贝林厄姆转会浮动条款触发条件 (转会浮动条款是什么意思)

自2011年欧足联的财政公平法案生效以来,越来越多的球队选择在球员的转会合同中加入浮动条款,有的唾手可得,有的难于登天,有的更是迷之复杂。但是,不管浮动条款在媒体和球迷眼中有多么的奇葩或者可笑,俱乐部高层们依然乐此不疲,究竟是什么样的魔力他们甘愿为这些浮动条款绞尽脑汁?同样是为了让俱乐部收支平衡,我国足协的“引援调节费”是否会有同样的效果呢?二者之间又有怎样的借鉴意义?本文较为冗长,且极易产生负担感,时间紧迫的朋友可以直接跳至最后一段。

转会一般都有什么原因,转会的猫腻是什么

(图)转会市场身价前六中五个与西甲有关

当内马尔自掏腰包2.22亿欧元买断了自己与巴塞罗那的合同,随后与巴黎圣日耳曼签下五年三亿的“世纪之约”,世界足坛已经从两翼齐飞过渡到“两亿单飞”,很快又进入了“四亿妄为”——姆巴佩以潜在的1.8亿欧元转会费“先租后买”加盟大巴黎,手握巨款的巴塞罗那也不甘示弱,先是以总额1.47亿欧元的转会费从多特蒙德买来登贝莱,又以总额1.6亿欧元的转会费从利物浦买来库蒂尼奥。“转会费第一人究竟是谁”的问题在球迷之间争论不休,巴黎俱乐部主席纳赛尔-阿尔赫拉菲的复杂操作确保了内马尔的自由身加盟,而姆巴佩的转会费尚未发生,那么,已经让巴萨为其支付了1.05亿欧元的登贝莱与1.2亿欧元的库蒂尼奥之间谁的转会费更高,就取决于“转会浮动条款”了。那么问题来了,这个浮动条款到底是什么?

转会一般都有什么原因,转会的猫腻是什么

(图)巴塞罗那连续高价买进登贝莱与库蒂尼奥

我们先来看一下登贝莱和库蒂尼奥的转会合同细节。根据BBC的报道,登贝莱的转会合同中,要求巴萨支付1.05亿欧元的“首款”,随后会有三条相关浮动条款,第一部分比较简单,是代表巴萨出战50场,达成条件后,巴萨会向多特蒙德支付1000万欧元;第二部分也不是难事,即帮助球队取得欧冠资格,多特蒙德也会再得到1000万欧元;第三部分就比较难了,如果在合同期内获得金球奖,巴萨将向多特蒙德追加支付2200万欧元。

库蒂尼奥的合同则更为“琐碎”,除了1.2亿欧元的固定支出,还有总值4000万的浮动条款:

(A)库蒂尼奥代表巴萨出战25场比赛,利物浦将获得500万欧元;

(B)库蒂尼奥代表巴萨出战100场比赛,利物浦将获得2000万欧元;

(C)库蒂尼奥代表巴萨出战的前2个赛季中,如果巴萨获得欧冠参赛资格,利物浦将获得1000万欧元;

(D)库蒂尼奥代表巴萨履行完至2023年的合同,并且帮助球队获得欧冠冠军,利物浦将获得500万欧元。

这些条款虽然比登贝莱的琐碎,但与登贝莱“五年之内获得金球奖”的条款相比,“夺得欧冠”的500万奖金似乎更加实在可行。

一、唾手可得的浮动条款

转会一般都有什么原因,转会的猫腻是什么

(图)传说中的48*法大**

对于FM的老玩家来说,在球员交易中除了常用的分期付款“48*法大**”,在转会合同中农工附加出场次数、进球数、国家队入选等条件都是熟悉的招数,而这些条件,就是我们今天想要说的“转会浮动条款”。浮动条款的内容可以说是脑洞有多大,条款就有多少,基本工资可以约定, 每个进球或助攻给多少,门将不失球给多少,最低出场时间可以约定,豪门求购的“放人条款”也可以约定,对于大龄球员还可以约定“教练职位邀请的解约条款”,正所谓合同遵守“意合原则”,只要买卖双方俱乐部能谈拢,什么样的浮动条款都可以出现在转会合同中。不过,很多FM玩家都会在这些浮动条款上与AI斗智斗勇,绞尽脑汁不去完成。比如,刘教练自己就曾经给电脑开出过效力50场2亿欧元的巨额浮动条款,对方欣然接受;但当球员效力达到40场时,刘教练就直接“低价甩卖+回购条款”,卖出去立刻回购,以最小的代价完美规避了两亿的巨额开销。但是,到了真实的足球世界,各家俱乐部虽然也会玩儿一些小聪明,但大都会选择设置一些简单易行,甚至是唾手可得的浮动条款。

转会一般都有什么原因,转会的猫腻是什么

(图)厄齐尔转会阿森纳的附加条款细节

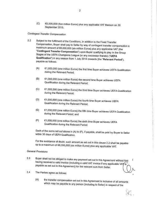
除了上文提到的“出场次数”条款,阿森纳还开出过“少量多次”的“欧冠资格条款”。2013年9月,厄齐尔从西甲豪门皇马转会至英超阿森纳时,皇马与阿森纳在转会协议中也加入了转会分成条款。双方约定,在阿森纳与厄齐尔的工作合同期限内,若阿森纳将厄齐尔以超过5000万欧元的价格永久转会(为免疑义,不包括任何临时转会或租借)至任何西班牙俱乐部(皇马除外),则皇马将获得全部转会费与5000万欧元差额的33%。但这些都不是重点,重点是后面的浮动条款。根据Footballeaks放出的文件,自2014年7月1日起,如果阿森纳在单赛季打入欧冠小组赛,就要支付给皇家马德里最高金额达到600万欧元的额外费用:

(A)如果阿森纳在规定期限第一次打进欧冠小组赛,需要向皇家马德里支付100万欧元;

(B)如果阿森纳在规定期限第二次打进欧冠小组赛,需要向皇家马德里支付100万欧元;

(C)如果阿森纳在规定期限第三次打进欧冠小组赛,需要向皇家马德里支付100万欧元;

(D)如果阿森纳在规定期限第四次打进欧冠小组赛,需要向皇家马德里支付100万欧元;

(E)如果阿森纳在规定期限第五次打进欧冠小组赛,需要向皇家马德里支付100万欧元;

(F)如果阿森纳在规定期限第六次打进欧冠小组赛,需要向皇家马德里支付100万欧元;

转会合同还规定,从(A)到(F)的条款,一旦达到条件,阿森纳需要在确定进入欧冠小组赛30天内支付款项。不过,2016-17赛季结束时,也就是厄齐尔加盟阿森纳的第四个赛季末,排名英超第五的阿森纳错失欧冠资格,也就导致连续三年都能从阿森纳收到100万欧元额外费用的皇马忽然失去了这笔“固定收入”。

转会一般都有什么原因,转会的猫腻是什么

(图)阿圭罗的转会合同更为细致

相比之下,同在马德里的马竞则比皇马要好运许多。2011年,阿根廷前锋阿圭罗从马竞转会至曼城的转会合同则更为细致。蓝月亮为了引进阿圭罗,向马竞支付了3600万欧元的转会费,尽管曼城财力雄厚,但是他们仍然选择分三次付清转会费,分别在2011年、2012年和2013年支付1200万欧元。 而后则是细致到进球数量、出场次数、联赛成绩,以及欧冠成绩的浮动条款:

(A)阿圭罗在规定期限内每打进15粒进球,曼城需要向马竞支付25万欧元;

(B)阿圭罗在规定期限内每代表曼城出场25次(出场指的是首发登场或在70分钟前替补登场),曼城需要向马竞支付25万欧元;

(A)与(B)两项浮动条款的总支付额度封顶为200万欧元;

(C)如果曼城在规定期限内每次赢得英超联赛冠军,曼城需要向马竞支付1000万欧元;

(D)如果曼城在规定期限内每次晋级欧冠决赛,曼城需要向马竞支付1000万欧元;

(E)如果曼城在规定期限内每次晋级欧冠半决赛,曼城需要向马竞支付500万欧元。

(C)到(E)三项浮动条款的总支付额度封顶为2000万欧元。

转会一般都有什么原因,转会的猫腻是什么

(图)阿圭罗加盟曼城之后大杀四方

也就是说,现在回看曼城2011年至2014年三个赛季的成绩,阿圭罗出场122次,取得75粒进球,曼城为此向马竞支付了(A)(B)两项浮动条款的顶额费用,即200万欧元;曼城于2011-12赛季和2013-14赛季两次赢得了英超冠军,又向马竞支付了2000万欧元;但是在欧冠赛场上,曼城在2011-12赛季排名小组第三,在2012-13赛季排名小组第四,2013-14赛季终于小组赛突围但惨遭巴塞罗那双杀,止步八分之一决赛,因此(C)到(E)三项条款中,马竞依然可以拿到封顶的2000万欧元。

二、难若登天的浮动条款

对于球员和买卖双方俱乐部而言,出场次数和进球个数之类的条款都只是时间问题,毕竟很少有俱乐部会给门将制定进球数量。不过,也有一些浮动条款的实际达成要远比看上去困难得多。

转会一般都有什么原因,转会的猫腻是什么

(图)2011-12赛季的拜仁在三条战线上全部饮恨

2011年,德国国门诺伊尔从沙尔克04转会加盟拜仁,在双方的合同中,拜仁一次性支付了1800万欧元。尽管这个身价已经将小新推上了德甲历史最贵门将的高度,但意犹未尽的沙尔克04还是开出了一系列的浮动条款:如果新赛季中,拜仁夺得德甲冠军,拜仁将需要向沙尔克04支付300万欧元;如果夺得欧冠冠军,拜仁需要向沙尔克04再支付400万欧元。想想2010-11赛季颗粒无收的拜仁在那个夏天招兵买马的气势,也难怪沙尔克会开出这样一组“涨他人气焰,灭自家威风”的条款。但是,对于拜仁球迷而言,2011-12赛季充满了郁闷的回忆:势不可挡的大黄蜂以7分的优势夺得联赛冠军,莱万多夫斯基的帽子戏法又让拜仁饮恨德国杯,眼看就要加盟上海申花的魔兽德罗巴又把拜仁挤下了欧洲之巅,拜仁三冠王之梦破碎的同时,沙尔克04的700万收入也化作了泡影。

转会一般都有什么原因,转会的猫腻是什么

(图)利物浦错失沙欣可谓失不再来

沙尔克04的“意外失算”颇有“煮熟的鸭子飞走了”的诙谐,利物浦错失沙欣就有些说不出的滋味儿了。据悉在2012年1月,红军利物浦本想签下当时效力皇马、曾在多特蒙德大放异彩的努里-沙欣,但却因为他合同中的一个浮动条款而没能最终如愿。在沙欣的合同中,写着“任何‘具有夺冠可能性’的球队要买入沙欣,必须支付超过500万英镑的转会费”。当时的英超赛程过半,劫富济贫的利物浦排在积分榜第六位,最终,“具有夺冠可能性”的利物浦没有及时引进沙欣,而是在半年后选择租借沙欣半个赛季。不过,2012-13赛季的故事我们就非常熟悉了,曼市双雄连续两年将英超夺冠线推上89分的高度,即便是沙欣驰援也爱莫能助了。

如果说关于“俱乐部夺冠”的条款还需要许多运气成分的话,那么在C罗和梅西两强并立的时代给球员定下与金球奖相关的浮动条款就显得有些“强人所难”。

转会一般都有什么原因,转会的猫腻是什么

(图)戈麦斯加盟巴塞罗那的转会浮动条款与金球挂钩

2016年7月,巴塞罗那官方宣布了安德雷-戈麦斯的加盟,转会费则是“3500万欧元+2000万欧元+1500万欧元”,即一次性支付给巴伦西亚3500万欧元的转会费用,外加与球员出场次数挂钩的2000万欧元,以及“如果球员多次赢得金球奖,转会费还将继续增加1500万欧元”(puede llegar a un máximo de 15 millones de euros en el caso de que el futbolista llegara a ser varias veces Balón de Oro)。所以,戈麦斯的最终转会费理论上可以达到7000万欧元。尽管在发布会上戈麦斯在回答《世界体育报》关于“金球奖条款”的问题时表示“现在我很镇定,这是我来到这里的第一天。金球奖的条款不会给我带来什么,也不会减少我的自信心,该来的总会来的。你必须要享受当下,我想要开始和我的队友们一起训练了”;但到了接受《每日体育报》私下采访时,戈麦斯还是坦言了这项条款达成的难度:“(获得金球奖)这很困难,因为这是许多球员的梦想。从孩时起,你就想要成为最佳,但是之后我慢慢长大,认为这很困难,唯一能做的事就是好好努力。”

即便拿不到那1500万欧元的“尾款”,安德雷-戈麦斯的转会金额还是能够达到5500的高度,所以巴伦西亚轻易就接受了巴塞罗那开出的“登天条款”;相比之下,摩纳哥的难度虽有降低,但依然拿钱无望。

转会一般都有什么原因,转会的猫腻是什么

(图)马夏尔在曼联曾经“春风得意马蹄疾”

2015年9月,安东尼-马夏尔转会加盟曼联,基本转会费用为5000万欧元,分离两年付清,而浮动条款中的3000万欧元则与马夏尔未来四年的自身表现息息相关:

(A)如果马夏尔在合约期内为曼联一线队打进25球,曼联需要向摩纳哥支付1000万欧元;

(B)如果马夏尔在合约期内代表法国成年队征战25场比赛,曼联需要向摩纳哥支付1000万欧元;

(C)如果马夏尔在合约期内进入金球奖评选最终三人大名单,曼联需要向摩纳哥支付1000万欧元。

马夏尔的合约已经履行过半,最后这一年半时间里恐怕只有曼联加冕三冠王再加法国夺得世界杯才能把马夏尔推进金球奖最终三人名单。机警地摩纳哥可能是意识到了这最后的一千万实在太难拿到,便在转会合同中与曼联约定了转会分成条款与激活条件:

(D)在英足总2018年夏季转会窗口结束前,曼联与除摩纳哥之外的第三方俱乐部就马夏尔的永久转会达成协议;

(E)在达成转会之时,转会合同第2.4(a)条及第2.4(b)条约定的付款条件均未满足(即在与曼联的工作合同期间代表曼联一线队比赛进球达到25粒;在与曼联的工作合同期间代表法国成年国家队在国际比赛中出场达到25场);

(F)转会费超过6000万欧元或者超过转会之时累计应向摩纳哥支付的转会费金额(以较高者为准)。

一旦(D)到(F)三项条件全部满足,摩纳哥将有权根据实际的转会费金额按照50%的比例获得转会分成。摩纳哥与曼联约定的转会分成条款的激活条件可谓非常复杂,转会发生的时间限制、曼联以及球员对转会的同意、转会应为永久转会、其他合同条件的满足以及转会费最低门槛缺一不可。可以看出,虽然摩纳哥放走了马夏尔,但是对于马夏尔的未来发展还是非常看好的。果然,马夏尔在2016-17赛季结束前就已经为曼联打进了25球,这1000万欧元已经收入摩纳哥的腰包;他为法国成年队已经出场了17次,2019年9月之前达成25次应该难度不大;手握7000万欧元的摩纳哥似乎也就不太计较这最后不可能拿到的1000万了。

转会一般都有什么原因,转会的猫腻是什么

(图)巴塞罗那的狡猾条款遭到利物浦秒拒

同样的,根据《镜报》的报道,在求购库蒂尼奥的过程中,巴塞罗那曾经在2017年8月向利物浦开出一份附带“金球奖和世界足球先生”浮动条款的转会报价,遭到了红军的秒拒,即便是库蒂尼奥自己提交转会申请,也没能撼动红军高层的决心,最终的成交合同中也的确删除了这条“不可能达成”的浮动条款。