
《数学有趣》
今天的报告,在数学文化专家面前作可能有些班门弄斧,但报告中有些内容还是很新颖的,当然也有些内容,在座的更是专家。
在大多数人心中,数学是冰冷枯燥的,认为数学是大量的数字、复杂的公式、晦涩的推理。但实际上数学不仅是科学的基础,也在绘画、建筑等富有趣味的领域中随处可见。相比于普通人,数学家更能通过数学的抽象和简洁来欣赏它的奇妙之处。那么,作为数学家或者数学工作者来看,数学文化表现在哪些方面?应该如何欣赏呢?

数学的抽象美
数学和其他学科相比最大的区别在于它具有抽象性,而数学工作者对于它的抽象性还是非常欣赏的。实际上很多人觉得数学难的原因就是它太抽象,1、2、3、4、5它并不代表具体的事物,一定程度可能是人类创造出来的一个概念,但它有普适性,也有自己的规律。数字从具体物品中抽离出来,产生了数的概念,这是人类一个最伟大的发明。早期,计数和物品有关系;后来,我们纯粹研究数,它是一个抽象的东西,这也是我们跟一般动物的区别。我们也经常在视频中看到,动物也能识别几颗糖,但至少现在没有证据证明它们有数的抽象概念。
一、几何原本
数论是数学的核心分支之一,研究素数是一个重要部分。素数是指只能被1和它本身整除的自然数,如2,3,5,7,11。许多著名猜想都与素数有关,如:被誉为“皇冠上的明珠”的哥德巴赫猜想:任一个大于2的偶数都可写成两个素数之和。至今最好的结果是1966年陈景润先生证明的。我们很早就知道:有无穷多个素数,第一个证明出现在《几何原本》中,也可从欧拉公式推出。

公元前300年左右,欧几里得完成了《几何原本》一书,全书分15卷,前6卷为平面几何,卷7至卷10为数论,之后为立体几何。全书有5条“公理”或“公设”、23个定义和467个命题。欧几里得由公理、公设和定义出发,严格推导出命题。特别值得一提的是,北大图书馆原馆长毛准上世纪30年代个人收藏后留在北大图书馆的《几何原本》是16世纪版本,在国内可能是收藏最早的《几何原本》。

公元1607年,徐光启和利玛窦共同翻译了《几何原本》的前6卷,这个中文译本是阿拉伯世界以外的第一个东方译本,比西方许多国家的初译本都早至少100年,例如,俄罗斯、瑞典、丹麦、波兰等文字译本的出现分别晚至1739、1744、1745和1817年。徐光启是首先把“几何”一词作为数学的专业名词来使用的,并断言:“窃意百年之后必人人习之”, “能精此书者,无一事不可精;好学此书者,无一事不可学。”因此几百年前甚至更早,我们的先辈就认识到现代数学的重要性。

在2000年前,《几何原本》就证明了素数有无穷多个,这是非常了不起的,因为素数有无穷多个在当时不是很有用的知识,它是在非常思辨、逻辑性非常强的状态下证明的。
二、素数定理
“素数定理”是很抽象的,我们期望了解素数的分布,前100个数有25个素数,前1000个数有100多个素数等。实际上素数是有规律的,这对数学家来说是非常奇妙的。本来1万、100万个素数都很难发现它的规律,即使用计算机处理,也很难看出它的抽象性,但我们却发现了它的规律,在数学中有很多这样的例子。第一个有关素数的抽象结果就是素数定理:设x≥1,用π(x)表示不超过x的素数的个数,那么当x趋于无穷时,π(x)接近于x/ln(x)。如果x是1亿,素数有300多万;如果x是100亿,素数有3亿多。1896年,阿达马和瓦莱布桑各自独立地证明了素数定理。1949年,塞尔伯格和埃尔德什分别独立地给出了素数定理的完全“初等”的证明。从数学家的角度看,这个定理非常的漂亮,虽然我不研究数论,但这个定理我自己看也是非常漂亮的。


三、黎曼猜想
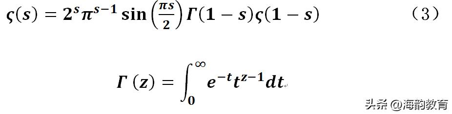
第二个抽象起来的就是黎曼猜想,对于黎曼猜想大家都了解很多,黎曼猜想是黎曼提出的闻名于世的重要数学问题,是一个关于素数规律的猜想,实际上它可以用来问这个素数定理是不是更精确。黎曼是伟大的数学家,它不仅是在数论方向、还在几何方向也有重大的原创性突破,如我们现在研究的黎曼几何等。对于复变量 s = σ + it,黎曼定义函数ζ(s)如下(1),对于学过基础数学的老师们都清楚,对于(1)这个级数,当Re(s)>1时是收敛的,当s=1时,是调和级数,就不收敛了。

黎曼通过一些方式表达了数学的奇妙性,或者称为解析延拓性。即同样的问题,从不同角度去观察时,得到的回馈是不一样的,实际生活中如此,数学也是如此,从解析延拓性方面来说可以作抽象的反应,所以换一个角度去考虑后可以得到不同的结论。如果把黎曼猜想函数表示成如下形式:

我们会发现只要s的实部大于0时,这个函数就是收敛的。

所以将刚才的幂级数换个积分形式表示以后,我们会发现这个函数在更大的范围内是可以定义的。总之,黎曼发现这个函数可以在除了零点之外的整个平面上定义,而零点是一个级点。这个函数它还有很多性质,比如在s=-1,它是收敛的ζ(s) = -1/12。巧妙的是,在(1)中,当s=-1,可得1+2+3+4+5+……,是不收敛的,而我们换了一个角度研究(2)、(3),发现它又是收敛的,从而体现了数学的神奇性。从数学家角度考虑也是非常有意思的,或许是数学家在自娱自乐,但这也体现了数学与人生一样都有很大的乐趣性,也是我们传播数学文化的目的。
现在发现这类函数确实是有用的,在物理中,特别是超弦理论中,被称为“real normalization”,它是规范化的,也是有意义的,在物理学的磁论和场论中都有涉及。数学家自娱自乐的知识发现也是有用的,所以人类的思维有它的独特性和美妙性,有它一定运行的道理。
素数有无穷多个,黎曼发现这些点竟然是有规律的:素数的频率紧密相关于黎曼zeta函数ζ(s)的性态。黎曼假设断言,方程ζ(s)=0的所有有意义的解都在一条直线上s = 1/2 + it 。其他平凡零点是 -2n。简单来说,所有这些素数点一定会排列成两条直线,绝对不会有例外,这就是黎曼猜想。人们通过计算机去验证黎曼猜想,挨个点去试,至今验证过15万亿个点,都是对的。

上面讲了数学的抽象性,数学家包括古代的先贤,为什么去研究素数,可能是去探索一些抽象数的内在规律性。我们后来却发现这些规律性是有用的,如在电子商务中被广泛使用的密码学中经典的RSA算法其基本原理依赖于素数理论。RSA算法的安全性是因为素数分解的困难,所以素数是现代信息安全技术的基础。密码学广泛应用在我们日常生活中,包括自动柜员机的芯片卡、电脑使用者存取密码、电子商务等等,它使用了大量的数学工具。
数学的简洁美
数学的简洁美即从复杂的现象中总结出非常简洁的规律。爱因斯坦说过:“美在本质上终究是简单性。”欧拉公式:V-E+F=2 (V:顶点,E:边,F:面) ,虽然无法说清楚有多少凸多面体,但它们总是满足这一公式。我们可以用欧拉公式来证明只有五种正多面体:用正三角形做面的正四面体、正八面体、正二十面体、用正方形做面的正六面体、用正五边形做面的正十二面体,这一结果的证明最早出现在欧几里得的几何原本中。

一、柏拉图立体
据说只存在5种正多面体是古希腊数学家泰阿泰德发现的,但它们被称为“柏拉图立体”。可见被授予光环的也不一定是原本的发现者。柏拉图的宇宙观基本上是一种数学的宇宙观。他设想宇宙开头有两种直角三角形,一种是正方形的一半,另一种是等边三角形的一半。从这些三角形就合理地产生出四种正多面体,组成四种元素。火是正四面体,气是正八面体,水是正二十面体,土是立方体。第五种正多面体是由正五边形形成的十二面体,这是组成天上物质的第五种元素,叫做以太。

城市中很多球形建筑上都有12个特殊的点,比如位于北京的中国科技馆,这些球形建筑上的12个特殊点,每个点由5个三角形组成,这是多面体几何性质约束的结果。
将正二十面体的每个侧面切分为4个正三角形(如下图(1)),侧面被切割并被“吹鼓”的正二十面体(如下图(2)),比如足球其实是截去顶点并稍加吹鼓起来的正二十面体(如下图(3))。

二、拓扑学中的欧拉示性数
凸多面体的欧拉公式可以推广到任意拓扑空间上。首先我们可以引进一个拓扑不变量,称为欧拉数(Euler characteristic)。如果二维拓扑空间K等价于一个多面体,那我们定义它的欧拉数为 F - E + V,其中V、E和F分别是多面体的顶点、边和面的个数。可以证明欧拉示性数与多面体的选取无关。还可以证明任何一个曲面,如下图(1)的球面,等价于某个多面体,因此可定义欧拉数。由于拓扑不变性,凸多面体的欧拉示性数与球面的欧拉示性数是相等的。也就是说,球面的欧拉示性数V – E + F为2 。而曲面的欧拉数可以不一样,如果曲面上洞眼的个数为g,则其欧拉数为 2–2 g。通常,g在拓扑学中称为“亏格”,即为环柄的个数或者洞的个数。


欧拉公式是拓扑学中的一个结果,拓扑学是研究几何体在连续形变下不变性质的数学分支。在2维情形,欧拉数可用来做拓扑分类,即一个曲面可连续形变到另一个曲面当且仅当它们有相同的欧拉数。

庞加莱猜想(1904)是一个著名的拓扑问题,它给出了3维球面的拓扑刻画。在一个世纪的漫长时光中一直困扰着全世界的数学家们,最终被Perelman用几何中的曲率流方法解决。
三、复形
欧拉数可推广到高维“多面体”K,也称复形, 即:x(K)=F₀ -F₁+ F₂-F₃+…这里Fk表示 k-维面的个数。如果空间K有复形结构,则我们可以定义欧拉数x(K)。我们已知任何光滑流形都有复形结构,故可以有欧拉数。

如何在更一般的空间上定义欧拉数?比如对有奇异的空间,即使空间是光滑的流形,证明其有复形结构也是相当复杂的。因此我们需要一个更拓扑、适用更广的方法。奇异同调群给出了这样一个方法:任何拓扑空间M都能定义奇异同调群,它是由单形到M的连续映射生成的。在一定的紧性条件下,k-维奇异同调群是维数为hk
的向量空间,且只有有限个hk 非零。我们可定义欧拉数:x(M)=h₀ -h₁+ h₂-h₃+…, 所以在几乎所有的空间上都可以定义欧拉数。
由此可知人类的认识是不断进步的,数学家不断地在发现欧拉数背后的规律,这也是一种数学文化。所以说数学家要不断地多问一些为什么以及探索背后的原因,或者有没有更好或者更广的方式来解释已有的某些现象,并在此基础上再做进一步研究。
欧拉数现在仍有发展。计数几何是代数几何的一个重要分支,研究几何方程的解的个数,有着悠久的历史。受物理中场论研究的启发, 90年代以来,计数几何发生了翻天覆地的变化,其发展关键在于在一类无穷维空间上定义欧拉数。
现在提到的元宇宙,实际上就是一个虚拟的东西,希望用虚拟的东西来表现现实世界。而这些其实我们数学家早就在考虑的东西,包括欧拉数,起初是在多面体,很具体且很紧迫化,后来发现欧拉数实际不需要那么具体。
GW理论对应理论物理中的拓扑场论,它的数学理论是我和阮勇斌最先在半单辛空间上建立的。之后由我和李骏、Fukaya-Ono等利用虚拟模空间的方法推广到一般辛空间。GW理论不仅推进了计数几何的高度发展,而且与数学很多分支(如无穷维代数表示和可积系统)紧密相关,也为镜对称等重要问题提供了数学基础。
元宇宙(Metaverse)是利用科技手段进行链接与创造的,与现实世界映射与交互的虚拟世界,具备新型社会体系的数字生活空间。在半单情形,我和阮勇斌用非齐次Cauchy-Riemann方程来构造相应欧拉数的。在一般情形,我和李骏引进了虚拟模空间方法来构造这一欧拉数。最近,徐光博和我利用我和李骏的方法建立了Gauged Linear \sigma-model的数学理论。
数学的对称美
中国的建筑就很好地应用了数学的对称美,有许多的园林建筑都应用了这一点。

一、密铺
用形状、大小完全相同的几种或几十种平面图形进行拼接,彼此之间不留空隙、不重叠地铺成一片,这就是平面图形的密铺。这在我们生活中常见,尤其是建筑、装修等。

任何三角形和凸四边形(包括正方形,矩形)都可以密铺整个平面。但除正三角形、正四边形和正六边形外,其他正多边形都不可以密铺平面。正五边形不能密铺,那么会不会有其它图形可以密铺?

一些不规则的五边形可以密铺,把六边形划分为两个或三个或四个全等的五边形(如下图)。

二、五边形密铺的探索之路
对于不规则五边形密铺方式,引发了数学家们的兴趣,在这个领域取得的进展都来自从事数学研究的数学家。但仅有高中学历的家庭主妇玛乔丽则颠覆了历史,她连续发现了4类不规则五边形密铺方式!之后的第14、15类密铺也都是科研工作者。玛乔丽可谓前无古人后无来者!

玛乔丽•莱斯是美国一位普通的家庭主妇,高中学历,有5个孩子。因为给小儿子订阅科普杂志便喜欢上阅读杂志里的数学科普文章。1975年,玛乔丽读到关于平面密铺的文章,对此极为感兴趣,便开始了她一往无前的研究之旅。1976年,经过两个月的思考和探索,玛乔丽发现了一类新的能密铺满平面的五边形,并用自创的一套符号来标记。令人惊讶的是,她的研究结果是正确的!最初帮助验证玛乔丽密铺工作结果的是数学教授多丽丝•沙特施耐德,并在1995年受邀美国数学会的会议上介绍玛乔丽的工作,而且美国数学会(AMS)总部装修时,新地板采用了玛乔丽发现的五边形密铺。
三、非周期性密铺
对于单一正多边形的密铺,只能采用正三角形、正方形、正六边形这三种。但是如果采用多种不同的多边形进行密铺,那么就有新的可能。这一问题是华裔数学家王浩在1961年提出的。1976年,由英国数学家彭罗斯构造出了最为经典的采用两种不同的菱形(36°/144°,72°/108°)的密铺图案。

罗杰•彭罗斯是2020年诺贝尔物理学奖获得者之一,获奖原因是在黑洞研究方面做出了杰出贡献。彭罗斯在趣味数学中也有为大家所熟知的工作发现——彭罗斯密铺(Penrose Tiling)。用两种不同形状但具有同样边长的菱形造出无数个非周期性密铺。

上世纪80年代初,以色列化学家丹·谢赫特曼发现了一种新的固体材料,这种物质被命名为“准晶”,它的电子衍射图样跟彭罗斯密铺相似。谢赫特曼当时并不知道彭罗斯密铺,后来他才弄清了其中的数学理论。2011年,谢赫特曼因为此项工作获得当年的诺贝尔化学奖。

1248年穆罕默德一世国王阿卜•阿拉罕尔开始将罗马人的旧城堡扩建成规模宏大的宫殿群,然后由后世继承者继续修建至竣工。红宫又名阿尔汗布拉宫,是现存最美丽的伊斯兰建筑之一。阿拉伯人在建筑上常借以密铺的方式阐释生命循环往复和无限性的意象。目前存在的17种类型几何密铺,在红宫都可以找到。

Maryna Viazovska(乌克兰数学家)是2022年菲尔兹奖(Fields Medals)的四名获奖者之一,她获奖的工作成果其实与我们日常生活中经常见到的事物有关。

“橙子堆叠问题” (开普勒猜想): 假设有个巨大的箱子以及数量众多的橙子,我们如何排布球状的橙子,才能让橙子尽量多地装到箱子里?(1)如果箱子很大,形状的影响可以忽略不计,答案只取决于箱子的体积,球堆积问题就是找到这个最高比率,也称为球堆积常数。(2)降低一个维度,从2维看最佳排布是蜂窝状排布,任意平面上的每个橙子都与六个橙子相邻,构成正六边形。

1694年,牛顿与天文学家格雷戈里(David Gregory)讨论体积不同的行星在天空中如何分布,随后话题转为:一个球能否与13个互不相交的球相切?牛顿认为不可能,而格雷戈里猜测可以,此问题也称为十三球问题。这次讨论记录在格雷戈里的笔记本上并保存在牛津的一所教堂里。当时,欧洲人普遍信仰基督教,还有人把这次讨论与耶稣的12位门徒联系起来。
3维空间里不止一个最佳堆积,有很多比率相等的最佳堆积,其中一种即是之前提及的橙子堆积法(开普勒猜想)。尽管这一猜想看起来简单,已有400多年历史。项武义,Thomas Hales著有长篇论文试图给出证明。Hales的论文2005年发表在Annals上,但其证明借助计算机,验证步骤庞大复杂。

不借助计算机,只用几页纸,Maryna Viazovska给出了在 8 维和 24 维高维空间的球体堆积证明。高维空间的球体堆积在现代通讯技术中发挥着重要作用,能确保互联网、卫星等传输信息的过程中在遇到有干扰的情况下,也能理解传输过来的信息。
今天的报告就讲到这里,谢谢大家!
怎么做课题研究 给教师的40个教育科研建议大夏书系教师专业发展
¥58
购买