2021-2022学年初二物理期中考试卷
考前必刷卷(提升卷)
(考试时间:90分钟 试卷满分:100分)
注意事项:
1.本试卷分第Ⅰ卷(选择题)和第Ⅱ卷(非选择题)两部分。答卷前,考生务必将自己的姓名、准考证号填写在答题卡上。
2.回答第Ⅰ卷时,选出每小题答案后,用2B铅笔把答题卡上对应题目的答案标号涂黑。如需改动,用橡皮擦干净后,再选涂其他答案标号。写在本试卷上无效。
3.回答第Ⅱ卷时,将答案写在答题卡上。写在本试卷上无效。
4.测试范围:人教版第七、八、九章。
5.考试结束后,将本试卷和答题卡一并交回。
一、选择题(本题共12小题,每小题2分,共28分。在每小题给出的四个选项中,第1~8题只有一项符合题目要求,第9~12题有多项符合题目要求。全部选对的得3分,选对但不全的得2分,有选错或不答的得0分。)
1.以下是我们生活中常见到的几种现象:①篮球撞击在篮板上被弹回;②用力揉面团,面团形状发生变化;③用力握小球,球变瘪了;④一阵风把地面上的灰尘吹得漫天飞舞。在这些现象中,物体因为受力而改变运动状态的是( )。
A.①② B.①④ C.②③ D.②④
【答案】B。
【解析】①篮球撞击在篮板上被弹回是由于受到了篮板的力而改变了运动状态,故①符合题意;
②面团形状发生变化是由于受力改变了物体的形状,故②不符合题意;
③小球变瘪是由于受力改变了物体的形状,故③不符合题意;
④灰尘吹得漫天飞舞是由于风的吹力使灰尘的运动状态发生了改变,故④符合题意。
故选B。
2.根据你对生活中物理量的认识,指出下列数据最符合生活实际的是( )。
A.中学生课桌高约为80cm;
B.两个普通鸡蛋中约为10N;
C.人正常步行的速度约为12m/s;
D.珠穆朗玛峰山脚今天的大气压约1.5×105 Pa
【答案】A。
【解析】A.中学生的身高一般在160cm左右,而课桌高约为学生身高的一半,即80cm左右,故A符合题意;
B.一个普通鸡蛋的质量大约为50g,两个普通鸡蛋的重力约为

,故B不符合题意;
C.人正常步行的速度约为

,故C不符合题意;
D.标准大气压为1.013×105 Pa,大气压随高度的增加而降低,珠穆朗玛峰山脚的海拔较高,大气压低于一个标准大气压,故D不符合题意。故选A。
3.下列结果中,不是由弹力产生的是( )。
A.撑竿跳高运动员跳起并跃过横杆;
B.手中的石块释放后自由下落;
C.玩具手枪用弹簧将“*弹子**”射出去;
D.“蹦极”运动中落到低处的人被绳拉起
【答案】B。
【解析】因为弹力是由于物体发生弹性形变时产生的力,而ACD均是由于弹力产生的效果,而B是由于重力产生的。故选B。
4.关于“立定跳远”,以下说法不正确的是( )。
A.立定跳远前,静止站在地面上的人所受的重力和支持力是一对平衡力;
B.立定跳远时,向后蹬地瞬间,人受到向前的力,说明物体间力的作用是相互的;
C.立定跳远中,人离地后继续向前运动,因为受到惯性力的作用;
D.从起跳,腾空到落地的过程中,体现了力可以改变物体的运动状态
【答案】C。
【解析】A.立定跳远前,静止站在地面上的人所受的重力和支持力,大小相等、方向相反、作用在同一物体上、作用在同一直线上,属于一对平衡力,故A正确,不符合题意;
B.立定跳远时,脚要用力向后蹬地,由于物体间力的作用是相互的,人受到向前的力,故B正确,不符合题意;
C.立定跳远中,人离地后继续向前运动,由于人具有惯性,惯性不是力,不能说是受到惯性力的作用,故C错误,符合题意;
D.从起跳,腾空到落地的过程中,人的运动状态发生改变,说明力可以改变物体的运动状态,故D正确,不符合题意。故选C。
6.在足球课上,小明用脚将足球踢出足球在草地上滚动,下列分析正确的是( )。
A.以滚动的足球为参照物,球门是静止的;
B.踢出后的足球继续滚动,是由于惯性的原因;
C.脚踢球时感到疼,说明力可以改变物体的运动状态;
D.足球鞋底凹凸不平,是为了减小对地面的压强
【答案】B。
【解析】A.以滚动的足球为参照物,球门与足球的位置不断的发生变化,即球门是运动的,故A错误;
B.一切物体都有保持原来运动状态不变的性质,叫惯性,所以,踢出后的足球继续滚动,是由于惯性的原因,故B正确;
C.脚踢球时,给球一个力的同时,球给脚一个力的作用,所以,脚感到疼,说明力的作用是相互的,故C错误;
D.足球鞋底凹凸不平,是在压力一定时,通过增大接触面的粗糙程度来增大摩擦力,故D错误。故选B。
7.关于体育活动项目,下列说法正确的是( )。
A.跳远项目中,助跑是为了增大运动员的惯性;
B.单杠活动中,运动员手涂防滑粉是为了增大摩擦;
C.拔河比赛中,获胜方对绳子拉力大于另一方对绳子拉力;
D.举重过程中,地面对运动员的支持力和运动员自身的重力是一对平衡力
【答案】B。
【解析】A.跳远运动员在起跳前要助跑是为了利用惯性,但惯性的大小只与物体的质量有关,所以不能增大惯性,故A错误;
B.单杠活动中,运动员手涂防滑粉是通过增大接触面的粗糙程度增大摩擦,故B正确;
C.两队拔河,两队之间的力是一对作用力和反作用力,所以在不考虑绳子重力的情况下,获胜方对绳子的拉力等于输掉的一方对绳子的拉力,故C错误;
D.地面对运动员的支持力和运动员所受的重力大小不相等,不是一对平衡力,故D错误。
故选B。
8.如图甲所示,放在水平地面上的物体,受到方向不变的水平推力F的作用,F的大小与时间t的关系和物体运动速度v与时间t的关系如图乙所示.下列判断正确的是( )。

A.t=3s时,物体受到力的合力为零;
B.t=6s时,将F撤掉,物体立刻静止;
C.2s~4s内物体所受摩擦力逐渐增大;
D.t=1s时,物体所受摩擦力是1N
【答案】D。
【解析】A.由图可知,2~4s做加速直线运动, t =3s时,处于非平衡状态,受到非平衡力,受到的合力不为零,故A错误;
B.由图可知,4-6s做匀速直线运动, t =6s时,将 F 撤掉,物体由于惯性向前运动一段距离,不会立刻静止,故B错误;
C.由图可知,4s~6s物体做匀速直线运动,拉力与摩擦力平衡,此时拉力为2N,可知摩擦力也为2N;2~4s做加速直线运动,压力和接触面的粗糙程度不变,摩擦力不变,仍然为 2N,故C错误;
D.0~2s,物体没有推动,处于静止状态,此时摩擦力与推力平衡,摩擦力等于推力, t =1s时,推力为1N,物体所受摩擦力是1N,故D正确。
9.如图所示,A、B两个物体叠放在水平面上,同时用力F1 、F2 的分别作用于A、B两个物体上,A、B始终处于静止状态,其中力F1 =3N,方向水平向左,力F2 =5N,方向水平向右,下列分析正确的是( )。

A.A 对B的摩擦力为3N,方向水平向左;
B.地面对B的摩擦力为2N,方向水平向左;
C.地面对B的摩擦力为5N,方向水平向左;
D.B对A的摩擦力为5N,方向水平向右
【答案】AB。
【解析】AD.以A为研究对象,A在水平方向上受水平向左的拉力 F 1 和B对A向右的静摩擦力,A才可能处于静止状态,受到的这两个力是平衡力,大小相等,B对A的摩擦力为3N,A和B之间摩擦力为3N,故A正确,D错误;
BC.物体B处于静止状态,水平方向上受到A对B水平向左的摩擦力、地面对B水平向左的摩擦力、水平向右的拉力 F 2 ,这三个力是平衡力,所以地面对B水平向左的摩擦力与A对B水平向左的摩擦力之和等于水平向右的拉力 F 2 ,所以B下表面受到地面的摩擦力大小为5N-3N=2N,方向向左,故C错误,B正确。故选AB。
10.图所示能够说明流体压强与流速关系的是( )。
A.

拦河坝设计成上窄下宽;
B.

向下吹气,乒乓球不下落;
C.

用吸盘搬运玻璃;
D.

站在安全线以外候车
【答案】BD。
【解析】A.因为液体的压强随深度的增加而增大,拦河坝设计成上窄下宽,会更好的保护拦河坝,故A不符合题意;
B.用漏斗向下吹气,乒乓球不落下,漏斗上方的空气流动速度变大,压强变小,故B符合题意;
C.用吸盘搬运玻璃,在使用吸盘时,吸盘内的空气会被抽出,大气压能把吸盘紧紧的压在玻璃上,故C不符合题意;
D.列车在行驶时,周围的空气流动速度变大,压强会变小,为了保护候车乘客的安全,需要站在安全线以外候车,故D符合题意。故选BD。
11.下列关于力的说法正确的是( )。
A.在水平路面上行驶的汽车,受到的牵引力和阻力是一对相互作用力;
B.花瓶静止放置在水平桌面上,花瓶受到的重力和花瓶受到的支持力是一对平衡力;
C.划船时,浆对水的力和水对浆的力是一对相互作用力;
D.加速上升的火箭、火箭受到的燃气的推力和火箭自身的重力是一对平衡力
【答案】BC。
【解析】A、在水平路面上行驶的汽车,受到的牵引力和阻力大小相等、方向相反、作用在同一个物体上,作用在同一条直线上,是一对平衡力,不是相互作用力.故A错误;
B、花瓶静止放置在水平桌面上,花瓶受到的重力和花瓶受到的支持力大小相等、方向相反、作用在同一个物体上,作用在同一条直线上.是一对平衡力.故B正确;
C、划船时船桨对水的作用力与水对船桨的作用力大小相等、方向相反、在同一直线上、作用于两个不同的物体上是一对相互作用力;故C正确;
D、火箭人加速上升时,即处于加速运动,不是平衡状态,故火箭受到的燃气的推力和火箭自身的重力不是平衡力,故D错误。故选BC。
12.下列说法错误的是( )。
A.跳远运动员快速助跑后,飞身鱼跃,受惯性力的作用在空中继续前进;
B.在水平道路上做匀速直线运动的汽车,受到的牵引力和阻力是一对平衡力;
C.要让自行车更快的停下来,用力捏闸是通过增大压力来减小摩擦;
D.拉力越大,弹簧被拉得越长,由此可知,力的作用效果只与力的大小有关
【答案】ACD。
【解析】A.惯性是物体本身的一种属性,而不是力,故跳远运动员快速助跑后,飞身鱼跃,由于惯性会仍然保持运动状态,在空中继续前进,故A错误;
B.汽车在平直道路上作匀速直线运动时,是平衡状态,受力平衡,受到的牵引力和阻力,支持力和重力,两对平衡力的作用,故B正确;
C.用力捏闸,使行驶中的自行车更快停下来,这是通过增大压力增大摩擦,故C错误;
D.用力拉弹簧,力度越大,弹簧就被拉得越长,说明了力的作用效果与力的大小有关,但力的三要素都能影响力的作用效果,故D错误。故选B。
二、填空题(6小题,每题空1分,共14分)
13.弹簧测力计是用来测量________(选填“质量”或“力”)的大小,如图所示的弹簧测力计的分度值是________N,弹簧测力计对物体A的拉力为________N。

【答案】力;0.2;2.2。
【解析】弹簧测力计是测量力的工具。由图可知,弹簧测力计每一个大格为1N,分成5个小格,则每一个小格为0.2N,即分度值是0.2N,测力计的示数为2.2N,即弹簧测力计受到物体A的拉力为2.2N。
14.质量70kg的消防员背负10kg的装备沿竖直金属杆匀速下滑,此时消防员所受的摩擦力大小是______N,方向是____。(g取10N/kg)
【答案】800;竖直向上(向上)。
【解析】因为消防员沿竖直金属杆匀速下滑,所以受到的重力和摩擦力是一对平衡力,重力为:G=(70kg+10kg)×10N/kg=800N,方向是竖直向下;
则此时消防员所受的摩擦力大小也是800N,方向是竖直向上。
15.如图所示,是水平仪放置于某桌面上时的情形,它是利用了______的原理;此时说明桌面______面较高。(选填“左”或“右”)

【答案】重力方向总是竖直向下;左。
【解析】重力是由于地球的吸引而使物体受到的力,重力的方向始终竖直向下,此特点有着重要的应用;
如图所示,是水平仪放置于某桌面上时的情形,它就是利用了重力方向竖直向下的原理;此时重垂线与支架不重合,说明桌面不水平,如图可知,重垂线偏向右侧,说明桌面左侧高。
16.为了探究力与运动的关系,先后三次让同一滑块从同一斜面的顶端由静止滑下,分别滑到表面粗糙、表面比较平滑和表面很平滑的水平面上,这样做的目的是为了研究在阻力______时,滑块在水平面上运动距离的情况,观察到的现象是______,由此可推理得出______。
【答案】不同;滑块滑行距离变远;见详解。
【解析】[1]分别滑到表面粗糙、表面比较平滑和表面很平滑的水平面上,阻力不同。
[2][3]阻力依次减小,所以滑块滑行距离变远,由此可推理得出,如果物体不受阻力,将一直做匀速直线运动。
17.根据如图所示的公交车内的现象判断,公交车在运动过程中突然_______(“加速”或“减速”),乘客由于___________而向前倾倒。

【答案】减速;惯性。
【解析】[1][2] 公交车在运行时,乘客随车一起运动,当车突然减速时,乘客的脚受到摩擦力作用而随车一起减速,而上身由于惯性要保持原来的运动状态,于是向前倾。
18.我国首台自主设计研发的载人深潜器“蛟龙号”最大下潜深度可达7000m,此处海水产生的压强约为_______Pa,此时“蛟龙号”每0.5m2 外表面受到海水的压力为_______N。(海水的密度取1.0×103 kg/m3 ,g取10N/kg)
【答案】7×107;3.5×107。
【解析】[1]7000m深度海水产生的压强
p = ρ 海水 gh =1.0×103 kg/m3 ×10N/kg×7000m=7×107 Pa;
[2]由

得“蛟龙号”每0.5m2 外表面受到海水的压力
F = pS =7×107 Pa×0.5m2 =3.5×107 N。
三、作图题(2分)
19.按要求作图:如图所示,画出斜面上下滑的物体受到的重力和弹力示意图。

【解析】由受力分析可知,物体受到的重力 G 竖直向下,受到斜面的弹力 F 垂直于斜面向上,如下图所示:

四、实验探究题(本大题5小题,共30分)
20.(5分)地球附近物体都要受到重力,某实验小组的同学们认为物体的重力大小与物体的质量有关,他们用天平、钩码、弹簧测力计进行了如下的探究:

(1)弹簧测力计是根据弹簧的________的原理制成的;
(2)如图甲所示是同学们第2次测量中弹簧测力计的读数,该测力计的分度值是________N,此时测力计的示数是________N。
(3)同学们将实验数据记录在下表中,请你根据表格中的实验数据,在图乙中作出重力随质量变化的图象
|
质量m(g) |
100 |
200 |
300 |
400 |
|
重力G(N) |
1 |
3 |
4 |
(4)根据图象可以得出的结论是________。
【答案】(1)伸长量与受到的拉力成正比;(2)0.2;2;(3)如图所示;(4)物体所受的重力与其质量成正比。
【解析】(1)弹簧测力计是根据弹簧的伸长量与受到的拉力成正比的原理制成的;
(2)如图甲所示是同学们第2次测量中弹簧测力计的读数,该测力计的分度值是0.2N,此时测力计的示数是2N;
(3)根据表格中的实验数据,在图乙中找出对应的点后连线,如下图所示:

(4)由图乙知,物体的重力随质量的变化关系为一过原点的直线,故可以得出结论:物体所受的重力与其质量成正比。
21.(5分)某实验小组探究二力平衡条件的实验装置如图所示,M为一轻薄塑料片,实验中所用的钩码均为100g,不计绳重及摩擦(g取10N/kg )。


(1)在图甲的装置中滑轮的作用是_______。
(2)当左右两端同时各挂1个钩码时,塑料片静止,其左端受到的拉力F1 与右端受到的拉力F2 的方向_______;当左端再挂上一个钩码时,如图乙所示,塑料片将做_______(选填“匀速”或“变速”)运动,此时塑料片受到的合力为_______N。
(3)在图甲实验的基础上,用剪刀将塑料片从中间剪断,断开的塑料片向两边加速运动,说明不在同一物体上的两个力________平衡(选填“能”或“不能”)。
【答案】改变力的方向;相反;变速;1;不能。
【解析】(1)在图甲的装置中滑轮是定滑轮,它的作用是改变力的方向。
(2)当左右两端同时各挂1个钩码时,塑料片静止,其左端受到的拉力F1向左,右端受到的拉力F2的方向向右,F1、F2的方向相反。
当左端再挂上一个钩码时,如图乙所示,塑料片受到的力左侧大于右侧,故纸片将做变速运动;此时塑料片受到的合力为

;
(3)在图甲实验的基础上,用剪刀将塑料片从中间剪断,断开的塑料片各自受到同侧钩码的拉力向两边加速运动,不再是平衡状态,说明不任同一物体上的两个力不能平衡。
22.(8分)为了探究滑动摩擦力大小与什么因素有关,小夏设计了如图1所示实验(实验所用棉布比木板表面粗糙)。


(1)实验过程中,弹簧测力计应沿水平方向拉着物块做______运动,根据______知识,可知滑动摩擦力的大小等于弹簧测力计的示数;
(2)在这四次实验中,滑动摩擦力最小的是______(选填“甲”、“乙”、“丙”或“丁”);
(3)比较甲、乙两次实验,是为了探究滑动摩擦力大小与______是否有关;比较乙、丙两次实验,是为了探究滑动摩擦力大小与______是否有关;
(4)比较甲、丁两次实验,发现甲实验中弹簧测力计的示数大于丁实验中弹簧测力计的示数,小夏由此得出结论:滑动摩擦力大小与接触面积的大小有关。你认为他的结论是______的(选填“正确”或“错误”),理由是______;
(5)小夏对实验装置进行改进后,如图2所示,当他再进行实验时,发现效果更好。请你说出改进后的优点是______(写出一条即可)。
【答案】匀速直线;二力平衡(二力平衡条件);丁;压力(压力大小);接触面粗糙程度;错误;没有控制压力(的大小)不变(没有控制变量);不用控制长木板做匀速直线运动,便于操作。(弹簧测力计示数稳定,便于读数;弹簧测力计便于读数;弹簧测力计读数准确)
【解析】(1)[1][2]弹簧测力计应沿水平方向拉着物块做匀速直线运动,物体才处于平衡状态,摩擦力才等于接触面的粗糙程度;这是根据二力平衡的知识。
(2)[3]压力最小,接触面最光滑的木板产生摩擦力最小,即丁实验中摩擦力最小。
(3)[4][5]比较甲、乙两次实验,压力不同,接触面的粗糙程度相同,故是为了探究滑动摩擦力大小与压力的大小是否有关;比较乙、丙两次实验,压力相同,接触面的粗糙程度不同,是为了探究滑动摩擦力大小与接触面的粗糙程度是否有关。
(4)[6][7]比较甲、丁两次实验,甲的示数大,但是压力不同,接触面积也不同,无法得出结论,结论是错误的;原因是没有控制压力(的大小)不变,没有控制变量唯一。
(5)[8]改进后,拉动长木板,长木板与木块之间是滑动摩擦力,故大小不变,而木块滑动摩擦力的大小与弹簧测力计的示数是平衡力,直接读数即可,而长木板与木块之间是滑动摩擦力,其大小只与压力和接触面的粗糙程度有关,与速度无关,故不需要匀速直线运动,不用控制长木板做匀速直线运动,便于操作。
23.(6分)如图甲、乙、丙所示,小明利用小桌、海绵、砝码等探究影响压力作用效果的因素。

(1)本实验是通过观察________来比较压力作用效果的。实验中用到的研究方法有________和转换法。
(2)通过比较图甲、乙,说明________,压力的作用效果越明显。
(3)通过比较图________(填序号),说明压力一定时,受力面积越小,压力的作用效果越明显。
(4)将该小桌和砝码放在如图丁所示的木板上,则图丙中海绵受到的压强p和图丁中木板受到的压强p′的大小关系为p________p′(选填“>”“<”或“=”)。
(5)实验时,小明将小桌换成砖块,并将砖块沿竖直方向切成大小不同的两块,如图戊所示,发现它们对海绵的压力作用效果相同。由此得出的结论是压力的作用效果与受力面积无关。你认为他在探究过程中存在的问题是________。
【答案】(1)海绵的凹陷程度;控制变量法;(2)受力面积一定时,压力越大;(3)乙、丙;(4)=;(5)没有控制压力的大小相同。
【解析】(1)根据转换法,本实验是通过观察海绵的凹陷程度来比较压力作用效果的;实验中用到的研究方法有控制变量法和转换法;
(2)通过比较图甲、乙知,受力面积一定,乙中压力大,海绵的凹陷程度大,这说明受力面积一定时,压力越大,压力的作用效果越明显;
(3)探究压力的作用效果与受力面积时,应控制压力的大小不变,而受力面积不同,故应该比较图乙、丙,且可以得出结论:压力一定时,受力面积越小,压力的作用效果越明显。
(4)将该小桌和砝码放在如图丁所示的木板上,与图丙相比,因压力大小和受力面积都相同,则根据p=

可知,图丙中海绵受到的压强p和图丁中木板受到的压强p′的大小关系为p=p′;
(5)研究压力的作用效果与受力面积的关系时,要控制压力大小一定,实验时,小明将小桌换成砖块,并将砖块沿竖直方向切成大小不同的两块,则压力大小不同,由此得出的结论是压力的作用效果与受力面积无关是错误的,他在探究过程中存在的问题是没有控制压力的大小相同。
24.(6分)如图是小花同学探究 “影响液体内部压强大小的因素”的情景:

(1)U形管压强计是通过U形管中两液面的____________来反映橡皮膜所受压强大小的,这种方法叫____________(选填“控制变量法”、“等效替代法”或“转换法”)。用手指按压橡皮膜,发现U形管中的液面升降灵活,说明该装置____________(选填“漏气”或“不漏气”);
(2)小花要探究液体压强与深度的关系,她要选择____________两图进行实验,实验表明:同种液体,深度越小,液体压强越___________;
(3)细心的小花发现,当金属盒的橡皮膜置于水面下较浅处时,U形管内两液面无高度差面无法反映出压强大小,其原因可能是______________________。
【答案】高度差;转换法;不漏气;丙丁;小;橡皮膜发生形变消耗部分液体压强。
【解析】(1)[1][2][3] U形管压强计是通过U形管中两液面的高度差来反映液体内部的压强大小;这种方法叫转换法,把不易比较压强的大小转化为U形管中液面的高度来反应液体压强的大小;用手指按压橡皮膜,发现U形管中的液面升降灵活,说明气密性良好,不漏气,能够正常使用。
(2)[4][5]探究液体压强与深度的关系,即深度不同,液体的密度相同,故需要选择丙丁实验;同种液体,深度越小,U型管两侧液面高度差越小,故液体压强越小。
(3)[6] U形管内两液面无高度差面无法反映出压强大小,这里的压强比较小,仅仅只能供橡皮膜形变,而不够使U形管内两液面高度差出现变化,故橡皮膜发生形变消耗部分液体压强。
五、综合应用题(本大题3小题,共36分)
25.(10分)一辆小车,总质量为600 kg,在水平路面上运动的过程中,受到的阻力是车重的0.05倍。问:
(1)小车受到的阻力为多大?
(2)小车静止时,用200 N水平拉力拉小车,此时小车受到的阻力为多大?
(3)当水平拉力为多大时,小车恰能做匀速直线运动?
(4)当小车受到的水平拉力达500 N时,小车所受的摩擦力变化吗?小车分别以3 m/s、5 m/s的速度运动时,小车所受的摩擦力变化吗?
【答案】(1) 300N;(2) 200N;(3) 300N;(4)摩擦力不变;所受的摩擦力不变。
【解析】(1)小车的重力G=mg=600kg×10N/kg=6000N,由于受到的阻力是车重的0.05倍,此时所受的阻力是:f=0.05G=0.05×6000N=300N;
(2)当小车静止时,小车在水平方向上受到的阻力与拉力是一对平衡力,阻力的大小:

;
(3)由(1)可知,在水平路面上运动的过程中,受到的阻力是300N,当小车恰能做匀速直线运动时,小车受到的拉力和阻力是平衡力,小车受到的拉力:F=f=300N;
(4)小车受到的拉力为500N时,小车对地面的压力不变,接触面的粗糙程度不变,故摩擦力不变,当小车分别以3m/s、5m/s的速度运动时,压力不变,接触面的粗糙程度不变,故摩擦力不变。
答:(1)小车所受的阻力是300N;(2)小车静止时,用200N水平拉力拉小车,小车受到的阻力是200N;(3)当水平拉力为300N,小车恰能做匀速直线运动;(4)当小车受到的水平拉力达500N时,小车所受的摩擦力不变;小车分别以3m/s、5m/s的速度运动时,小车所受的摩擦力不变。
26.(10分)如图所示,盛有水的轻质薄壁柱形容器甲和乙放在水平地面上,它们的底面积分别为S、2S。容器足够高。
①若甲容器水的深度为0.1米,求水对容器底部的压强p水 。
②若甲容器水的质量为2千克,求水的体积V水 。
③现有物体A、B(其密度、体积的关系如下表所示),请在物体A、B和容器甲和乙中各选择一个,把物体放入容器中(物体均能浸没在水中),使容器底部受到水的压强变化量

p水 与容器对水平地面压强的变化量△p容 的比值最小。求出

p水 /

p容 的最小比值。
|
物体 |
密度 |
体积 |
|
A |
3ρ |
2V |
|
B |
2ρ |
3V |

【答案】(1)980Pa;(2)2×10-3 m3 ;(3)

。
【解析】①甲容器水的深度为0.1米,水对容器底部的压强
p水 =ρ水 gh=1×103 kg/m3 ×9.8N/kg×0.1m=980Pa
②若甲容器水的质量为2千克,求水的体积
V水 =m水 /ρ水 =2kg/1×103 kg/m3 =2×10-3 m3
③根据

p水 =ρ水g

h水 =ρ水 gV物 /S容 ,
要使

p水 最小,应该选择V物 最小的物体和S容 最大的容器,即把A放入乙容器中;
根据

p容 =

F/S容 =G物 /S容 =m物 g/S容 可知
要使

p容 最大,应该选择m物 最大的物体和S容 最小的容器,即把B放入甲容器中

p水/

p容 =(ρ水 gV物A/S乙)/(m物B g/S甲)=(ρ水 2V/2S)/(6ρV/S)=ρ水/6ρ
答:①若甲容器水的深度为0.1米,水对容器底部的压强980Pa;②若甲容器水的质量为2千克,水的体积为2×10-3 m3 ;③

p水 /

p容 的最小比值为

/6
。
27.(9分)如图所示,实心均匀正方体甲、乙放置在水平地面上,它们的重力均为G,甲的边长a为3h,乙的边长b为2h。求:
(1)正方体甲对地面的压强p甲;
(2)正方体甲、乙的密度之比ρ甲 :ρ乙 ;
(3)若沿水平方向将甲、乙截去相同的厚度

后,它们剩余部分对地面的压强p甲′和p乙′相等,请计算截去的厚度

。

【答案】(1)

;(2)

;(3)

。
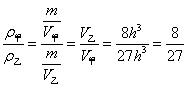
【解析】(1)正方体甲对地面的压力

正方体甲对地面的压强

(2)正方体甲的体积

正方体乙的体积

实心均匀的正方体甲、乙的重力均为 G ,根据

可知质量

则正方体甲、乙的密度之比

;
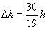
(3)若沿水平方向将甲、乙截去相同的厚度

后,它们剩余部分对地面的压强

根据

,我们可得压强

;
由

,可得

得

。
答:(1)正方体甲对地面的压强为

;(2)正方体甲、乙的密度之比为8:27;(3)截去的厚度为

。
28.(7分)小阳在“五·一”节外出旅游乘飞机时观察到①飞机在起飞和航行时机翼的仰角不同②飞机越大其机翼越大。他想探究“机翼获得升力的大小与机翼仰角、机翼面积有什么关系?”(机翼仰角为机翼下表面与水平面的夹角,机翼面积指机翼在水平面上投影的面积)于是,他和兴趣小组的同学们一起利用塑料泡沫等材料自制了三个质量相同、形状相同、面积不同的机翼模型,将其固定在托盘测力计上,在机翼模型的正前方用电扇迎面吹风,来模拟飞机起飞时的气流,实验装置如图所示。(每次吹风前托盘测力计的示数均为3.5N)
|
机翼面积/cm2测力计的示数/N机翼仰角 |
275 |
395 |
566 |
|
0°(水平) |
3.2 |
2.6 |
|
|
较大 |
3.0 |
2.9 |
2.4 |
|
较大 |
2.9 |
2.8 |
2.3 |
|
最大 |
3.1 |
2.9 |
2.7 |
(1)电风扇转动后,托盘测力计的示数_________(选填“变大”变小”或“不变”)、比较“机翼”上下方空气的流速,可以得出,“机翼”下方空气流速小,压强_________。
(2)当电风扇向左吹风时,以气流为参照物,“机翼”向_________(选填左”或”右”)运动。
(3)为了探究“机翼”获得的升力与角的关系,他们对同一个“机翼”吹风,并保持风速不变,只改变“机翼”的_________大小,观察并记录托盘测力计的示数:在其他条件相同时,更换面积不同的“机”重复上述实验。实验数据记录如表。
①在实验过程中,当“机翼”仰角为0°、“机翼“面积为395cm2,若此时“机翼”获得的升力为0.5N,则托盘测力计的示数为_________N;
②通过实验分析数据可以得出结论:当质量、形状、“机翼“面积和风速相同时,仰角增大,“机翼”获得的升力_________(选填“一定”或“不一定”)增大;当质量、形状、仰角和风速相同时,“机翼”面积越大,“机翼”获得的升力越_________(选填“大“或“小”)。

【答案】(1)变小;大;(2)右;(3)仰角;①3.0;②不一定;大。
【解析】(1)电扇转动后,气流会流经飞机机翼模型,机翼模型上方凸空气通过的路程长,流速大,向下的压强小;机翼模型下方凹空气通过的路程短,流速小,向上的压强大,从而形成了一个向上的压强差,使托盘测力计的示数变小;
(2)当吹风机向左吹风时,空气向右运动,以风为参照物,“机翼”相对于在风中向右运动动;
(3)为了研究“机翼”获得的升力与仰角的关系,他们对同一个“机翼”吹风,并保持风速不变,只改变“机翼”仰角的大小,观察并记录测力计的示数,在其他条件相同时,更换面积不同的“机翼”重复上述实验;①在上述实验中,“机翼”获得升力的大小等于吹风前后测力计示数的变化量(或差值、减小量),所以,当“机翼”获得的升力为0.5N,则托盘测力计示数为 F=G﹣F升=3.5N﹣0.5N=3.0N;②由表中数据可知,当质量、形状、机翼面积和风速相同时,仰角增大,获得的升力有时大、有时小,所以获得的升力不一定增大;当质量、形状、仰角和风速相同时,机翼面积越大,获得的升力越大。