数列的奇偶解题技巧视频 (奇偶数列是什么阶段学的)

相信这是一个特别的春节,此生难忘。

不管你是谁?

在哪里?

现在怎么样?

对未来,对美好,始终都要保持希望。

我想我该做些什么?

也许,最好的方式就是写下这笔记,写下我的思绪。

奇偶数列是什么阶段学的,奇偶数列求和10种例题

1 围观:一叶障目,抑或胸有成竹

奇偶数列是什么阶段学的,奇偶数列求和10种例题

据说这是本套试卷中最难的题,又是数列,又是三角,不知所云,也不知所措。

好多人都表示嫌弃,可无奈又无力。

假使你对高考多少有些了解,就不会茫然不知所措。

这不是什么新型“病毒”,早在2012年(见操作)就已爆发。当年是什么现状,我不清楚,但如果再来一次,结果大家都知道啦。

2 套路:手足无措,抑或从容不迫

奇偶数列是什么阶段学的,奇偶数列求和10种例题

3 脑洞:浮光掠影,抑或醍醐灌顶

首先奇偶分组,为下一步计算做好铺垫。

这样的操作常用于含(-1)n或含三角的数列当中。

法1,配凑奇数项,使得相邻奇数项的和为定值,相邻偶数项与奇数项的差成等差数列,进而可求得结果。

法2,计算发现间隔的奇数项相等,相邻偶数项与奇数项的和的成等差数列,利用第1项与第41项相等,构造等差数列求得结果。

无论是法1,还是法2,无非都是一个配凑的过程。

怎么配?

因题而异。总之,配成熟悉的数列或可求和的数列是唯一目标。

我知道,你对上述两种解法仍存有疑虑。

没关系,实在不行,我们就*力暴**强算。

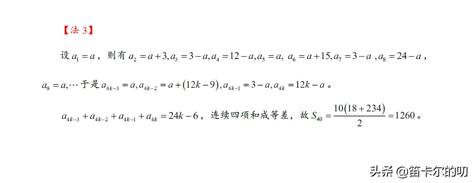
奇偶数列是什么阶段学的,奇偶数列求和10种例题

按理说,法3应当用数学归纳法去证明的,这里直接略过。如果你仍旧表示怀疑,不妨将法3修正为迭代法。

这个过程,我们留给读者。

4 操作:行同陌路,抑或一见如故

奇偶数列是什么阶段学的,奇偶数列求和10种例题

兴来一挥百纸尽,骏马倏忽踏九州。

我书意造本无法,点画信手烦推求。

奇偶数列是什么阶段学的,奇偶数列求和10种例题