6月16日上午合肥中考全部结束,孩子们的考试结束了,家长们的心却吊了起来。这两天,有很多考生尤其学霸生家长们@万民说让预估一下2021年的合肥一中、六中、八中联招统招分大概多少分?

中考刚结束,分数还未公布,预估难度非常大,预测结果存在很大的不确定性,预估有风险,很容易打脸。

应众多考生家长要求,@万民说进行了大胆推测。文中的结论,仅是推测,各位家长和考生看看而已,仅作参考。最终以官方消息为准!
一、说一说考分达到大一六八统招线对考生有何利好
考上了大一六八统招线以上,对孩子进入高一分班那绝对是个利好。2020年,合肥一中、六中、八中统招线712分,按照7月31日上午,合肥一中、六中、八中三校联招说明暨咨询会上,三个学校主要领导现场承诺:分班优惠政策,中考715分及以上,进1类班;704—714分,进2类班。
合肥一六八中学分班跟大一六八大同小异,各自微调。也就是说,您的孩子没有走强基班,也没有走科技类、艺术类、体育类等特长生,考到统招分以上,无论他上合肥一中、六中、八中、一六八中还是科大附中,对他的高一分班绝对是个天大的利好。

二、看看往年大一六八联招统招分数线大概名次
为了更准确的判断,我们选择了2016—2020年近五年,我们看看每年的大一六八统招分数线在考生中居于什么名次,从中能不能发现有什么规律?
2016年:合肥一中、六中、八中联招分数线为754分,预计排名在860—960名左右。

2017年:合肥一中、六中、八中联招分数线为762分,预计排名在870—950名左右。

2018年:合肥一中、六中、八中联招分数线为767分,排名在840—940名左右。

2019年:合肥一中、六中、八中联招分数线为757分,排名在890-1000名左右。

2020年:合肥一中、六中、八中联招分数线为712分,排名在1000—1150名左右。

2016—2018年,大一六八统招线基本上维持在840—960这个区间段,相对稳定。但是到了2019年和2020年,这个区间段呈现逐年大幅下滑的趋势,主要因素是合肥一六八中2019年市外招生计划在2018年基础上削减了50%,2020年不再面向市外招生,所以一定程度上倒逼合肥一六八中学加大了对市内尖子生招生力度。
所以说从 近五年的数据看,小一六八是影响大一六八统招线名次变化最主要的因素。预测大一六八名次,必须把小一六八这个重要因素考虑进去。
三、2021年的大一六八联招统招线名次预测
(一)大一六八联招统招线大概名次
上面我们分析了近五年的大一六八统招线排名,因为经过2019年和2020年的招生变化,2021年合肥一六八中学招生政策基本稳定。所以我们以2020年排名为基础,综合各项因素,进行预判。
2021年,影响合肥一中、六中、八中联招统招分变动的因素有哪些呢?这些因素的变动对排名又会有什么影响?
1.招生政策变动
我们先来看两组数据。
2021年: 合肥一中、六中、 八中每校普通班计划 1750 人(含自主招生);一中强基实验班80人、六中强基实验班40人、八中强基实验40人。
2020年: 合肥一中、六中、八中每校普通班计划1750人(含自主招生,一中强基实验班40人)。
两个一对比,我们不难发现其中的变化:2020年合肥一中强基班40人纳入普通班招生计划,但在2021年合肥一中强基80人、六中40人、八中40人不纳入普通班计划。这160人单独列的话, 影响统招线至少下滑100-120名左右 。
2.其他学校影响
(1)合肥一六八中学的影响
通过2016年—2020年的情况来看,合肥一六八中学是影响大一六八统招线排名的最主要因素。
6月18日下午合肥市教育局明确了大一六八摇号招生政策的改革,很多尖子生家长再也不担心摇号了。往年没有参与强基、特长生的尖子生家长们,有的为了刻意回避大一六八摇号而去选择小一六八,但今年这个的概率相对往年势必大幅下滑。如果单从这个因素来考虑,统招分以上的学生选择小一六八势必比往年要少。

但是通过今年高考前的几次模拟考试成绩来看,合肥一六八中一枝独秀,今年高考,对小一六八势必是大丰收之年。高考成绩出来后,小一六八势必会吸引到部分优秀的尖子生。
两个因素一涨一消,综合起来看,小一六八今年对大一六八统招线排名的影响程度跟往年大概率一致。
(2)科大附中创新班的影响
中科大附中创新班的横空出世,让今年中考的尖子生又多了一项选择。通过前期的宣传,家长们对中科大附中创新班有了更多的关注。根据家长们透露的消息,科大附中创新班,目前科大附中直升13人,在科大附中年级排名20名左右,这13名学生在包河区前期模拟联考中排名相当高。科大附中这直升的13人,正常的应该都在统招线以上。

科大附中创新班招生人数,官方目前没有具体明确,有的说不超过40人,有的说30人。下一步科大附中在招生中肯定会想法设法保证创新班生源质量。所以说科大附中创新班的考生录取成绩大概率应该在统招线以上。按照30人计算的话, 科大附中创新班影响大一六八统招线下滑30名左右 。
招生政策的变动,科大附中创新班的影响,这两个因素叠加,今年大一六八统招线排名,相对2020年预计下滑130—150名左右。2020年排名在1000—1150名左右,那么2021年下滑130—150, 2021年大一六八联招统招分数线名次在1130-1300名。
三、预估一下2021年的大一六八联招统招分数线
我们以2020年为参考,2020年大一六八联招统招分数线为712分。看看今年和去年相比,今年的联招统招分数线会达到多少?
01.试卷难易程度
2021年两天半的中考,考生们的情绪犹如过山车,第一天欢天喜地,第二天哭声一片,第三天喜出望外。三天一轮回,从大喜到大悲,再从大悲到大喜。
第一天的语文考试绝大部分考生觉得比往年要来得更简单一点。但是今年的作文题“憧憬高中生活”,看似简单,其实暗藏玄机,要想拿高分真的不容易。 这项比去年低2—3分。
数学很难,尤其是最后一题,甚至难住了为数不少的学霸。有不少学霸栽在最后一道题上,磕磕碰碰做完,想拿满分真的不容易。数学这一科, 相对去年要低5—6分 。
理化和政史课目难度系数与去年相比稍微要高一点。这四科综合起来相对去年要 低3—4分 。
英语比去年略为简单。相对去年可 提高2-3分 。
综上所述, 如果在考生整体水平不变的情况下,2021年统招分将下降8-10分 。
02.自发性成长
合肥市区每年的中考分用“吓人”一词概括,毫不为过,尤其高分考生越来越多,逐年拔高。
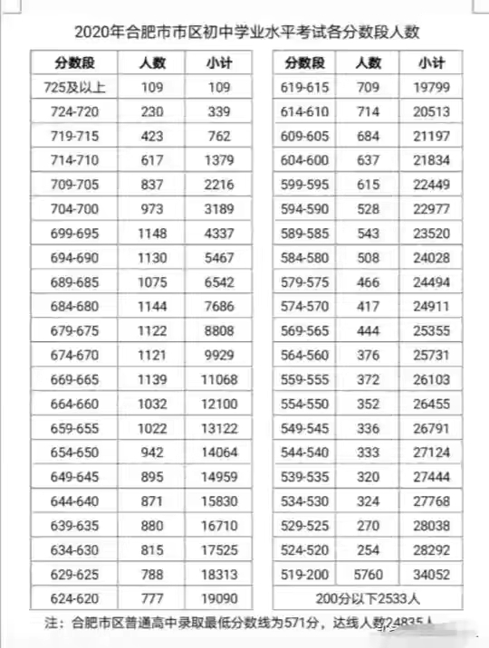
跟省内其他地市比,比如2020年中考,媒体广为报道的六安市九门课六门满分的周同学,她的成绩放在合肥市区已经是两百名左右了。周同学,中考总分732分,如果实验20分,按照10分算的话,那总分就是722分,这个成绩放在合肥市区已经是两百名左右了。
跟合肥下辖的“四县一市”比,以教育最强的肥东县为例,12184名考生,710分以上只有26人,这个尖子生的数量不抵合肥市排名前二十的任何一所学校。
合肥市区的考生,在家长的鸡娃下,成绩逐年拔高。考虑到这个因素的话,2021年会助推统招分 上涨2—3分。

03.大一六八联招统招线大概名次的下移
前面我们讲到2021年合肥大一六八统招线预计排名在1130—1300名左右,这相对去年下降130—150名。2020年在统招线附近,一分大概在124人左右。所以按照去年推算,2021年统招线名次的下移,势必会导致统招分数线的降低。 降低130—150名,会导致分数线大概降低1分。
我们来汇总一下,试卷难易程度导致分数线下降8—10分,自发性成长会助推分数线上涨2—3分,大一六八名次下移分数线大概下降1分。多重因素叠加,会导致今年的大一六八统招线相对去年下降6—9分。今年大一六八统招分数线预计会在703—706分。
最终结论:
1.2021年合肥一中、六中、八中联招统招线预计排名在1130—1300名左右。
2.2021年合肥一中、六中、八中联招统招分数线预估703—706分。