#头条创作挑战赛#
许多人(包括我)觉得足球为“不可预测的比赛”,因为一场足球比赛有不同的因素可以改变最终比分。但当我看到 Frank Andrade 大神 在 20-21 赛季创建了一个python模型来预测获胜者英超、西甲、意甲、德甲,居然成功预测了所有联赛的冠军!!!

Frank Andrade在今年11月18日开始建立python模型预测世界杯的赛程

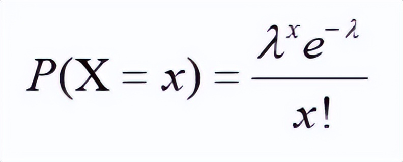
泊松分布
他主要运用泊松分布( 泊松分布是一种离散概率分布,描述了在固定时间间隔或机会区域内发生的事件数量 ),再结合主客场因素以及球队的健康等等来做出预测。
预测小组赛阶段
现在小组赛比完了,验证一下Frank Andrade 在11月18日收集了 1930 年到 2018 年所有世界杯比赛的数据后做出的预测准不准确。

虽然稍有出入,但小组队伍众多,确实有很多因素影响,而且总体预测还是挺准的!
预测淘汰赛
现在淘汰赛比到一半了,验证对比一下Frank Andrade的预测

Frank Andrade的预测

截至12月6日的比赛情况
惊讶地发现,Frank Andrade完美准确地预测到目前的淘汰赛情况。只待接下来的比赛情况是否印证了他的预测!接下来看看Frank Andrade大神对四分之一决赛、半决赛和决赛的预测。
预测四分之一决赛、半决赛和决赛

预测到2022年世界杯冠军是巴西!
通过最后运行该模型,预测到的赢家是……
巴西
非常期待接下来的赛程是否能印证Frank Andrade大神的预测,毕竟是预测,各位还是要理性看球!