一 以太的历史与理论
“以太”(aether)这个词源于希腊,现在所知它最早的出处在亚里士多德的《物理学》一书中:“因此地在水中,水在空气里,空气在以太里,以太在宇宙里。但宇宙再不能在别的事物里了。”亚里士多德把以太当做第五元素引入,认为它是一种不变的完美物质,月上世界就是由以太组成的。
亚里士多德之后,笛卡尔第一个赋予以太一种力学性质。他认为宇宙中充满以太,能够传递力和施加力于“浸在”其中的物体之上。他用以太的旋涡来说明天体的运动,他的追随者据此来反对牛顿的超距作用。波义耳相信笛卡尔的以太说。
牛顿也在另外一种意义上使用以太这个概念。他提出以太可能伴随引力作用、电磁现象和热辐射的传播,但是认为,“光既非以太也不是它的振动,而是从发光体传播出来的某种与此不同的东西”。
现在我们一般所指的以太理论是牛顿之后的200多年里发展起来的。17世纪到19世纪末,科学家们为了寻找一种力学模型来解释光学现象,由此而发展出来一套以太理论。
我们知道在光学发展历史上有所谓的微粒说和波动说之争。微粒说认为光是一种服从力学定律的微粒流,这种微粒打在人的眼睛上引起光的感觉。波动说认为光是一种以波动形式在空间传播的机械波。笛卡尔是提出微粒说的第一人。1637年笛卡尔在《屈光学》中提出一种光学模型,把光看做是由一种弹性媒质传递的压力:“……光不是别的东西,而是一种极稀薄的物质中所含有的某种运动或作用,这种物质充塞其他一切物体的毛孔·……”
后来牛顿也支持微粒说,指出光微粒是按照力学定律沿着直线飞行的。牛顿由于在力学方面取得伟大成就而享有崇高威望,因此对光的微粒说产生了很大影响。牛顿认为光的反射和一个弹性小球在遵守入射角等于反射角的条件下撞击一个平面时的反弹相类似。对光的折射,牛顿用折射介质对光微粒的吸引力来解释。由于这种吸引力,当光微粒从第一种介质进入第二种介质时,它的速度要发生改变,在较密的第二种介质中比在第一种介质中的速度要大(1850年法国物理学家傅科用实验证明作为密介质的水中的光速小于空气中的光速)。
当勒麦(Olaf Romer,1644-1710)于1676年第一次测出光速后,人们对牛顿的微粒说产生了一定的怀疑。一颗微粒竟能以如此巨大的速度在空中飞行,那是不可思议的。但是微粒说仍然成功地解释了光的直线传播和偏振现象,解释光的折射虽然有些牵强,但能成功地解释反射定律。所以微粒说仍有生命力。
波动说则是从另外一个方面来思考光学的性质。意大利物理学家格里马第(F. M. Grimaldi,1618-1663)在1660年发现了光的衍射现象,首次揭示了光的波动性质。1667年胡克(R. Hooke,1635-1703)指出笛卡尔的微粒说不能解释颜色,认为光完全是以太的纵向振动,其振动频率决定了光的不同颜色。在这里以太已经不是笛卡尔、牛顿意义上的以太了。

惠更斯
1678年惠更斯(C. Huygens,1629-1695)完成《光学》(1690年出版)一书,在他的书中指出,必须把光振动看做是在特殊介质——以太中传播的弹性脉动,而无论在物体内部或在物体之间,以太浸透在全部空间内,填满任何物质质点之间的空隙,而这些质点就像淹没在以太的海洋中一样。惠更斯成功地解释了光的折射现象,他推导出的折射率后来被傅科的实验证实。但是他假设光是纵波,无法解释偏振现象,也不能解释光的直线传播。

托马斯.杨
以后微粒说和波动说各有笃信者。到了19世纪,波动说有了决定性的进步。英国物理学家托马斯·杨(Thomas Young,1773-1829)发现光的干涉现象,并用振幅叠加原理明确地解释了干涉现象。在1801、1802和1803年,他连续三年向皇家学会宣读了他的论文。他认为“以太渗透到所有物质中时阻力很小或不受阻力,或许正像风通过树林那样自由”。杨氏理论很好地解释了薄膜的彩色条纹,并且用牛顿的数据确定了各种颜色的波长。尽管他一再声明他的观念正是来自牛顿的研究,还是受到了严厉的攻击。

菲涅耳
1815年法国物理学家菲涅耳(A.J. Fresnel,1788-1827)在杨氏干涉理论的基础上补充了惠更斯的波动原理,把初级波的传播方式看成是相维激发出的一系列球面次级子波互相叠加和干涉而成,“一个光波在其任何一点上的振动,可以看作是同一时刻传到这一点的各个基元运动之和,这些基元运动是未受阻碍的波在其任何一个早先的位置上的所有各部分的分别作用引起的”,从而在波动说基础上解释了光的直线传播。按菲涅耳的说法,光波像在空气中传播的声波一样,也是纵波。“惠更斯一菲涅耳原理”成功地解决了波动说中光沿直线传播的难题,还解释了光通过障碍物时所发生的光的强度分布问题,亦即解释了光的衍射现象。
1808年法国军事工程师马吕斯(E. L. Malus,1775-1812)针对法兰西科学院的悬赏“给出双折射的数学理论,并用实验证实之”,对冰洲石的双折射现象进行了研究,发现双折射的两束光线的相对强度和晶体的位置有关,从而发现了光的偏振现象。这一现象跟惠更斯认为的光是以太质点的纵向振动的观点相抵触。
1811年菲涅耳和朋友阿拉戈(D. F.J.Amgo,1786-1853)做了一系列实验,以确定偏振对干涉的作用,发现偏振光通过晶体时产生丰富的彩色现象,的确与以太的纵向振动的观点相抵触。
托马斯·杨、菲涅耳等波动说的支持者为此绞尽脑汁。1817年杨提出光以太的振动也许是横向波,把光以太描述为一种横波就能够解释光的偏振现象。菲涅耳支持托马斯·杨的假设。但是这一假设仍然困难重重,许多理论需要重新建立。液体和气体中不能发生横向振动,所以必须把光以太描述成一种弹性刚体。当时对固体中的弹性振动还没有开展研究,杨和菲涅尔关于光以太的横波学说推动了对弹性固体的特性的研究。菲涅尔发展了对以太振动的一种力学描述方法,由此导出他关于反射光和投射光振幅的著名公式。他假定以太具有刚性,也就是具有抵抗形状扭曲的能力,这样以太才可能传递横向波。
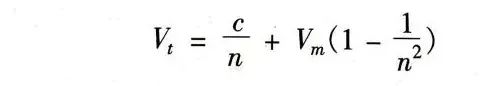
1818年菲涅耳在杨的想法基础上还提出,透明物质中以太的密度与该物质的折射率二次方成正比。他还假定当一种介质相对以太参照系运动时,其内部的以太只是超过真空的那一部分被介质带动(以太部分曳引假说),并得到运动介质内光的速度V,为

其中c为真空中的光速,n为运动介质的折射率,Va为介质的运动速度。1851年法国物理学家斐索在实验中证实该公式,因此该公式也被称做“菲涅耳一斐索公式”。
然而新的困难又来了,以太具有固体的弹性,那么物体如行星、彗星等何以能够自由地穿行其中而不受什么阻力?后来斯托克斯(G. G. Stokes,1819—1903)指出,像沥青和果子冻之类物质既有足够的刚性,能够承受弹性振动,又有充分的流动性,允许其他物体从中通过,尽管要走得很慢。而以太就是具有这种性质的物质。对于光的非常快的振动,它像弹性固体,但是对于行星这种慢得多的运动速度,它又像流体一样易于变形。
正当学者们对这些解释开始满意起来时,新的问题又出现了:既然以太是固体,为什么只有横向波,没有纵向波?对此也有各种各样的假设。1839年法国数学家柯西(A. Cauchy,1789—1857)提出以太具有负压缩性,从而使纵波速度为零,后来称该理论为“可缩理论”。格林(G. Green,1793-1841)则指出这样的以太是不稳定的,随时都倾向于收缩。为此威廉·汤姆生(W.Thomson,1824—1907)进一步发展了该理论,认为以太应像不含空气的泡沫,由于粘在固体上而维持不破。
1839年马克可拉(Jams MacCullagh,1809—1847)也提出,以太是一种与已知的弹性物质不同的新型弹性物质。他假设以太的各单元能够抵抗扭转应力,但不能扭转纵向应力。他的理论解释了许多光学现象,其以太理论方.程组的结果与麦克斯韦方程组在数学形式上很相似。威廉·汤姆生还给出了马克可拉的以太单元模型,他用四根棒将正四面体的四角和中心联结起来,每根棒作为一对反向旋转的陀螺飞轮的轴。此模型能抵抗所有转动扰动,但不能抵抗平移扰动。
至此以太理论发展到了它的顶峰。我们看到,引入以太的目的是为了用动力学的观点解释光的性质。1845年法拉第发现固体和液体在磁场中的旋光性(光的振动面发生旋转),首次发现光学过程与电磁过程之间存在联系。法拉第还发现电流强度的电磁单位与静电单位之比正好等于3×10¹⁰cm/s,即光速。从此以太概念开始被引入到电磁理论中来。

麦克斯韦
1861年麦克斯韦(Jams Clerk Maxwell,1831—1879)用电场和磁场的概念发展了法拉第的力线模型。按照法拉第的思想,整个空间都充满了由磁力线构成的磁力管,各磁力管都具有横向扩展和纵向收缩的性质,恰如旋转着的液体由于受离心力的作用,相对于转轴在横向扩展,在纵向收缩。
麦克斯韦设想,磁力管内充满了以太,而且都在作旋转运动,整个空间就被这样的以太旋涡所充满。但是这样挤得满满的以太旋涡自身不能很好地同时在同一方向旋转,因此麦克斯韦设想各旋涡之间夹有像滚珠轴承那样的粒子。在这样的模型中,磁场相当于旋涡的角速度,电场相当于旋涡发生形变时所产生的弹性力,电流相当于滚珠轴承的粒子的流动。麦克斯韦在数学上推导出一组解释这个模型的偏微分方程组,从而在理论上证明了电磁场能够作为一个横波在以太中传播,波的传播速度由介质的电学性质和磁学性质决定,光是一种以波的形式通过以太传播的电磁扰动。
1892年荷兰物理学家洛伦兹(H. A. Lorentz,1853-1928)又进一步把麦克斯韦理论和物质的原子结构结合起来,提出全部物质都是由以电磁场彼此联系着的正电子和负电子构成,几乎物体的全部特性(万有引力除外)都可以归结为由以太传递的电子的相互作用,从而综合了原子论、电子理论、电磁理论等,达到了经典物理学的最高阶段。
二 迈克耳逊-莫雷实验及其意义
1.实验内容
以上一切理论都假定存在着一种以太,以太的重要性是显而易见的。但是没有直接的证据证明以太的存在,这未免让人不放心。科学家希望在实验中找到以太。在这些寻找以太的实验中,最著名的一个就是迈克耳逊莫雷实验。
1879 年麦克斯韦在致美国天文年鉴局的托德的一封信中,提出了测定太阳系相对于传播光的以太的运动速度的一个方案。迈克耳逊(Albet Michelson,1852-1931)当时是一名美国海军军官,出于对光学的爱好,他接受了麦克斯韦的建议。迈克耳逊先单独做了一个实验,来测量地球穿过以太的效应,1881年他发表结果说没有发现地球相对于以太的可以检测的运动。几年后他又与一名化学教授莫雷(Edward Morley,1838-1923)合作,以更高的精度重复了这个实验,1887年公布了他们的实验结果,仍然是没有发现地球相对于以太的运动。
迈克耳逊-莫雷实验的思想基础是:如果以太真的存在的话,那么他们就可以测量到地球在以太中的运行速度;只要他们测量到了这个速度,以太就是一个绝对静止的参考系。在这个参考系中光速是均匀的,所以通过测量不同方向上光的视速度,比较它们的差异,就可以确定地球相对于以太的速度。
迈克耳逊-莫雷实验的原理如下图所示。光线从S出发在半镀银镜上分成两部分,一部分沿AB方向,一部分沿AC方向。光线又分别在B、C镜上被反射,会合后产生干涉条纹,由望远镜T观察。假设实验室坐标系存在沿C到A速度为v的以太风,那么相对实验室的光速,从A到C为 c - v,从C到A为 c + v,在AB和BA方向光速为√c² - v²。如果AB = AC = l,那么光在AB、AC间往返所需的时间分别为

光程差的改变相应于条纹移动数n为2
lv²/λc²。迈克耳逊-莫雷的实验长度为11米,波长等于5.9×10⁻⁷米。假定以太风就是地球绕太阳的轨道速度每秒30公里,那么n约等于0.37。0.37个条纹的移动在当时已经足够被观测到了。
为了保证精确,迈克耳逊和莫雷把实验仪器浮在水银上面,当仪器缓慢转动时连续读数。他们发现最大的位移不超过1%个条纹。实验无法观察到预期的0.37个条纹的移动。他们还在一天的不同时间和相隔六个月后重复做这个实验,均未发现任何条纹移动。对这个实验结果只有两种可能的解释:要么以太随着地球一起运动,而这将使以太变得毫无意义;要么根本没有以太这种东西。

迈克耳逊莫雷实验

迈克耳逊莫雷实验
迈克耳逊和莫雷如实地报道了他们的实验结果,但迈克耳逊没有意识到他所做的实验给出的结果所具有的重大意义,他称他的实验是一次没有给出预期结果的大失败。但是正是这个实验提醒人们,必须重新审查被视为“神圣”的经典物理学的根基。迈克耳逊为此而获得1907年的诺贝尔物理学奖,他也是获得此奖的第一位美国人。

迈克耳逊和爱因斯坦
2.挽救以太的尝试
迈克耳逊-莫雷实验的零结果大大震惊了当时的物理学家们,他们无法相信根本不存在以太这种东西,从惠更斯到麦克斯韦,他们的理论可全都是建立在承认有以太的基础之上的啊!为了维护以太理论,一些科学家又提出了各种不同的假设来解释迈克耳逊一莫雷实验的零结果。其中最著名的就是菲兹杰拉德和洛伦兹的假说。
1892年爱尔兰物理学家菲兹杰拉德(George FitzGerald,1851-1901)对迈克耳逊一莫雷实验的零结果提出了一种新奇的解释。他认为地球穿过以太运动,一切物体都要在它的运动方向上产生一定比例的收缩,即(1-/)12的收缩(p为物体与以太的相对速度,c为光速)。收缩的量随物体运动速率的增加而增加。按照这种解释,干涉仪在地球真正的运动方向上总要缩短一些,其缩短的长度正好补偿了光所经过的路程的差异。不仅如此,一切可能的测量装置,包括人的感官在内,都要以同样的方式相应地收缩。
后来,洛伦兹又把菲兹杰拉德的思想推进了一步。尽管当时人们认为菲兹杰拉德的长度收缩假设近乎荒唐,但是洛伦兹仍然把它纳入自己的理论中。他把麦克斯韦理论和物质的原子结构理论结合起来,从而提出了说明电磁场和物质相互作用的完善理论。洛伦兹大胆宣布:以太静止于绝对空间中。这就是说以太就是绝对空间;绝对空间并非真空,而是有着确定性质的东西,这东西就是以太。
洛伦兹发展了菲兹杰拉德的理论后,便试图用因果性关系来解释菲兹杰拉德的长度收缩假设。在他1904年发表的《以小于光速的任何速度运动着的体系中的电磁现象》一文中,收缩假设在最系统、最严密的形式下得到了阐述。洛伦兹把长度收缩归结为一种特殊的动力学过程,在他看来,相对于以太静止的物体,长度不会收缩,哪怕相对于观测者是运动的。可以说,洛伦兹的绝对收缩理论是在导致以太理论面临严重威胁的实验面前保持旧的传统的运动观念的最后一次尝试。
最后是爱因斯坦的相对论彻底抛弃了以太。爱因斯坦的天才智慧没有被麻烦的以太问题引向复杂化和推敲细节的歧途,他不像洛伦兹那样试图修改、填补已有的理论,而是把他的理论建立在两个主要假设之上,即相对性原理和光速不变原理,从而走向了把基本物理概念统一起来的简化道路。在爱因斯坦看来,以太带来的困难并非来自电磁理论本身的缺陷,而是起因于基本动力学原理的一个错误。既然电磁理论所预言的光速并不涉及介质,那么光速必定是一个普适常数,对于所有的观测者来说都具有同样的价值。因此,如果我们测量一个光源的光速,测得的结果总等于c,而与我们的运动状态无关。这个普适速度的概念无疑是一个大胆设想,它一反两千多年的传统,把人们的意识带入一个崭新的世界图景之中。在相对论里,长度收缩只与物体的运动速度有关,而与构成物体的材料无关,它是一种普遍的相对论运动效应,而不是一种特殊的动力学效应。
三 爱因斯坦和相对论
近代科学革命以来,物理学理论逐渐发展完善成三大支柱理论:牛顿力学、麦克斯韦电磁理论和统计热力学。而后两大支柱理论可以说是仿照牛顿力学的规范而建立起来的,是牛顿力学对电磁现象和热现象的解释。
19世纪的最后一天,欧洲著名的科学家欢聚一堂。会上英国著名物理学家、德高望重的开尔文勋爵致新年贺辞。他在回顾物理学所取得的伟大成就时说:“物理大厦已经落成,所剩只是一些修饰工作。”而在展望20世纪物理学前景时,若有所思地讲道:“动力理论肯定了热和光是运动的两种方式,现在它的美丽而晴朗的天空却被两朵乌云笼罩了,第一朵乌云出现在光的波动理论上,第二朵乌云出现在关于能量均分的麦克斯韦-玻尔兹曼理论上。”

出乎开尔文意料的是,这两朵乌云不久就酿成两场风暴,搅乱了整个经典物理学“美丽而晴朗的天空”。其中一场风暴就是爱因斯坦掀起的相对论革命,另一场风暴则是爱因斯坦也有所牵涉的量子论和量子力学革命。

索尔维会议
1.爱因斯坦生平
爱因斯坦(Albert Einstein,1879—1955)出生于德国乌尔姆的犹太人家庭,幼年迁居慕尼黑。1894年他父亲经商失败后去了米兰,爱因斯坦留在慕尼黑完成中学学业,但他的功课如拉丁文和希腊文很差,他只对数学感兴趣,所以老师劝他退学,并对他说:“爱因斯坦,你永远不会有多大前途。”于是这位后来登上科学史上最高峰的年轻人中途退学了。

在一次到意大利度假之后,爱因斯坦到了瑞士,较为费劲地进了一所大学。在学校他可能不能算一位好学生,一般课都缺席,只专心阅读理论物理学的书。他能各门课都及格是得益于一个朋友极好的课堂笔记。大学毕业后的工作也不好找,还是在借他笔记的朋友的父亲的帮助下,他在1901年进了瑞士伯尔尼专利局,谋得一个低级职员的职位。这一年他入了瑞士籍。
在专利局他也不是一个安心本职的职员,满脑子想的是当时理论物理学最前沿的问题。他的问题不需要实验室,只要铅笔、纸张和头脑。1905年是爱因斯坦成功的一年,也是科学史上有数几个特别的年份之一。这一年爱因斯坦在《德国物理学年鉴》上发表了五篇论文,包括物理学方面三项重要的发展。在这一年他获得了博士学位。

五篇论文中有一篇是关于光电效应的。在这篇文章中爱因斯坦发展了普朗克5年前提出的量子论,首次提出光量子的概念。1921年的诺贝尔物理学奖授予爱因斯坦,就是因为他在光电效应方面的杰出贡献。光电效应原理使电视等成为可能。
在两个月后的第二篇论文中,爱因斯坦给出了布朗运动的数学分析。根据爱因斯坦的布朗运动方程,可以求出分子的大小和构成分子的原子的大小,使得道尔顿提出原子论一百多年来人们首次可以得出原子大小的可靠数值。
这一年对以后世界影响最大的一篇论文是《论动体的电动力学》,这也就是后来被称为“狭义相对论”的第一篇论文。
1909年声誉渐著的爱因斯坦获得苏黎世大学的一个低薪教授职位。1913年在普朗克的帮助下,柏林威廉大帝物理研究所给予爱因斯坦一个待遇优厚的职位。1915年爱因斯坦在一篇通常称为“广义相对论”的论文中把相对论原理从惯性系推广到加速系中。广义相对论作出了三项科学预言,后来被一一验证。
爱因斯坦毫无疑问成了举世闻名的科学家,尽管大多数人包括很多科学家要理解他的理论还有点困难。然而他仍不能免遭德国纳粹势力的*害迫**。1930年爱因斯坦到美国加利福尼亚理工学院讲学,直到希特勒上台(1933年)仍在美国,以后再也没有回德国。爱因斯坦以后定居在新泽西州普林斯顿高级研究所,1940年成为美国公民。
他在生命中的最后10年致力于寻求一种能包罗万有引力和电磁现象的理论,也就是通常称为“统一场论”的理论。不过这个难题让爱因斯坦白白耗费了许多时间和精力,并平添许多苦恼,最终没有解决,而且至今也没有获得解决。

像牛顿反对光的波动说一样,爱因斯坦也对当时物理学的另一场革命——量子力学持否定态度。其实使得爱因斯坦获诺贝尔物理学奖的光量子学说是量子论早期的重要成果,但对量子力学的发展,爱因斯坦觉得它有悖于自己的一些物理学信念。例如他不接受海森堡的测不准原理——时间和能量不能同时完全精确地测定,1930年他提出一种假想实验来否定这条原理;玻尔在彻夜未眠后,第二天指出了爱因斯坦论据中的一个错误。
另外众所周知的是,爱因斯坦给美国总统罗斯福写信力劝其执行一项庞大的计划以研制原*弹子**,并终于实施了曼哈顿工程,在6年后造出了原*弹子**。而战后,他又为实现结束原子战的某种世界性协议努力到生命的最后。当时新近合成的第99号元素镶就是为纪念刚刚去世不久的爱因斯坦而命名的。
2.狭义相对论
迈克耳逊和莫雷寻找以太的实验失败了,菲兹杰拉德和洛伦兹试图挽救以太理论,但是爱因斯坦在《论动体的电动力学》中指出:“企图证实地球相对于‘光媒质’运动的实验的失败,引起了这样一种猜想:绝对静止这概念,不仅在力学中,而且在电动力学中也不符合现象的特性,倒是应当认为,凡是对力学方程适用的一切坐标系,对于上述电动力学和光学的定律也一样适用,对于第一级微量来说,这是已经证明了的。我们要把这个猜想提升为公设,并且还要引进另一条在表面上看来同它不相容的公设:光在虚空空间里总是以一确定的速度传播着,这速度与发射体的运动状态无关。由这两条公设,根据静体的麦克斯韦理论,就足以得到一个简单而不自相矛盾的动体电动力学。‘光以太’的引用将被证明是多余的,因为按照这里所要阐明的见解,既不需要引进一个具有特殊性质的‘绝对静止空间’,也不需要给发生电磁过程的空虚空间中的每个点规定一个速度矢量。”这里爱因斯坦敏锐地抓住了问题的关键:麦克斯韦电磁学方程组对于伽利略变换是不对称的、各向异性的,所以伽利略变换并不是真正反映伽利略相对性原理的数学表述,应该放弃。而真空中的光速在麦克斯韦电磁理论中又是一个不变的常数,光行差等天文观测也支持这一点。据此,爱因斯坦天才地提出了狭义相对论的两条基本原理即相对性原理和光速不变原理:一切物理定律在所有惯性系中是等价的;光在真空中的传播速度为一常数,与光源和观测者的运动状态无关。
爱因斯坦在论文中从对同时性问题的考虑出发,定义了相对论框架下的同时性概念,否定了牛顿的绝对时空,也否定了绝对同时的观念。在狭义相对论中,同一个惯性系有统一的时间,可以确定两个事件的同时性,但在不同的惯性系中没有统一的同时性。
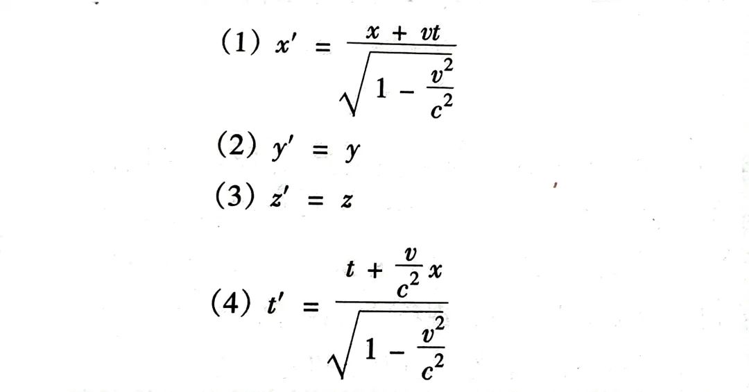
然后他从最基础的概念出发,推导出了狭义相对论框架内运动参考系之间的坐标变换。爱因斯坦假设惯性系K相对惯性系K”的运动速度为v(沿x轴),c为真空中的光速,则两个系统之间的长度和时间的变换公式为:

洛伦兹变换
虽然这是爱因斯坦独立推导出来的变换公式,但是其数学形式已经由洛伦兹在讨论绝对收缩时早一步给出,所以现在把这个变换叫做洛伦兹变换。
在洛伦兹变换下可以讨论运动物体的长度和运动时钟所指示时间的相对性问题。爱因斯坦先设想沿K'的x'轴放置一根米尺,令其一端与点x'=0重合,另一端与点x'=1重合。米尺相对于K系的长度为何?由洛伦兹变换易知,在t=0时两点间的距离在K系中是1、2,就是说以速度v运动着的米尺的长度是。1-米。可见,当v=c时,米尺的长度为零;v>c时,平方根是虚数。因此,在相对论中,任何实在的物体既不能达到也不能超过光速。爱因斯坦又考虑了放在K'的原点上的一个按秒报时的时钟。t'=0和t'=1对应于该钟接连两声滴答。洛伦兹变换的第一、第四方程给出t=0和t= 1 就是说从K来判断K'的1秒,实际上比1秒要长,因而该时钟走得慢了。这就是运动系的时间膨胀。显然当v=c时,时间停止了。这就是一般所称的“时钟悖论”。

郎之万
“时钟悖论”后来由法国物理学家朗之万(Paul Langevin,1872-1946)表述成更富戏剧色彩的“双生子悖论”。朗之万是较早接受相对论的科学家之一,爱因斯坦说过,如果他没有发现狭义相对论,朗之万将会发现。所谓“双生子悖论”就是:如果双胞胎兄弟中的一个留在地球,另一个去作星际旅行,飞船速度足够大,直线飞向一颗恒星再飞回地球,最后旅行者发现在他出门的两年时间里,地球已经度过了两个世纪。哲学家伯格森说,他正是听了朗之万1911年4月关于相对论的讲演,才唤起了他对爱因斯坦理论的注意。


质能方程
这就是狭义相对论中最著名的质能关系式。这个公式把质量守恒与能量守恒联系了起来,质量也可以看做是能量的一种存在形式。也正是这个公式在理论上预言了原*弹子**的可能性。1克煤全部燃烧大约产生7000卡热量,如果把一克煤的全部原子彻底崩裂,根据质能关系式,大约会产生2×10¹³卡热量,是燃烧产能的30亿倍。

曾经在苏黎世大学教过爱因斯坦数学的闵科夫斯基(Hermann Minkowski,1864—1909)是较早认识到相对论重要意义的人之一。1907 年闵科夫斯基在其《时间与空间》一书中对狭义相对论进行了重构,引进了四维时空的概念,取代了孤立的三维空间加一维时间的不相容概念,他还把相对论转化为现代张量形式,在相对论中引进专用术语,并明确指出:以相对论观点看,传统的牛顿引力理论已经不够用了。

但是,一开始爱因斯坦没有理解闵科夫斯基工作的意义,甚至认为把他的理论改写成张量形式是“多余的技巧”。但到了1912年,爱因斯坦终于转变过来了,1916年他以感激的心情承认闵科夫斯基使他大大简化了从狭义相对论向广义相对论的过渡。后来爱因斯坦着重强调了闵科夫斯基的贡献,他说,如果没有闵科夫斯基,广义相对论也许还在襁褓中。
3.广义相对论
爱因斯坦曾经说过,即使他没有来到这个世上,狭义相对论也会出现,因为时机已经成熟,但广义相对论则不然,他感到怀疑,如果他未建立广义相对论,它是否会出现在世人面前。广义相对论是在狭义相对论基础上的一次飞跃。当时的物理学家们正在慢慢领悟狭义相对论的精深含义时,广义相对论再一次把他们抛在后面。普朗克曾经以极大的热情欢迎狭义相对论,并成为爱因斯坦最早的支持者之一,他对爱因斯坦说:“现在一切都要解决了,你为什么还要招惹其他一些事呢?”爱因斯坦之所以这么做是因为他是一个天才,远远走在同代人的前面。他明白狭义相对论是不完满的,未能解决加速度和引力问题。
到1915年,爱因斯坦发表了比较完整的广义相对论理论,这个理论的建立基于三个主要问题的处理:引力、等效原理、几何学和物理学的关系。理论的核心就是新的引力场定律和引力场方程。在广义相对论中,爱因斯坦把相对性原理从匀速运动系统推广到加速运动系统,提出惯性质量同引力质量的等效性,也就是把加速系统视为同引力场等效。在他的场方程中,把包括加速系统的空间几何结构和引力场视为一体,成为几何的结果。广义相对论所用的几何就是非欧几何的黎曼几何。

引力场

爱因斯坦场方程
有人说,麦克斯韦在电磁场上做过什么工作,爱因斯坦在引力场也做过相同的工作。《不列颠百科全书》1922年版(第12版)的“相对论”条目中写道:“宇宙图画”的新情景不再是“三维空间中一片以太海洋的受迫振动”,而是“四维空间世界线的一个扭结”。
广义相对论提出了三项可供检验的预言,这就是 水星近日点异常进动 、 引力红移 和 强引力场附近的光线弯曲 。

水星近日点进动


水星近日点进动
水星近日点的伸展方向发生着缓慢的转动,这个现象叫做水星近日点进动。天文学家已经比较精确地测定了其进动速率为每100年133'20”。发生进动的主要原因是除了太阳的引力外,还存在其他行星的引力摄动。根据牛顿万有引力定律,可以推算出水星近日点的进动速率为每100年1°32'37”,这个数值与观测结果的差为每100年43”。在爱因斯坦之前,这一直是不解之迷。1916年爱因斯坦把这一现象解释为空间弯曲和光速变慢的结果。根据广义相对论,把太阳引力场看成是弯曲的空间,行星在此弯曲空间中的运动规律跟平方反比规律得到的结果有所差异,对于水星这个差异正好是43°! 在天文观测的误差范围内,广义相对论的预言跟观测结果符合得很好,从而合理地解释了一直得不到解释的水星近日点43”的进动,同时也验证了广义相对论。

红移

星体红移

引力红移

引力红移
根据广义相对论,光在引力场中前进时频率会发生改变,向红端移动。这是因为光子具有引力质量,受到恒星的牵引,它在引力场中升高,就要消耗一定的能量;光子的能量与频率成正比,如果能量损失,频率也就降低,频率降低就是波长加长,也就是谱线向红端移动。另外一种解释就是“时间在引力场中变慢了”,根据广义相对论,时钟在引力场中走得较慢,场越强时钟走得越慢,这就使得光在引力场中的振荡周期慢一些。1925年天文学家亚当斯发现了天狼星伴星的红移现象。该恒星是一颗大质量天体,引力场很强,其引起的红移量是太阳引力场中的20倍。亚当斯对天狼星伴星和波江座40双星中白矮星的红移现象的观测值与广义相对论的预言值符合得很好。上世纪60年代人们在地球引力场中证实了引力红移效应。

强引力场光线弯曲
前面两项验证中的第一项其实是对已知事实的解释,第二项确实是名副其实的预言,但从显著性、产生的轰动性和对广义相对论支持的及时性来讲,第三项光线弯曲的验证则更多了一番戏剧色彩。按照广义相对论,在强引力场附近,空间是弯曲的,光线在弯曲空间里走的最短路线不是一般意义上的直线,光的路径随着空间的弯曲而弯曲。太阳系引力场最强的地方莫过于太阳附近了,所以验证这一点的最好机会是观测太阳边上的恒星位置,然后在太阳不在这个天区时再观测恒星的位置,前后比较后,就可以确定结果了。在牛顿力学中,认为光子也有重量,那么光线通过太阳附近时也会发生偏折,根据牛顿力学计算出来的偏折角是0.87”,而广义相对论预言的结果是1.75”,正好比牛顿力学所得出的大一倍。是非对错只有靠实测来检验。
只有在发生日全食的时候才能看到太阳附近的恒星。爱因斯坦提出广义相对论的1915年,第一次世界大战刚进入第二个年头,科学家们也无暇去做天文实测。等到1918年大战一结束,1919年5月19日有一次绝好的日全食机会。英国科学家爱丁顿组织了两支考察队,一支到巴西北部,另一支由他亲自率领到几内亚湾的普林西比岛。两支考察队都拍摄了太阳附近星空的照片,过了两个多月后,再拍摄同一星空的照片,这时太阳已经离开了原来的天区。

爱丁顿
在1919年11月6日召开的英国皇家天文学会和皇家学会联合举行的大会上,天文学家罗伊尔宣布:“星光确实按照爱因斯坦引力理论的预言发生偏折。”第二天即1919年11月7日,历来谨慎的英国(泰晤士报)赫然出现醒目的标题文章——“科学革命”,两个副标题是“宇宙新理论”、“牛顿观念的破产”。11月8日《泰晤士报)接着刊登了题为“科学革命:爱因斯坦战胜了牛顿、杰出物理学家的观点”的文章,文中说“这件事成了下议院热烈讨论的话题”,物理学家、皇家学会会员、剑桥大学教授约瑟夫·拉摩“受到*攻围**,要求对牛顿是否被击败了、剑桥大学是否垮台了作出答复”。1919年12月14日《柏林画报》(Berliner lustrierte Zeitung)周刊的封面刊登了爱因斯坦的照片,并配上这样的标题说明:“世界历史上的一个新伟人:阿尔伯特·爱因斯坦。他的研究标志着我们自然观念的一次全新革命,堪与哥白尼、开普勒、牛顿比肩。”

爱因斯坦与爱丁顿
这项验证的公布,在其他各国也引起了强烈反响,媒体着实热闹了一阵子。爱因斯坦成了传奇人物。科学家、哲学家和历史学家们也纷纷就相对论发表评论。1921年爱因斯坦去伦敦,负责接待的霍尔丹勋爵在皇家学院以一次热情洋溢的演讲把爱因斯坦介绍给英国科学家,并事先强调说“爱因斯坦已经到过威斯敏斯特大教堂瞻仰了牛顿墓地”。爱因斯坦居住在霍尔丹勋爵别墅里,当他到达时,霍尔丹的女儿见到这位著名的客人时竟“激动得昏了过去”。
但是从广义相对论提出之后半个多世纪里人们对光线弯曲预言的检验情况来看,1919年所谓的验证在相当程度上是不合格的。两支观测队归算出来的最后结果受到后来的研究人员的怀疑。天文学家们明白,在检验光线弯曲这样一个复杂的观测中,导致最后结果产生误差的因素很多。其中影响很大的一个因素是温度的变化,温度变化导致大气扰动的模型发生变化、望远镜聚焦系统发生变化、照相底片的尺寸因热胀冷缩发生变化,这些变化导致最后测算结果的系统误差大大增加。爱丁顿他们显然也认识到了温度变化对仪器精度的影响,他们在报告中说,小于10°F的温差是可以忽略的。但是索布拉尔夜晚温度为75°F,白天温度为97°F,昼夜温差达22°F。后来研究人员考虑了温度变化带来的影响,重新测算了索布拉尔的底片,最大的光线偏折量可达2.16"±0.14"。
底片的成像质量也影响最后结果。1919年7月在索布拉尔一共拍摄了26张比较底片。其中19张由格林尼治皇家天文台的天体照相仪拍摄,这架专门用于天体照相观测的仪器的聚焦系统出了一点问题,所拍摄的底片质量较差。另一架4英寸的望远镜拍摄了7张成像质量较好的底片。按照前19张底片归算出来的光线偏折值是0.93”,按照后7张底片归算出来的光线偏折值却远远大于爱因斯坦的预言值。最后公布的值是所有26张底片的平均值,只不过前19张底片的加权值取得较小。1929年德国的研究人员对英国人的观测结果进行验算后发现,如果去掉其中一颗恒星,譬如成像不好的恒星,会大大改变最后结果。
后来1922年、1929年、1936年、1947年和1952年发生日食时,各国天文学家都组织了检验光线弯曲的观测,公布的结果与广义相对论的预言有的符合较好,有的则严重不符合。但不管怎样,到20世纪60年代初,天文学家开始确信太阳对星光确有偏折,并认为爱因斯坦预言的偏折量比牛顿力学所预言的更接近于观测。但是广义相对论的预言与观测结果仍有偏差,爱因斯坦的理论可能需要修正。

电波弯曲
科学家还想到通过观测太阳对无线电波的偏折来检验广义相对论的预言。从1970年左右开始进行了这样的观测,1974年到1975年间,福马伦特(A. B. Fomalont)和什拉梅克(R. A. Sramek)利用甚长基线干涉技术,观测了太阳对三个射电源的偏折,最后(1976年)得到太阳边缘处射电源的微波偏折1.761”±0.016”。天文学家们终于以误差小于1%的精度证实了广义相对论的预言。到1991年,天文学家们利用多家天文台协同观测的技术,又以万分之一的精度证实了广义相对论对光线弯曲的预言。只不过这时观测的不再是看得见的光线而是看不见的无线电波。从1919年到1973年,天文学家一共进行了12次光学观测检验(表14.1);另外从1970年到1991年又进行了12次射电观测检验(表14.2)。



事实上,广义相对论的发展史要比狭义相对论的艰难曲折。1920年在华盛顿召开了一次天文学史或者说宇宙学史上的重要会议,主要目的是为沙普利(Harlow Shapley)和柯蒂斯(Heber Curtis)提供场所,为他们各自关于宇宙结构的观点展开辩论。这次会议在科学史上被称做“大辩论”。“大辩论”的组织者阿伯特(C. G. Abbot)拒绝把相对论作为一个可能的会议议题,他说:“我向上帝祈祷,科学的进步会把相对论送到第四维空间之外的某个地方,它就永远不会从彼处回来折磨我们了。”

引力波

引力波


很长一个时期,只有天文学家,而且只是那些研究宇宙学的天文学家对广义相对论感兴趣,物理学家则不然。正如斯蒂芬·温伯格指出的,在最基本的层次上研究物质的全部现代物理学,在很大程度上依靠两大支柱:一是狭义相对论,一是量子力学。也就是说,广义相对论与狭义相对论不同,它对于当时主要的研究课题如物质理论和辐射理论并不是必需的。爱因斯坦自己提出了三项验证,又过去了几十年人们才找到更为精确的验证方法,从而对引力的本质、引力与自然界其他几种基本力的关系问题产生了新的兴趣,广义相对论越来越成为更多人的研究对象。