小伙伴们看过来~
大庆市属学校招老师啦
招聘人数很多
共计招204人
覆盖范围很广
从小学到高中都有
8月7日至8月11日
网上报名

详情请看招聘公告
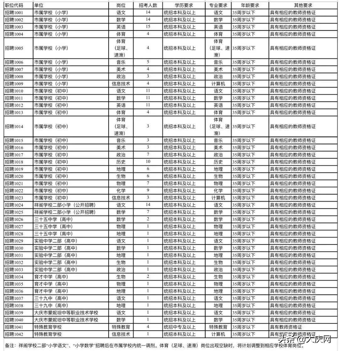
2019年大庆市部分市属学校
公开招聘教师公告
为促进我市教育事业发展,满足部分市属学校用人需求,依据事业单位公开招聘有关规定,经市政府同意面向社会公开招聘教师,现将有关事宜公告如下。
一、招聘计划
计划招聘204人。其中,小学88人、初中94人、高中17人、特殊教育学校5人。
2019年大庆市部分市属学校公开招聘教师岗位计划表

二、招聘条件
(一)具有中华人民共和国国籍。
(二)遵守宪法和法律,具有良好的品行和职业道德。
(三)具有统招本科及以上学历。
(四)统招学历毕业证上所学专业与报考岗位的需求相一致。
(五)具有与报考岗位相应的教师资格证。
(六)年龄在35周岁以下(1984年7月31日以后出生)。
(七)五官端正,具有正常履行职责的身体条件。
(八)特殊教育等岗位所需的学历要求和其它条件,详见《岗位计划表》。
有下列情形之一的,不得报考:
(一)因犯罪受过刑事处罚人员、被开除公职人员。
(二)在各级公务员、事业单位招聘考试中被认定有作弊行为或不诚信记录,且处理期未满人员。
(三)公务员、事业单位工作人员(含新录用公务员或新录用事业单位工作人员试用期、最低服务期未满的人员)。
(四)依照有关法律、法规规定不得聘用的其他情形。
三、报考方法及程序
本次公开招聘的前期报名、资格审查、考务费缴纳、准考证打印均通过网络进行。
(一)网上报名。报考人员可在2019年8月7日9:00至2019年8月11日16:00期间,登录大庆市人民政府网站(http://www.daqing.gov.cn)进入报名系统,按要求填写报考信息、提交报考申请。报考人员只能选择一个岗位报名,报名与考试时使用的身份证必须一致。报名时要仔细阅读诚信承诺书,如实提交有关信息和材料。凡弄虚作假的,一经查实取消资格。
(二)资格审查。报考人员应在网上报名期间登录报名系统查询资格审查结果。通过资格审查的,不能改报其他岗位或修改报考信息;未通过资格审查的,可在网上报名期间完善报考信息或选择其他适合岗位,重新提交报考申请。对审查结果有异议的可提请仲裁,仲裁通过的视为报名成功;仲裁未通过的只能取消报名资格或改报其他适合岗位。
(三)网上缴费。笔试考务费为90元。通过资格审查(含仲裁)的报考人员,可在2019年8月7日9:00至2019年8月12日16:00期间登录报名系统,通过网络支付笔试考务费。笔试考务费支付成功即为报名结束。对未按规定时间全额缴纳笔试考务费的视为报名未成功,不能参加考试。
(四)打印准考证。报考人员请于2019年8月19日9:00至2019年8月21日16:00期间登录大庆市人民政府网站(http://www.daqing.gov.cn),自行打印准考证,按准考证上的时间、地点和要求参加考试。
(五)报名注意事项
1.网上报名系统到期关闭后资格审查同时结束,报考人员不能再修改报考信息、不能再提交审核。
2.对困难家庭高校毕业生免收笔试考务费。免收笔试考务费的确认时间、地点详见有关说明项。
3.报考人数与招聘计划比例原则上不低于5:1。对达不到比例要求的,将缩减招聘计划或取消招聘岗位。对紧缺或急需岗位,可根据实际情况适当调整。报考人员应在2019年8月13日登录大庆市人民政府网站(http://www.daqing.gov.cn),查询本人报考的岗位是否因未达到开考比例而被取消。取消的请按网上通知要求办理,未联系的视为自动放弃报考。
四、招聘方法
本次公开招聘采取公开考试与组织考核相结合的方式进行。
(一)笔试
1.笔试内容。笔试包括公共科目和专业科目考试。
公共科目考普通高等师范院校教育学和教师具备的心理学方面相关知识。其中,报考特殊教育学校特殊教育岗位公共科目考特殊教育学、特殊需要儿童的心理学。一张卷,满分100分。
专业科目考试按所报岗位区分。报音乐、体育、美术岗位的考高中语文科目内容;报语文、数学、英语、政治、历史、地理、物理、化学、生物、信息技术岗位的考高中相应科目内容。其中,报特殊教育学校特殊教育岗位的考全日制聋校实验教材初中语文科目内容。专业科目一张卷,满分100分。
2.笔试成绩。笔试成绩以百分计,公共科目占30%,专业科目占70%。
3.笔试加分政策按黑政办发[2013]42号文件和黑政规[2018]17号文件的有关规定执行。符合加分人员需在笔试前进行加分确认,时间、地点详见有关说明项。
(二)面试
1.筛选原则。笔试结束后,各招聘岗位根据笔试成绩由高分到低分的顺序,按参加面试人数与招聘计划数3:1的比例确定进入面试人选。若同一岗位入围线上笔试成绩出现并列,则相应扩大该岗位面试人选数量。
进入面试人员,在面试前要进行现场资格确认。需考生本人提供以下材料:身份证、毕业证、教师资格证原件及复印件;报到证原件或加盖报到证上指定的报到部门公章的复印件;保管档案证明(在职人员须出具单位同意报考证明);报考岗位要求的其他材料。凡有关材料主要信息不实或未能按规定提供上述材料,影响资格确认结果的将取消面试资格,并从相应岗位考生中按笔试成绩依次进行递补。
经现场资格确认,对进入面试人数与招聘计划的比例低于3:1的岗位,将视情况适当缩减招聘计划。
2.面试内容。采取说课形式,报考高中、职业学校教师岗位说课内容为相应专业科目现行高中教材知识;报考初中、小学教师岗位说课内容为相应专业科目现行初中教材知识;报体育(足球、速滑)岗位说课内容与其他体育岗位相同;报特殊教育岗位面试内容为说课和手语翻译,说课内容为智力残疾学生使用的辅读学校《实用语文》。
3.面试成绩。面试成绩满分为100分,达不到60分者不予聘用。
(三)考试总成绩计算
考试总成绩按百分计。考试总成绩=笔试成绩×60%+面试成绩×40%。
(四)体检与考核
根据考试总成绩,按招聘计划数与体检、考核人数1:1的比例确定进入体检和考核人选。若同一岗位入围线上考试总成绩出现并列,依次以面试成绩、笔试专业科目成绩高者确定进入体检和考核人选。体检、考核工作由用人单位主管部门负责组织。体检内容及健康标准参照《国家公务员录用体检通用标准》执行。体检或考核不合格者不予聘用,由此产生的空缺不予递补。
(五)公示
根据考试总成绩、考核与体检结果确定拟聘用人选并统一进行公示。公示期满,对有问题反映并查实影响聘用的取消聘用资格,由此产生的空缺不予递补。
(六)聘用
对公示期满无异议人员,由用人单位主管部门按照事业单位聘用程序到市人社、编制部门办理聘用、落编手续。被聘用人员试用期为6个月。试用期满经用人单位考核合格的予以正式聘用,不合格的取消聘用资格。
五、有关说明
(一)免收笔试考务费确认、笔试加分确认时间:2019年8月12日9:00—11:00,地点在大庆市人才服务局一楼交流大厅(大庆市萨尔图区中宝路88号)。符合免收报名费人员须携带市、县(区)级民政部门或扶贫办出具的享受最低生活保障金证明、低保证或特困家庭基本情况档案卡原件及复印件等相关材料进行免费确认。符合加分政策的报考人员,我省“项目生”须提供省级主管部门出具的相关证明及服务协议、证书等佐证材料(证明应包括姓名、身份证号、项目生类别、服务起始时间、服务单位、服务岗位、考核结果等);我省城乡基层公益性岗位工作满2年的高校毕业生须提供市级人社部门(含公益性岗位主管部门)及服务单位出具的相关证明及劳动合同等佐证材料(证明应包括姓名、身份证号、公益性岗位工作起始时间、工作单位、工作岗位、考核结果等);由我省各级兵役机关征集入伍的普通高等学校毕业入伍大学生服现役期满退役的,须提供批准入伍地的县(市、区)人民政府征兵办公室出具的证明材料、退伍证、毕业证。不按时确认的视为自动放弃加分资格。
(二)本公告中关于年龄、学历、资格、符合加分政策时限计算截止日期为2019年7月31日(含当日)。
(三)报考人员需时刻关注网络发布的公告且保持通讯畅通,因个人原因导致招聘部门无法联系到报考人员造成错过考试任何环节的,报考人员自行承担相关责任。
(四)本次公开招聘不指定辅导用书,不举办也不委托任何机构组织辅导培训班。目前社会上出现的假借招聘考试命题组、专门培训机构等名义举办的辅导班、辅导网站或发行的出版物、上网卡等均与本次公开招聘无关,敬请广大报考人员提高警惕,切勿上当受骗。
(五)本公告由大庆市人力资源和社会保障局负责解释。政策咨询电话:0459-6363178。
大庆市人力资源和社会保障局
2019年7月31日