
撰文/刘伟(天津师范大学)
本文节选自《知识就是力量》杂志
被誉为“世界第一运动”的足球是全球体育界最具影响力的单项体育运动,在各个年龄阶段都有为足球痴狂的人。那你知道热爱足球的最高境界是什么吗?
答曰:不是逃课去看球!不是喊破嗓子加油助威!不是为申办世界杯去捐款!而是为了足球,心甘情愿去学数学!

不懂数学,还想进球?
在足球比赛中,当守门员远离球门时,进攻队员常常使用吊射战术(把球高高地挑过守门员的头顶,射入球门)。一般来说,吊射战术中足球的轨迹往往是一条抛物线。球艺高超的球员,会选择合适的位置进行吊射,使球高高地越过守门员的头顶,但又不至于飞得过高而超过球门。

下面我们通过一个例子来说明
▼
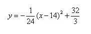
一位球员在离对方球门30米处起脚吊射,假如球飞行的路线是一条抛物线,在离球门14米时,足球达到最大高度32/3米,已知球门的高度为2.44米,那么球是否会进球门?如果守门员站在距离球门2米处,而守门员跳起后最高能达到2.75米的高度,那么他能否在空中截住这次吊射?
要想解决这个问题,需要用到一元二次函数的知识,因为一元二次函数的图像就是一条抛物线。要想求出一元二次函数的解析式,则需要根据实际问题建立平面直角坐标系,从而使问题得到解决。
首先,以球门底部作为坐标原点,建立坐标系,这样的话,足球的轨迹,也就是抛物线经过(30,0),且顶点为(14,32/3),根据一元二次函数的知识可求得抛物线的解析式:

此时将X=0代入函数解析式,可以得到

可见此时足球距离地面的高度已经超过了球门的高度,足球不会射入球门中。算到这里,大家可能就明白为何以球门底部作为坐标原点建立坐标系了,因为当X=0时,很容易算出结果。
当守门员站在距离球门2米处时,守门员跳起后最高能达到2.75米的高度,将X=2代入,可得到

可以看出,足球距离地面的高度高于守门员跳起的高度,因此守门员无法截住这次吊球。
由此可见,足球运动员若想取得较好的成绩,也不是光靠体育训练就能够达到的,他们需要对足球运动中蕴含的数学知识有所了解,做一个懂数学的足球运动员。