6月8日,教育部官网公示2016年全国青少年校园足球特色学校及试县(区)遴选结果名单。
据了解,全国4755所中小将被认定并命名为“全国青少年校园足球特色学校”,另外全国31个县(区)被认定并命名为“全国青少年校园足球试点县(区)”。
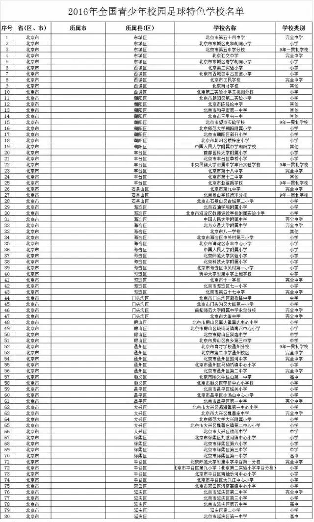
其中,五十四中等80所北京中小学榜上有名,其中东城5所,西城5所,朝阳9所,海淀15所,丰台6所,石景山3所,门头沟4所,房山4所,通州5所,顺义2所,昌平3所,大兴5所,怀柔4所,平谷4所,密云1所,延庆5所。继去年延庆成为全国青少年足球试点县(区)后,今年海淀区入围“全国青少年足球试点区”。
-------------------------------------
教育部关于公示2016年全国青少年校园足球特色学校及试县(区)遴选结果名单的通知
为深入贯彻落实《中国足球改革发展总体方案》《教育部等6部门关于加快发展青少年校园足球的实施意见》精神,根据《教育部办公厅关于做好2016年全国青少年校园足球特色学校及试点县(区)遴选工作的通知》(教体艺厅函〔2016〕2号)要求,在有关单位自主申报、省级教育行政部门审核推荐的基础上,我部组织专家对各地申报推荐的特色学校和试点县(区)进行了综合认定。拟认定并命名北京市第五十四中学等4755所中小学校为“全国青少年校园足球特色学校”,北京市海淀区等31个县(区)为“全国青少年校园足球试点县(区)”。现将有关名单进行公示,公示时间为2016年6月8日—6月15日(可根据发布时间算起顺延)。(完整名单可查看教育部官方网站;下图为80所北京市入围的中小学名单和全国31个入围试点县(区),点击可看大图)

2016年全国青少年校园足球试点县区名单

编辑| 寂静之声
声明| 部分内容来源于教育部官网,“京城教育圈”进行内容补充和编辑,转载须注明出处
图片来源|网络