
历史上,古希腊数学家阿基米德最早求出了球的体积及表面积公式。
阿基米德的结果记录在他的两卷著作《论球与圆柱》第一卷中,可以简单地叙述为:
球与其外切圆柱体的体积之比、表面积之比,都等于三分之二。

据说阿基米德希望把这一值得骄傲的发现刻在自己的墓碑上。
本文 介绍阿基米德得到球及球冠面积公式的方法,适合中学生阅读。
(一)直圆台的侧面积
初中数学已经学过圆锥的侧面积公式。
利用展开图可知,直圆锥的侧面积等于

其中R 是底面圆的半径, L 是母线长。
进一步,容易得到直圆台的侧面积公式。
圆台及相关圆锥的轴截面图
命题 直圆台的侧面积等于

其中r, R 为上下底面圆的半径, d为母线长。
证明:直圆台是从一个大的直圆锥,用平行于底面的平面切除一个小的直圆锥得到的。因此,直圆台的侧面积S等于这两个直圆锥的侧面积之差。
设大小圆锥的底面圆半径分别为R, r母线长分别为L, l 则有L=l+d, 及

由三角形相似,有

因此得到
这就证明了命题。
(二)旋转体的侧面积
如图,圆弧AL围绕直径AA'旋转,得球冠。
我们的目标是求出这个球冠的面积S

为此,先求出特殊的旋转体的侧面积。
任意 n等分圆弧AL, 设分点依次为

则有弦长相等关系式:

对称地,n等分圆弧AL', 设分点依次为

折线ABCD…KL围绕直径AA'旋转一周,所得曲面的面积记为Sn
引理 这个旋转曲面的面积

证明: 所求的面积是一些圆台(圆锥、圆柱)的侧面积之和。
连LL', 交AA'与M 由上节的命题,得


由相似三角形序列

得到比例式

由合比定理,得

因此

这就证明了引理。
说法:AL, AM分别称为球冠的斜边与高。
(三)球冠的面积
利用穷竭法(古希腊数学的一种特殊极限理论),阿基米德严格地证明了:
当n->∞, 面积Sn的极限等于 S
用上一节的记号,当n->∞有B->A
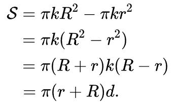
由引理,直接得到

这个结论可以陈述为
定理1 球冠的面积等于球冠的高、直径及圆周率的乘积。

定理2 球冠的面积等于以斜边为半径的圆面积。
同样的讨论,给出球的面积公式。
定理3 球的面积等于球的大圆面积的四倍。
(四)由球的面积得出体积
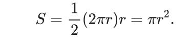
熟知,由圆的周长公式可以得出圆的面积公式:
圆的面积等于周长与半径乘积的一半,即

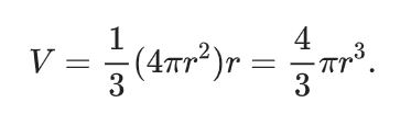
完全类似地,由球的面积公式可以得出球的体积公式:
球的体积等于表面积与半径乘积的三分之一,即

利用球的体积公式,也可以得出面积公式。
(五)结束语
阿基米德利用最基本的数学知识和极限思想,奇思妙算,求得球冠面积公式,令人叹为观止。
按球面几何来看,球冠是球面几何的“圆”。
因此,球冠的面积公式可以翻译成球面几何的“圆面积公式”:
半径为 R 的球面上的“半径”为a 的圆的面积为

把正弦改为双曲正弦,就得到双曲几何的圆面积公式。
阿基米德的名字意为“ 大思想家 ”,再恰当不过。
转载内容仅代表作者观点
不代表中科院物理所立场
如需转载请联系原公众号
来源:数学元年
编辑:Atom