世界是丰富多彩的,观察世界的眼光是多元的。文学借助形象,展示人文关怀;科*运学**用实证,揭示自然规律;数学利用抽象,发现数的规律,寻找形的结构抽象,即从具体事物中抽取出来的相对独立的属性、关系等。

清末著名画家郑板桥一生咏竹,谈到画竹的体会时曾写到:"其实胸中之竹并不是眼中之竹也,因而磨墨展纸,落笔倏作变相,手中之竹又不是心中之竹也。"因心中之竹是抽象存在的竹子,故画出的竹子比现实中的竹子更有风骨,这就是抽象的存在。超脱对象的具体产生的数,图形中的点既无大小又无颜色……数学的抽象舍弃事物的其他一切方面而仅保留数量关系和空间形式。

苏联著名数学家柯尔莫哥洛夫在《数学:它的内容方法和意义》一书中指出数学有三大特点,即抽象性、严谨性、应用的广泛性。
数学的眼光是深沉的,它使我们看问题入木三分,明察秋毫,在浓缩的空间关系中,在组合的数量关系里,使我们看到数学现象的魔光幻影、神秘莫测,以及数学的知识、思想、方法在我们生活中的应用。当你用数学的眼光看待生活时,你会发现生活处处是数学!

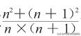
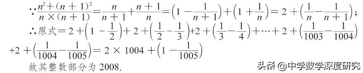
解析:问题涉及1004项的求和,从揭示A中第n项

的特征入手。
由具体到抽象,常反映在用字母表示数,有利于揭示问题中的数量关系,便于找到数量的依存关系或相等关系。


例2.在数学学习过程中,通常是利用已有的知识与经验,通过对研究对象进行观察、实验、推理、抽象概括,发现数学规律,揭示研究对象的本质特征。
比如"同底数幂的乘法法则"的学习过程是利用有理数的乘方概念和乘法结合律,由"特殊"到"一般"进行抽象概括的:

(1)请你根据上面的材料归纳出a、b、c(a>b>0,c>0)之间的一个数学关系式;
(2)试用(1)中你归纳的数学关系式,解释下面生活中的一个现象:"若m克糖水里含有n克糖,再加入k克糖(仍不饱和),则糖水更甜了";
(3)如图,在Rt△ABC中,∠C=90°,CB=a,CA=b,AD=BE=c(a>b),能否根据这个图形提炼出与(1)中相同的关系式并给予证明.


荷兰著名数学家弗赖登塔尔说:"与其说是学习数学,不如说是学习数学化。"例2是一个数学化的探究过程,我们不能说:"糖水加糖更甜了"是数学,但提炼为真分数不等式就是数学了。"
美国著名的数学教育家赫斯认为:"数学教学的问题并不在于寻找最好的教学方式,而在于明白数学是什么,如果不正视数学的本质问题,便永远解决不了教学上的争议。"一般认为,数学知识的本质,既表现为隐藏在客观事物背后的数学知识、数学规律,又表现为隐藏在数学知识背后的本质属性。数学教学教什么?毋庸置疑,摆在第一位的肯定是教学内容的本质。

例3.某单位要将一份宣传资料进行批量印刷.在甲印刷厂,在收取100元制版费的基础上,每份收费0.5元;在乙印刷厂,在收取40元制版费的基础上,每份收费0.7元.设该单位要印刷此宣传资料x份(x为正整数).
(1)根据题意,填写下表:

(3)当x≥100时,在哪家印刷厂花费少?请说明理由.
【解析】:(1)由题意可得,
当x=250时,甲印刷厂的费用为:100+0.5×250=225(元),
当x=450时,甲印刷厂的费用为:100+0.5×450=325(元),
当x=350时,乙印刷厂的费用为:40+0.7×350=285(元),
故答案为:①225;②325;③285.
(2)根据题意,得y1=100+0.5x,y2=40+0.7x.
(3)设在甲、乙两个印刷厂收费金额的差为y元,则y=y1﹣y2=60﹣0.2x.
当y=0时,即60﹣0.2x=0,得x=300.
∴当x=300时,在甲、乙两个印刷厂花费相同.
∵﹣0.2<0,∴y随x的增大而减小.
∴当100≤x<300时,有y>0,在乙印刷厂花费少;
当x>300时,有y<0,在甲印刷厂花费少.
变式1.某社区活动中心为中老年舞蹈队统一队服和道具,准备购买10套某种品牌的舞蹈鞋,每双舞蹈鞋配x(x≥2)个舞蹈扇,供舞蹈队队员使用.该社区附近A,B两家超市都有这种品牌的舞蹈鞋和舞蹈扇出售,且每双舞蹈鞋的标价均为30元,每个舞蹈扇的标价为3元,目前两家超市同时在做促销活动:
A超市:所有商品均打九折(按标价的90%)销售;
B超市:买一双舞蹈鞋送2个舞蹈扇.
设在A超市购买舞蹈鞋和舞蹈扇的费用为y₁(元),在B超市购买舞蹈鞋和舞蹈扇的费用为y₂(元).请解答下列问题:
(1)分别写出y₁,y₂与x之间的关系式;
(2)若该活动中心只在一家超市购买,你认为在哪家超市购买更划算?
【解答】:(1)由题意,得y₁=(10×30+3×10x)×0.9=27x+270(x≥2);
y₂=10×30+3(10x﹣20)=30x+240(x≥2);
(2)当y₁=y₂时,27x+270=30x+240,得x=10;
当y₁>y₂时,27x+270>30x+240,得x<10;
当y₁<y₂时,27x+270<30x+240,得x>10
∴当2≤x<10时,到B超市购买划算,当x=10时,两家超市一样划算,当x>10时在A超市购买划算.
变式2.某市对电话费作了调整,原市话费为每3分钟0.2元(不足3分钟按3分钟计算).调整后,前3分钟为0.2元,以后每分钟加收0.1元(不足1分钟按1分钟计算).设通话时间x分钟时,调整前的话费为y₁元,调整后的话费为y₂元.
(1)当x=4,4.3,5.8时,计算对应的话费值y₁、y₂各为多少,并指出x在什么范围取值时,y₁≤y₂;
(2)当x=m(m>5,m为常数)时,设计一种通话方案,使所需话费最小.
【解答】:(1)当x=4时,y₁=0.4,y₂=0.3;
当x=4.3时,y₁=0.4,y₂=0.4;
当x=5.8时,y₁=0.4,y₂=0.5;
当0<x≤3或x>4时,y₁≤y₂。
(2)参考方案:
设n≥2且n是正整数,通话m分钟所需话费为y元,
①当3n﹣1<m≤3n时,使所需话费最小的通话方案是:
分n次拨打,其中(n﹣1)次每次通话3分钟,一次通话(m﹣3n+3)分钟,
最小话费是y=0.2n
②当3n<m≤3n+1时,使所需话费最小的通话方案是:
分n次拨打,其中(n﹣1)次每次通话3分钟,一次通话(m﹣3n+3)分钟,
最小话费是y=0.2(n﹣1)+0.3=0.2n+0.1
③当3n+1<m≤3n+2时,使所需话费最小的通话方案是:
分n次拨打,其中(n﹣2)次每次通话3分钟,一次通话4分钟,一次通话(m﹣3n+2)分钟,
最小话费是y=0.2(n﹣2)+0.6=0.2n+0.2。

例4.甲,乙两辆汽车同时从同一地点A出发,沿同一方向直线行驶,每辆车最多只能带240L汽油,途中不能再加油,每升油可使一辆车前进12km,两车都必须沿原路返回出发点,但是两车相互可借用对方的油.请你设计一种方案,使其中一辆车尽可能地远离出发地点A,并求出这辆车一共行驶了多少千米?
【分析】本题中由于两车相互借对方的油,那么他们所走的距离和≤240×12×2,他们所走的距离差≤240×12.由此可得出自变量的取值范围.
如果要让一辆车尽可能的远离A地并同时返回,那么就必须让一辆车行驶一段后,把油给对方(要刚好留下回A地的油),让对方走掉加的这些油后开始向A地返回,两者碰头后一起回A地.那么这个离A地最远的距离就应该是车行驶一段的距离+停下后给对方的油量可行驶的距离(要留下回A地的油).根据此关系可求出走这个最远距离所需的油量,然后进行分配即可.
【解答】:设尽可能远离A地的甲汽车共走了x千米,乙汽车共走了y千米,则x+y≤240×12×2,且x﹣y≤240×12,∴x≤4320,所以x最大为4320千米.
设从A到尽可能的离A的距离是m千米,其中借给对方油的那辆车走了n千米后停下,
那么m=n+(240﹣x÷12×2)×12÷2=1440千米
那么需要用油1440÷12=120升,那么就是走这个最远距离一次(单趟)需要120升油,
那么可得出的方案是:甲,乙共同走720千米,乙停下等甲,并且给甲60升汽油,甲再走1440千米后回头与乙会合,乙再给甲60升汽油后,两车同时回到A地.
也可画图表示为:(如右图).

本题考查一元一次不等式的应用,将现实生活中的事件与数学思想联系起来,读懂题列出不等式关系式即可求解.
变式1.为了鼓励市民节约用电,某市对居民用电实行"阶梯收费"(总电费=第一阶梯电费+第二阶梯电费).规定:用电量不超过200度按第一阶梯电价收费,超过200度的部分按第二阶梯电价收费,如图是张磊家2019年4月和5月所交电费的收据.
(1)该市规定的第一阶梯电价和第二阶梯电价单价分别为多少?
(2)张磊家6月份家庭支出计划中电费不超过198元,他家最大用电量为多少度?

【解答】:(1)设该市规定的第一阶梯电价单价为x元,第二阶梯电价单价为y元,

答:该市规定的第一阶梯电价单价为0.6元,第二阶梯电价单价为0.65元.
(2)设张磊家6月份的用电量为m度,
依题意,得:0.6×200+0.65(m﹣200)≤198,解得:m≤320.
答:张磊家6月份最大用电量为320度.

例5.有A,B,C,D四支排球队进行单循环赛,记分规则是:两队比分为3:0或3:1时,胜队积3分,负队积0分;比分为3:2时,胜队积2分,负队积1分,比赛结果是A队和B队并列第一,C队和D队分别获得第三和第四.问:四支队的总积分有几种不同的情况?并对每种情况,列出各队每场的积分。
("华罗庚金杯"少年数学邀请赛试题)
·分析与解恰当代数化,通过放缩结果寻找解决问题的突破口,按照记分规则,一场比赛产生3分,四队单循环比赛,有6场比赛,共产生18分,设A,B,C,D四支排球队总积分分别为x,x,y,z,由题意可知:

由(*)可得18=2x+y+z≤2x+x-1+x-2=4x-3,解得x≥5.25;由第一个方程可得:y+z是偶数,且C队和D队之间必须进行一场比赛,所以y+z≥4,则有2x+4≤2x+y+z=18,解得x≤7.
(1)当x=7时,y=3,z=1,
(2)当x=6时,y=4或y=5,z=1。
所以,四个队的总积分有3种不同的情况:

400米跑道是怎样划分的?如何用数学来证明足球比赛对上场人数的规定?
在多数人眼中,体育与数学往往只能擦肩而过,但数学与体育实际上却联系密切。
数学来源于生活,生活之中处处有数学,我们要学会用数学的眼光观察世界,用数学的思维思考世界,用数学的语言表达世界。数学最本质的东西就是抽象。数学家的眼光是抽象的眼光。

正如古希腊著名学者亚里士多德曾说:可以推断,数学的发展所依赖的最重要的基本思想就是抽象。以符代数不只是字母"代替"文字、"代替"数字的过程,而是具体数字符号化和形式化的抽象过程,是静态数学一般化、动态化的过程。
著名数学家张景中院士在其科普名著《数学家的眼光》中写道:"从普通的、众所周知的事实出发,步步深入推广、挖掘出广泛适用的深刻规律.从这里显示出数学家的透彻、犀利的目光,也表现了数学家穷追不舍、孜孜以求地探索真理的精神。"