条件。
允许信号:收到这种信号是保护动作跳闸的必要条件。
跳闸信号:收到这种信号是保护动作与跳闸的充要条件。
按输电线路两端所用的保护原理分,可分为:(纵联)差动保护、纵联距离保护、纵联方向保护。
通道类型:一、导引线通道;二、载波(高频)通道;三、微波通道;四、光纤通道。
1)(纵联)差动保护
(纵联)差动保护:原理是根据基尔霍夫定律,即流向一个节点的电流之和等于零。
差动保护存在的问题:
对于输电线路
1、电容电流:电容电流从线路内部流出,因此对于长线路的空载或轻载线路容易误动。
解决办法:提高启动电流值(牺牲灵敏度);加短延时(牺牲快速性);必要是进行电容 电流补偿。
*注:穿越性电流就是在保护区外发生短路时,流入保护区内的故障电流。穿越电流不 会引起保护误动。
2、TA断线,造成保护误动
解决办法:使差动保护要发跳闸命令必须满足如下条件:本侧起动原件起动;本侧差动继电器动作;收到对侧“差动动作”的允许信号。
保护向对侧发允许信号条件:保护起动;差流元件动作
3、弱电侧电流纵差保护存在问题(变压器不接地系统的弱电侧在轻载或空载时电流几乎没有变化)
解决办法:除两侧电流差突变量起动元件、零序电流起动元件和不对应起动元件外,加装一个低压差流起动元件。
4、高阻接地是保护灵敏度不够
在线路一侧发生高阻接地短路时,远离故障点的一侧各个起动元件可能都不启动,造成 两侧差动保护都不能切除故障。
解决办法:由零序差动继电器,通过低比率制动系数的稳态相差元件选相,构成零序1段差动继电器,经延时动作。
*注:比率制动差动即一个和电流(差动),一个差电流(制动),两者综合考虑,差电流越大,才能动作。
5、采样不同步
解决办法:改进技术
6、死区故障
解决办法:远跳
线路M、N侧。将M侧母线保护动作的接点接在电流差动保护装置的“远跳”端子上,保护装置发现该端子的输入接点闭合后立即向N侧发“远跳”信号。N侧接收到该信号后再经(也可不经)起动元件动作作为就地判据发三相跳闸命令并闭锁重合闸。
*注:3/2接线方式中母线保护动作是不允许发“远跳”信号的,而是母线保护起动失灵保护,失灵保护动作后起动“远跳”跳对侧断路器。
对于主变
在空载投入变压器、或者是外部故障切除电压恢复时,变压器电流表指针会有很剧烈的摆动,然后再返回正常的空载电流值,这个冲击电流就是所谓的励磁涌流。它有以下几个特点:
1、涌流含有数值很大的高次谐波分量(主要是二次和三次谐波),主要是二次谐波,因此,励磁涌流的变化曲线为尖顶波,并且有明显的间断角。
2、励磁涌流的衰减常数与铁芯的饱和程度有关,饱和越深,电抗越小,衰减越快。因 此,在开始瞬间衰减很快,以后逐渐减慢。
3、一般情况下,变压器容量越大,衰减的持续时间越长,但总的趋势是涌流的衰减速 度往往比短路电流衰减慢一些。
4、励磁涌流的数值很大,最大可达额定电流的6~8倍。当整定一台断路器控制一台变压器时,其速断可按变压器励磁电流来整定。
根据这些特点,可以提出相应的解决办法。比如采用带有饱和变流器的差动继电器构成差动保护;利用二次谐波制动原理构成差动保护。
2)纵联方向保护
纵联方向保护是在规定正方向的情况下,通过比较故障分量电压和和电流在模拟阻抗上产生的电压之间的相位,

正方向故障时,其功率方向为正,如上面公式所示。这是在假定各个阻抗的阻抗角相等的理想情况下的出来的,而在考虑各种因素的影响时,工频突变量的方向元件在正方向故障时功率方向为正的判据为(270°,90°),即左半区域内,可以理解为阻抗部分的电阻值一定为负值,即所谓的电阻应该是变小的。
反之,就容易得出另一个判据,反方向时判据为(90°,-90°)。
纵联方向保护的原理决定它有以下几个特点:
1、不受负荷状态的影响;
2、不受故障点过渡电阻的影响;
3、故障分量的电压、电流间的橡胶与系统电阻决定,方向明确;
4、可消除电压死区;
5、不受系统振荡影响。
3)纵联距离保护
纵联距离保护和纵联方向保护类似,只是将方向元件改成了距离元件。
距离保护通过比较短路点与保护安装处的线路阻抗Zm和整定阻抗Zset,有以下三种情形:
1、Zm<Zset,说明在保护区内,保护动作;
2、Zm>Zset,说明在保护区外,保护不动作;
3、Zm在Zset的反方向,说明为反方向故障,保护不动作。
从它的保护原理,即通过比较两者的阻抗值可知,在考虑一定的裕量,以及发生高阻接地是要保证灵敏性的要求下,距离保护不能保护线路的全长,一般来说,距离1段能保护线路全长的80%;距离II段保护全长及下一线路的一部分;距离III段保护下一线路全全长,作为下一线路的远后备。
纵联距离保护归根于距离保护的一段,即距离I段。
纵联距离保护很少受系统运行方式、网络结构和负荷变化的影响。但它受系统振荡的影响、在串补电容线路上整定困难。
距离保护还可以兼做本线路和相邻线路的后备保护用。
02
重合闸
电力系统的运行经验表明,架空线路故障大都是“瞬时性”故障,这些故障发生时,继电保护动作开关断开,电弧很快自然熄灭,这时故障点的绝缘强度重新恢复,此时,合上断路器能够恢复正常供电。
重合闸的优点明显:首先能提高供电的可靠性,尤其是单回路线路;同事,也能提高电力系统并列运行的稳定性;对断路器机构本身或继电保护的误动作引起的误跳闸也能进行纠正补救。
重合闸的缺点在于:当重合于永久性故障时,电力系统又受到了一次故障的冲击,有可能降低并列运行的稳定性;同时,它要求断路器在短时内连续两次切断短路电流,对短路器的灭弧能力要求高。
重合闸不应动作的情况:
1)由值班人员手动或操作遥控装置将断路器断开;
2)手动合闸。
重合闸起动方式有位置不对应起动(偷跳)和保护户跳闸起动。
重合闸的单重、三重和综重
1、单相重合闸是指:线路上发生单相接地故障的时候,保护动作只跳开故障相的断路器并单相重合闸;
2、三重是指:不管线路上单相接地故障还是相间短路故障,都跳开三相,再三相重合闸;
3、综合重合闸是指:当发生单相接地故障时采用单相重合闸方式,当发生相间短路时采用三相重合闸方式。
一般来说,对于110kV及以下线路,采用单重方式;对于220kV及以上线路,采用多重方式;对于孤立线路,没有形成环网等特殊情况采用综重,各种方式的采用是综合考虑线间距离而导致的故障类型的可能性、供电的可靠性以及对系统的冲击来考虑的。
重合闸的动作时间
一方面,为了缩短电源断开时间,希望动作时限越短越好;另一方面,重合闸前要保证灭弧使介质绝缘强度恢复,这包括两点内容:一为断路器机构灭弧室;二为故障点的电弧熄灭。综合来看,重合闸的时间又不能太短,一般来说为,220kV0.8s,500kV0.6s。
检无压和检同期
检无压:在合开关前,先检测开关线路侧是否有电压,确定无电压后,再合开关。
检同期“在和开关前,先检测开关两端是否满足同期条件(电压和相位都相同),再合开关。
两侧跳闸后,线路无压,这时投无压侧先将开关合上,另一侧检同期后再合闸。如果两侧均投检同期,由于线路无压,母线侧有压,两侧开关均不满足同期条件,将无法操作。
如果一侧投检无压,另一侧投检同期,那么,检无压一侧,在断路器由于某种原因(误碰或保护误动时)而跳闸,对侧并未动作,此时线路有压,不能重合。因此,两侧均应装有检无压和检同期,但是,一侧投检无压和检同期后,另一侧只能够检同期,否则出现同时检无压重合闸导致非同期合闸,此时,在检同期继电器触点回路中要串接检无压的触点。(两侧重合闸的配合问题)
重合闸是,一般在系统侧投检无压,靠近电厂侧投检同期,是为了防止重合于永久性故障时,再一次对发电机组造成冲击。
同样的考虑还有500kV线路3/2接线方式的采用边开关先合,因为开关重合于永久性故障并且开关此时不能跳开时,系统的停电范围影响(停一条母线,还是相邻的一条线路),因为对于500kV线路来说,线路在一般情况下比母线更重要。
需要说明的是,对于单重方式,就不存在检同期,因为两相仍处于合闸状态。
03
断路器保护
断路器保护的功能配置:
1、失灵保护
对于3/2接线,断路器分为边断路器和中断路器,两者失灵时所跳的断路器有所不同,前者是跳中断路器和所连母线上所有边断路器;后者是跳两个边断路器,并且发远跳跳开线路对侧的与线路相连的断路器。
一般来说,220kV及以下的失灵配置母差保护来完成,而500kV3/2接线时,则由断路器保护完成失灵
失灵保护的动作条件
故障相失灵:按相对应的线路保护跳闸接点和失灵过流高定值都动作后,先经可整定的失灵跳本开关时间延时定值发三相跳闸命令跳本断路器,再经可整定的失灵跳相邻开关延时定值发失灵保护动作跳相邻断路器。
非故障相失灵的实现: 由三相跳闸输入接点保持失灵过流高定值动作元件,并且失灵过流低定值动作元件连续动作,此时输出的动作逻辑先经可整定的失灵跳本开关时间延时定值发三相跳闸命令跳本断路器,再经可整定的失灵跳相邻开关延时定值发失灵保护动作跳相邻断路器。
发变三跳起动失灵回路的实现: 由发、变三跳起动的失灵保护可分别经低功率因素、负序过流和零序过流三个辅助判据开放。三个辅助判据均可由整定控制字投退。输出的动作逻辑先经可整定的失灵跳本开关时间延时定值发三相跳闸命令跳本断路器,再经可整定的失灵跳相邻开关延时定值发失灵保护动作跳相邻断路器。
500kV开关失灵:开关的失灵保护是在开关保护里实现的,线路保护的分相跳闸命令来自操作箱的三相跳闸命令TJR开入至开关保护开关保护内部逻辑判断--过流判据(失灵高定值0.6A,失灵低定值0。4A),满足失灵条件时经第一时限0.13s跳本开关,0.2s跳相邻开关即SLJ触点闭合。
对于边开关来说,两个SLJ触点跳相邻中开关;两个SLJ触点起动母差失灵;另有四个SLJ触点开入至发信装置起动发信远跳。
三跳接点可以分为三种:
TJQ 三跳启动重合闸、启动失灵——目前基本没有什么用(单重);
TJR 三跳不启重合闸、启动失灵——母线保护、电抗器、失灵保护、远跳等的出口;
TJF三跳不启重合闸、不启失灵——非电量出口(不一致、本体等),三相不一致、瓦斯
TJQ为三跳继电器,不闭锁重合闸,在一些三跳三重的场合TJQ动作还是允许重合的。如果此时去启动远跳回路肯定是不合适。
TJR为永跳继电器,闭锁重合闸,往往母差保护及一些需闭锁重合闸的动作通过它来出口。TJR一但动作,肯定不能重合,用它来启动远跳回路。
220kV开关失灵:
1°线路开关失灵
线路开关的失灵保护由线路保护、开关保护、失灵保护共同实现的,线路保护的分相跳闸命令来自操作三相跳闸命令TJR和TJQ与开关辅助保护过流判据(失灵电流定值)串联,开入至失灵保护屏,经失灵出口短延时跳母联/分段,失灵长延时跳该母线上所连接的所有开关。
2°母联/分段开关失灵
母联/分段开关的失灵保护由母差保护实现的,来自操作的三相跳闸命令TJR开入母差保护屏,有母差保护经过流判据(母联失灵电流定值)实现失灵保护,满足失灵条件时经延时跳两条母线上的所有开关。
3°变中开关失灵
变中开关失灵有主变保护屏起动,借助失灵屏跳主变三侧。经内部逻辑判断后,开入之失灵屏的变中失灵中;同时主变保护屏的跳中压侧开关的命令开入至失灵屏解除复压闭锁;两者条件同时满足,使得保护元件和闭锁元件触电同时动作,从而实现联跳主变三侧。
2、自动重合闸
(前面已有提及)
3、三相不一致保护
定义:断路器只有一相或两相跳开,三相跳位开入不一致,非全相状态(此时系统中有零序/负序分量),它的控制字为“不一致经零序开放投”“不一致经负序开放投”,闭锁重合闸,不启动失灵(TJF)。
4、充电保护
充电保护由按相构成的两段两时限相过流和一段零序过流组成。充电保护动作后,起动失灵保护。仅在线路(变压器)充电时投入,充电正常后立即退出。
5、死区保护
死区保护是为开关CT间故障时,开关跳开并不能切除故障,此时,为减小这种故障对系统的影响而设置的比失灵保护动作更快的保护。
动作逻辑为:当装置收到跳闸信号和TWJ信号,且死去过流元件动作仍不返回,受死区保护投入控制经整定延时起动死区保护,出口回路与失灵一致。(动作延时更小)
1°CT和开关之间
2°死区保护与失灵保护公用出口
3°动作时间比失灵保护动作快
动作条件:三相跳闸接点;三相跳位;死区电流动作;死区延时
对于3/2接线,
6、跟跳
单相跟跳:收到线路保护来的A/B/C单相跳闸信号,并且相应的高定值电流元件动作,瞬时分相跳闸。
两相跳闸联跳三相,收到而且仅收到线路保护来的两相跳闸信号,并且任一相的高定值电流元件动作,经15MS延时联跳三相。
三相跟跳:收到三相跳闸信号,并且任一相的高定值电流元件动作,瞬时三相跳闸出口。
04
主变保护
1)瓦斯保护
反应于油箱内部所产生的气体或油流而动作,它可防御变压器油箱各种短路故障和油面的降低,切具有很高的灵敏度。瓦斯保护有重轻之分,一般重瓦斯保护动作于跳开格策开关,轻瓦斯保护动作于信号。
2)纵联差动保护和电流保护
用于防御变压器绕组和引出线的各种相间短路故障、绕组的匝间短路故障(不能反映绕组很少的匝间短路故障)以及中性点直接接地系统侧绕组和引出线的单相接地短路。
纵差保护存在的问题:1°变比不同、分接头位置不同以及电流互感器的励磁特性不同,均会引起偏差,一般可以通过增设平衡绕组或改变微机保护的算法来补偿。2°励磁涌流,正常时,由于励磁电流很小,影响可不及,但在空载或者外部故障切除后电压恢复时,会有很大的励磁涌流,并且这种电流只流过电压器绕组的其中一侧,将会引起很大的差流,引起误跳闸,可以通过二次谐波量和间断角等识别励磁涌流。
3)反映外部相间短路故障的后备保护
对于外部相间短路引起的变压器过电流,同时作为变压器瓦斯保护、纵联差动保护的后备保护,可采用的保护有过电流保护、低电压起动的过电流保护、复合电压起动的过电流保护、负序电流及单相式低电压起动的过电流保护以及阻抗保护等。
4)反应外部接地短路故障的后备保护
对中性点直接接地电力网中,有外部接地短路引起过电流时,如变压器中性点接地运行应装设零序电流保护。零序电流保护可由两段组成,每段可各带两个时限,并均以较短的时限动作于缩小故障影响范围,或动作于本侧断路器,以较长的实现动作于断开变压器各侧断路器。
5)过负荷保护
过负荷延时动作于信号,无人站必要时可动作于自动减负荷或跳闸。
6)过励磁保护
大型变压器需装设过励磁保护,由于变压器铁心中的磁通密度B与电压/频率比U/f成正比,因此当电压升高和频率降低时会引起变压器过励磁,铁耗增加、发热,严重时甚至引起绝缘损坏。
7)其他非电量保护
本体和有载调压部分的油温保护、压力释放保护、风冷保护、过载闭锁有载调压保护。
05
母线保护
断路器套管及母线绝缘子闪络、母线PT故障、运行人员的误碰误操作均会引起母线短路故障。
母线故障的保护方法:根据电压等级的不同,对于35kV及以下母线,一般利用母线相连元件的保护装置来切除故障(比如过电流保护),即不单独设置母线保护;而对于110kV及以上的母线,涉及到的负荷相对更大,这是为保证供电的可靠性,应该有选择性地切除任一组母线上的故障,并且另一段无故障母线仍能继续运行,这是就配置专用的母线保护。
母线保护是以CT为分界点的,这也是因为母线保护按差动原理构成有关。因为差动保护能满足速动性和选择性的要求。
母线差动原则:
1°区外故障时,母线所连支路中流入和流出的电流相等;
2°区内故障时,所有的电流几乎流向短路故障点,此时,流入和流出的电流不相等。
3°从相位上来看,区外故障时,至少有一条支路的电流相位和其他支路相反;而区内故障时,由于电流都流向故障点,此时电流都是同相位的。
完全差动和不完全差动:
不完全差动需,1)躲开外部短路时产生的不平衡电流;2)躲开母线连接元件中,最大负荷支路的最大负荷电流,以防止电流二次回路断线时误动。
母线不完全差动保护只需将连接于母线的各有电源元件上的电流互感器,接入差动回路,在无电源元件上的电流互感器不接入差动回路。因此在无电源元件上发生故障,它将动作。电流互感器不接入差动回路的无电源元件是电抗器或变压器。
双母线接线方式的大差和小差
双母线固定连接方式的完全电流差动保护:由三组差动保护组成,1M小差动,2M小差动,1M、2M大差动。
有大差之后,在母线运行方式发生变化时,由于小差通过大差闭锁来动作开关,可以有效闭锁区外故障时差动保护误动作。
同样,在运行方式发生变化时,对于区内故障,会由大差继电器首先动作于母联开关,然后,小差I 、II继电器均有故障电流时会跳开两条母线。此种情况下会扩大停电范围。
母联电流相位比较式差动保护:第一部分,进线和出线电流总电流继电器KA;第二部分,总差流,母联断路器电流和相位比较继电器KP。正常或区外故障时,KA不启动,不会误动;区内故障时,由KA判断区内故障,由KP判断故障母线。这种方式的缺点在于单母线运行时,需配置另一套单母线运行保护。
举例说明母差动作:

1、如果变电站A中母差保护动作(母线故障),开关1跳开,对侧的开关2会跳开吗?如果跳开的话,是不是通过变电站A母差保护操作箱中TJR发的远跳命令呢?
2、如果变电站A中母差保护动作(母线故障),开关1拒跳,对侧的开关2会跳开。以前的培训说的是,母差保护动作,开关拒动会停信(闭锁式保护),使开关2跳开。我在想,如果母差保护动作就会启动操作箱中TJR发远跳命令的话,就用不着停信使开关2跳开了。
准确的说是母差保护跳令发送至操作箱的TJR继电器,TJR除跳闸,启动失灵外,同时给保护的"远跳开入"回路发一个开入,保护接到"远跳开入"开入量后,就向对侧保护发远跳命令,使对侧断路器跳闸。
所以说根本的东西在于保护是否接到"远跳开入",如果接到了,就会向对侧保护发远跳命令。如果接线正确,不论开关是否拒跳,都会有:母差跳闸=>启动TJR=>保护收到远跳开入=>对侧断路器跳闸(是否经启动控制要视控制字而定)。
TJQ为三跳继电器,不闭锁重合闸,在一些三跳三重的场合TJQ动作还是允许重合的。如果此时去启动远跳回路肯定是不合适。
TJR为永跳继电器,闭锁重合闸,往往母差保护及一些需闭锁重合闸的动作通过它来出口。TJR一但动作,肯定不能重合,用它来启动远跳回路。
本侧母差都动作了说明是母线故障,本侧开关跳开,现在如果线路保护是光纤纵差保护,母差保护动作启动TJR,TJR一副接点去启动远跳让对侧结合控制字是否需经本侧启动控制直接跳闸或者是远传结合本侧就地判据出口跳闸,本侧开关已经跳开,为了更快的隔离故障让对侧也跳闸也不会有什么负荷损失,像以前母差保护动作停信是针对闭锁式高频保护,CT与开关之间的故障,本侧母差保护动作跳开本侧开关,由于高频保护未能来得及动作,在本侧开关跳开后,故障点的电流由对侧流过来,对于本侧保护来说是反方向故障,保护会发信闭锁对侧的高频保护使得高频保护不能跳闸,由于对侧的距离一段只能保护线路全长的80%,只能由距离二段切除故障,距离二段时间较长会使故障扩大,所以必须让本侧母差保护动作让本侧保护停信好让对侧高频保护动作快速切除故障。
母差动作和失灵动作的不同
母差保护跳各种元件都是瞬时的,因为其判据简单且母线故障对系统稳定性影响极大。对于失灵保护而言,回路及判据相对复杂且一旦动作停电范围大,因此动作相对保守。这也是为什么失灵动作跳其它断路器要有延时的目的之一,尤其是现在保护双套配置的情况下,我们完全有理由在出现断路器失灵起动量(保护动作接点+电流判别元件)寄希望于其它保护动作切除故障。因此,衡量了误动以及延时动作两者的危害后,延时跳开其它断路器是可以接受的。同时考虑到切除母联断路器一般情况下并不影响供电,因此母联断路器的切除时间可以更短些。但是因为判断断路器失灵不得不考虑保护动作时间和断路器动作时间以及整定计算上要考虑的时间最小级差的问题,因此跳开母联断路器也是要有短延时的,只不过这个时间可以比跳开其它断路器的时间更短些。
06
相关补充
1、 对称分量法
对称分量法电工中分析对称系统不对称运行状态的一种基本方法。广泛应用于三相交流系统参数对称、运行工况不对称的电气量计算。
通俗的讲,对称分量法是人为地将ABC三相的电气量(电压、电流)按对称分量法进行拆分,进而得出正序、负序、零序分量。
当前世界上的交流电力系统一般都是ABC三相的,而电力系统的正序,负序,零序分量便是根据ABC三相的顺序来定的。
正序:A相领先B相120度,B相领先C相120度,C相领先A相120度。
负序:A相落后B相120度,B相落后C相120度,C相落后A相120度。
零序:ABC三相相位相同,哪一相也不领先,也不落后。
系统里面什么时候分别用到什么保护(正序负序零序)?
三相短路故障和正常运行时,系统里面是正序。
单相接地故障时候,系统有正序、负序和零序分量。
两相短路故障时候,系统有正序和负序分量。
两相短路接地故障时,系统有正序、负序和零序分量。
正常运行的电力系统,三相电压、三相电流均应基本为正相序,根据负荷情况(感性或容性),电压超前或滞后电流1个角度(Φ),如图1。

对称分量法是分析电力系统三相不平衡的有效方法,其基本思想是把三相不平衡的电流、电压分解成三组对称的正序相量、负序相量和零序相量,这样就可把电力系统不平衡的问题转化成平衡问题进行处理。在三相电路中,对于任意一组不对称的三相相量(电压或电流),可以分解为3组三相对称的分量。
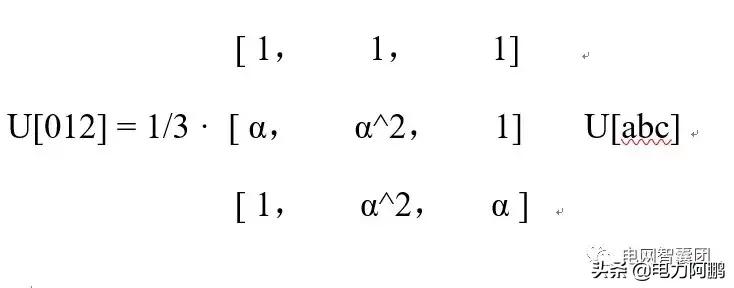
当选择A相作为基准相时,三相相量与其对称分量之间的关系(如电流)为:
IA=Ia1+Ia2+Ia0--------- [1]
IB=Ib1+Ib2+Ib0=α^2 Ia1+α Ia2 + Ia0--------- [2]
IC=Ic1+Ic2+Ic0=α Ia1+α^2 Ia2+Ia0 -----------[3]
对于正序分量:Ib1=α^2Ia1 ,Ic1=α Ia1
对于负序分量:Ib2=αIa2 ,Ic2=α^2 Ia2
对于零序分量:Ia0=Ib0 = Ic0
式中,α为运算子,α=1∠120°,有α^2=1∠240°,α^3=1, α+α2+1=0
由各相电流求电流序分量:
I1=Ia1= 1/3(IA +α IB +α^2 IC)
I2=Ia2= 1/3(IA +α^2 IB +α IC)
I0=Ia0= 1/3(IA +IB +IC)
以上3个等式可以通过代数方法或物理意义(方法)求解。
求解正序电流,应过滤负序分量和零序分量。参考图2,
图2:正序、负序、零序相量(以电流为例)

B逆时针旋转120°、IC逆时针旋转240°后,3相电流相加后得到3倍正序电流,同时,负序电流、零序电流被过滤,均为0。
故Ia1= 1/3(IA +αIB +α2 IC)
对应代数方法:[1]+α [2]+α^2 [3]
易得:Ia1= 1/3(IA +α IB +α^2 IC)。

1、 零序保护(线路)
线路零序电流保护是反映线路一端零序电流的保护。由于它无法区分本线路末端和相邻线路首端的短路,为了在相邻线路只能靠其他带延时切除故障,需做成多段式保护。
构成多段式保护的两个条件:1)能区分正常运行和短路故障两种运行状态;2)能区分短路点的远近,以便在近处短路时以较短的延时切除故障,而在远处短路时以较长的延时切除故障,以满足选择性的要求。
各段的配合
零序I段:
①躲过下一段线路出口处单相或者两相接地短路时候出现的最大零序电流。
②躲开断路器三相触头不同期合闸时候所出现的最大零序电流。
两者比较取最大
零序II段:
与下一段线路的一段配合,即是躲过下段线路的第一段保护范围末端接地短路时,通过本保护装置的最大零序电流。
零序II段的灵敏系数要大于1.5,不满足的话要与下一段线路的II段配合,时限再抬高一个等级。
零序III段:
①与下一段线路的III段配合;
②躲开下一段线路出口处相间短路时所出现的最大不平衡电流。
两者比较取最大。
零序IV段
构成可靠的远后备
影响零序电流大小的因素:
1) 与接地故障的类型有关
单相接地和两相接地短路时流过短路点的零序电流计算公式:
一般情况下,两相接地短路的零序电流要大于单相接地短路
2) 与零序阻抗并且和正序阻抗有关(正序阻抗反映了系统的阻抗)
3) 与保护背后系统和对端系统中性点接地的变压器多少密切相关,系统中变压器中性点接地越多,Z0越小,零序电流越大。
零序方向继电器:通过判断正方向和反方向时零序电压和电流的夹角相反来判断,它的动作行为与负序电流无关,与过渡电阻无关,在系统振荡是也不会误动。
非全相运行期间的零序保护:
对于线路保护采用母线PT电压时,本线路非全相运行,纵联零序方向应退出,否则可能会误动作。
当线路保护用线路PT时,本线路非全相运行,线路纵联零序方向保护不会误动作。
三、短引线保护
短引线保护是在3/2接线方式下,线路(或主变)刀闸拉开而开关恢复运行时,为保护两个开关的CT间的一段引线(包括刀闸)而设置的保护。
短引线的投入一般要满足两个条件:1)刀闸的辅助触点,通过刀闸的常闭触点(或常开触点)来闭锁和投入短引线保护;2)短引线保护压板。此时,在整定值中差动保护投入控制字为“1”。
短引线保护根据电流差动原理,通过比率差动原理,当判断电流越限时,出口跳两端开关,这是与线路保护不同的地方(不跳对侧开关)。
4、压力释放保护
压力释放保护是变压器的非电量保护之一,当变压器内部发生故障时,变压器油和绝缘材料就会因高温产生大量的气体,变压器油箱内压力剧增,当压力达到压力释放器的动作值时,压力释放保护就会动作,起动变压器压力释放阀,以防止变压器油箱体破裂变形。
压力释放保护和重瓦斯保护不能相互替换,两者的动作机理还是有所区别。不同地方的变压器压力释放保护动作的对象不同,有的动作于发信,有的动作于跳闸。
对于茂名站来说,压力释放保护只动作于发信,不动作于三侧跳闸(不同),这种考虑在一定程度上是为了防止压力释放误动作。
压力释放保护作为一个辅助保护,只参考压力阀值而动作,与重瓦斯和差动保护的动作无直接关联。
5、复合电压闭锁过流保护(主变)
在主变保护中,差动、瓦斯保护是主保护,主变的过流保护是重要的后备保护,它不仅可作为变压器本身的后备保护,也可作为变压器中、低压侧母线及出线的后备保护,防止变压器外部故障长时间威胁变压器的绝缘,损坏变压器本体。
简单的过电流保护不能满足复杂系统和大容量变压器的定值计算中的灵敏度的问题,复合电压闭锁过流保护,解决了电流保护整定值过高、灵敏度不足等问题。
1)低电压元件,动作判据:动作值小于低电压元件整定值。
2)负序电压元件,动作判据:动作值大于负序电压元件整定值。
3)过流元件,任一相的电流大于过流定值。定值需躲过可能出现的最大负荷电流、负荷自起动(重合闸)的最大工作电流等来整定。两个电压元件是或的关系,加上过流元件满足条件,就满足复合电压闭锁过流保护出口条件了。
具体来说,对于不对称短路故障,负序元件能有很好的灵敏度;而对于三相短路时,负序电压不满足条件,但是三相电压均会降低,满足低电压元件动作条件。因此,对于各种故障,均有很好的灵敏度。
方向闭锁的复合电压闭锁的过流保护,具有两时限出口,第一时限出口跳分段开关;第二时限跳主变各侧开关。
6、间隙保护
在讨论间隙保护之前,首先一个问题是中性点接地的问题。不同电压等级的系统,中性点接地方式是不同的。
在我国,中性点接地方式有三种:中性点不接地、中性点经消弧线圈接地、中性点直接接地。
1)对于低压系统,采用中性点不接地方式。此种方式下,正常运行是各相对低电压为相电压;在发生单相接地(金属性接地)故障时,未故障的两相对地电压上升到线电压(如果是高阻接地,则位于相电压和线电压之间)。在接地故障时,系统的线电压的对称性并没有破坏,此时,仍可以持续运行1~2小时。这种方式的缺点是未故障相对地电压升高,系统的绝缘水平需要线电压考虑。
2)对于3~60kV系统,采用中性点经消弧线圈接地。相对中性点不接地系统,中性点经消弧线圈接地的系统电压等级更高,系统容量更大,当发生单相接地故障时,接地电流较大,电弧不容易熄灭。为解决这个问题,便引入了消弧线圈。消弧线圈为一个电感线圈,按补偿程度来分,可以分为欠补偿、过补偿、全补偿。
1°欠补偿:补偿后的电感电流小于电容电流,此时,如果电网因为故障或其他原因切除部分线路后,网络的对地电容减小,有可能引起系统达到或接近全补偿而造成串联谐振。
2°过补偿:补偿后电感电流大于电容电流,这是电网普遍采取的方式,此时,流过接地点的是电感电流,熄弧后故障相电压恢复较慢,不易重燃。它的缺点是系统发展和扩大时,对地电容增大,可能会由过补偿变为全补偿或欠补偿,因此,在电网扩建是,需重新评估是否仍为过补偿。
3°全补偿:一种静态理想方式的补偿,会引起串联谐振,实际中不采用。
3)对于高电压,远距离的输电,采用中性点直接接地方式。因为此时消弧线圈已不能满足要求。在直接接地方式中,单相故障时,故障相通过中性点与大地形成回路,故障电流很大。此时,通过继电保护来切除故障(单重),不会产生稳定电弧,而非故障对地电压也只会短时升高后迅速回到相电压,对系统的绝缘水平要求相对降低(高电压系统对绝缘要求本来就很高,运行维护成本因此升高)。
从以上分析可以看出,中性点接地方式,是综合考虑了系统的供电可靠性、过电压、继点保护要求等方面。
同时,需明白系统接地和主变接地是两个概念
同理,对于直接接地系统来说,变压器中性点接地点的数量也是有考虑的。
系统不接地,意味着同一电压等级的变压器中性点全不接地,此时,由于变压器的绝缘为半绝缘,发生短路故障时,中性点承受很高的零序电压,可能发生绝缘击穿损害。
变压器中性点接地数量太多,会使零序接地阻抗变小,发生接地短路时,零序电流很大,有可能造成越级跳闸,此时,若将零序保护值整定值变大,则牺牲了灵敏性,可能造成拒动。
因此,一般系统整定合适的变压器直接接地点,其他的中性点用间隙保护来实现。
间隙保护是变压器中性点间隙接地保护装置的简称。
间隙保护的优点是结构简单、可靠、运行维护量小。在工频、操作和雷电过电压下都可对变压器进行保护。缺点是在三种过电压这样大范围保护配合参数确定较为困难,放电分散性大,保护特性一般,工频续流较大,灭弧能力较差,而且间隙动作会产生截波,对变压器本身的绝缘也不利。靠继电保护切除故障,在系统的不对称接地端路故障时有较大和较长时间的工频零序电流冲击主变压器。
*截波:波前很陡的电压波俗称为截波,一般发生在回路突然开断产生的过电压、以及由于回路故障产生的过电压等。
*工频过电压:(power frequencyovervoltage)指系统中由线路空载、不对称接地故障和甩负荷引起的频率等于工频(50 Hz)或接近工频的高于系统最高工作电压的过电压。
6.1 变压器中性点放电间隙的知识
1)现在的变压器多采用分级绝缘,一般中性点绝缘较低,在小电流接地系统和大电流接地系统的主变中性点不接地是,为保护主变中性点绝缘不被击穿,设置了放电间隙,并配置间隙零序电流保护。 它和中性点接地装置及中性点避雷器三者的作用都是保护变压器中性点绝缘,防止过电压,它们的关系是:
当中性点刀闸接地时,放电间隙与避雷器均不起作用;
当中性点刀闸断开后,放电间隙与避雷器有一个互相配合关系,也就是当中性点电压逐渐升高到一定电压值时放电间隙先击穿,如此时电压降低,则避雷器就无需动作了,如电压继续升高,则避雷器就要动作。放电间隙的作用就是防止避雷器的频繁动作,以延长避雷器的寿命。
2)防止接地变跳闸后,高压侧故障中性点出现危险过电压;
3)110KV及以上系统中性点的间隙保护主要是:为了防止过电压!因为在这种电压等级的设备由于绝缘投资的问题所以都采用分级绝缘,在靠近中性点的地方绝缘等级比较低。如果发生过电压的话会造成设备损坏,间隙保护可以起到作用,但是又由于中性点接地的选择问题一个系统不要有太多的中性点接地,所以有的变压器的中性点接地刀闸没有合上(保护的配置原因)。在这时候如果由于变压器本身发生过电压的话就会由间隙保护实现对变压器的保护,原理就是电压击穿,在一定电压下他的间隙就会击穿,把电压引向大地。间隙保护可以起到变压器绕组绝缘的作用,当系统出现过电压(大气过电压、操作过电压、谐振过电压、雷击过电压等)时,间隙被击穿时由零序保护动作、间隙未被击穿时有过电压保护动作切除变压器。
4)满足保护的灵敏度要求;
5)防止合闸不同期等情况造成的过电压,损害绝缘;
6)所谓保护间隙,是由两个金属电极构成的一种简单的防雷保护装置。其中一个电极固定在绝缘子上,与带电导线相接,另一个电极通过辅助间隙与接地装置相接,两个电极之间保持规定的间隙距离。
在正常情况下,保护间隙对地是绝缘的,并且绝缘强度低于所保护线路的绝缘水平,因此,当线路遭到雷击时,保护间隙首先因过电压而被击穿,将大量雷电流泄入大地,使过电压大幅度下降,从而起到保护线路和电气设备的作用。
6.2间隙过流/过压保护和零序过流保护的区分:
与大电流接地系统相连的变压器需配置反映单相接地短路的零序过流保护,电流取自中性点专门的CT。零序过流保护分两段,整定时与相邻线路的零序电流保护配合。其Ⅰ段定值与线路零序电流保护的Ⅰ段相配合,Ⅱ段与线路零序保护的末段保护相配合。
中性点不接地的变压器采用间隙过流和间隙过压保护,主要用来保护变压器中性点的绝缘。间隙保护不是后备保护,其动作电压和动作电流不需要与其他保护配合。间隙TA的变比要小,电流整定值一般要小于零序过流保护的定值。
零序过流和间隙保护不能同时投用。一般中性点刀闸自身带有辅助节点闭锁的功能,当刀闸处于合闸位置时,间隙保护会自动退出。
在主变中性点地刀合上时,一般需将间隙过流保护退出,一面造成间隙保护误动;而在中性点地刀拉开时,间隙保护投入,此时,尽管零序过流比间隙过流的整定值大得多,但由于间隙电流性质不稳定,可能误触发了零序电流出口。
6.3保护动作跳闸:
在中性点直接接地的电网中,如变压器中性点直接接地运行,对单相接地引起的变压器过电流,应装设零序过电流保护,保护可由两段组成,其动作电流与相关线路零序过电流保护相配合。每段保护可设两个时限,并以较短的时限动作于缩小故障影响范围,或动作于本侧断路器,以较长时限动作于断开变压器的各侧断路器。
变压器中性点不接地运行时可能出现的中性点过电压,在变压器中性点应装设放电间隙。此时应装设用于中性点直接接地和经放电间隙接地的两套零序过电流保护。此外,还应增设零序过电压保护。当变压器所接的电力网失去中性点,又发生单相接地故障时,此电流电压保护动作,经0.3S~0.5S时限动作于断开变压器各侧断路器。
7、备自投
备用电源自动投入装置在电力系统发生故障导致变电站失去工作电源时,自动将备用电源投入使变电站设备继续运行,简称备自投。
常见的备自投有三种:进线备自投、分段备自投、变压器备自投。
以进线备自投为例分析:
正常运行时,本侧QF1、QF3合位,QF2分位,此时,1号线路供电,2号线路备用。
备自投充电条件:①I、II母均三相有压;②当“检2号线路电压”控制字投入时,2号线路有压;③QF1、QF3合位,QF2分位。
放电条件:①2号线路失压;②手合QF2;③手跳QF1或QF3;④外部闭锁开入;⑤QF1、QF2、QF3的KCT异常;⑥整定控制字不允许2号进线断路器自投。
动作过程:充电完成后,若I母、II母均无压,线路1无流,2号线路有压,则备自投装置启动,经延时发令跳QF1,确认QF1断开后,发令合闸QF2,此逻辑称方式1.若2号线路为工作电源,1号线路作为备用,逻辑与此类似,称为方式2。
充电完成后,若没有放电情况发生,则备自投装置一直处于准备状态。
线路1的线路上某点发生故障时,对端变电站1QF跳闸,导致本站两条母线均无压,1号线路无流(检测电流是预防TV断线导致两条母线均无压时发生误动),备自投启动后,跳闸QF1以隔离故障点,确认QF1断开后(若发生未断开,备自投停止后续动作),合闸QF2。
*注意检测电压,分清母线电压和线路电压。
对于内桥接线方式,任何主变保护动作都不需要闭锁进线备自投。
8、分相式电流差动
差动保护原理是根据基尔霍夫定律,即流向一个节点的电流之和等于零。
电流差动具有天然的选相功能,同时,能很好的地解决同塔架设的跨线异名相故障问题。
电流差动的判据一般是比率差动判据,一个为和电流,一个为差电流,两个电流需同时满足条件才跳闸。
在一侧开关手合,另一侧开关分闸时,需闭锁保护动作;
分相电流差动和差动的不同之处在于“允许”或“闭锁”信号的不同。差动保护动作出口,一般要满足以下几个条件:
(1)保护起动;
(2)收到允许(或闭锁)信号;
(3)正方向(即区内故障);
所谓的的“允许”或“闭锁”信号就是保护装置动作出口,要收到对侧信号,如果装置是允许式逻辑,则须收到对侧发的“允许”信号;闭锁则收到“闭锁”信号,才满足条件2,这里比较闭锁式和允许式的优缺点:闭锁保护式逻辑可能在通道故障时误动,这是因为,通道故障收不到对侧闭锁信号,这时,只需满足条件(1)和(3),保护就会出口;同理,允许式则可能拒动,即通道故障时,不能收到对侧允许信号,则保护不会出口。
需要说明的是,现在的保护一般用允许式,这和以前有所不同,因为现在的通道是光纤双通道,通道传输快并且可靠,而以前用载波通道,则一般用闭锁式,防止线路故障时,由于通道的原因而拒动。
而对于是否为分相式,就是在这个“允许”或“闭锁”信号是发线路跳闸,还是某一相跳闸。以允许式为例,分相式保护由对侧发某一相跳闸信号,本侧收到信号后,根据本地判据,如果判断故障相相同,并且其他条件也满足,则动作出口,否则不出口;而不分相的话,则对侧只会发跳闸信号,本侧结合自己的判断跳某相或三相,然后出口。
差动保护简单可靠,并且动作快。影响差动保护动作性能的主要有以下几个因素:
1、电流互感器的误差和不平衡电流;(提高启动值)
2、长距离超高压输电线路的电容性电流;(提高启动电流值(牺牲灵敏度);加短延时(牺牲快速性);必要是进行电容电流补偿。)
3、(短路时)电流互感器饱和;(抗饱和设计)
4、二次回路断线(通过本侧和对侧的闭锁)