
同塔双回四分裂跳线
0 引言
"四分裂"跳线是500kV架空输电线路工程最常用的跳线型式,也是耐张塔附件安装的重点和难点。其施工难点在于跳线长度的确定,以往通常采用比量法或模拟法进行施工,高空作业量大,质量难以保证,施工效率低,工人劳动强度大。为了能够事先确定跳线长度,笔者根据实践经验和理论探索,提出基于三维坐标系法的"四分裂"跳线长度计算方法,在多个500kV交直流架空输电线路工程中应用实践,取得了成功,安装质量满足设计及验收规范要求。
1 计算原理
合理选择三维坐标原点,建立坐标系,然后根据设计提供的转角度数、铁塔横担尺寸、跳线支架尺寸、金具尺寸及其空间位置关系,赋予每根跳线挂点、跳线线夹的三维坐标值,通过坐标值计算跳线两端悬挂点之间的间距和高差角。已知跳线挂点间距、高差角和设计给定弧垂值的情况下,便可以利用引入调整值后的斜抛物线线长公式计算每根跳线的长度。
2坐标系的建立
2.1建立三维坐标系的目的,是为了赋予两端跳线挂点、中间跳线线夹在该坐标系内的坐标值,从而对其进行定位,计算出间距和高差角,满足后续跳线长度计算的需要。坐标系的设置,应考虑计算的方便和简化,减少计算公式编制的工作量。
2.2以横担下平面横线路中线为X轴(方向指向角内侧)、前后侧挂点连线为Y轴(方向指向大号侧)、竖直向下为Z轴建立三维坐标系,坐标原点位于前后侧挂点连线的中心。
3 坐标值的确定
3.1相关数据收集整理
坐标值计算之前,应收集整理所需要的相关数据,并且要确保数据准确。数据应列成表格,并赋予相应的代号,以便计算调用。以"四分裂"单跳串跳线为例,其需要收集的数据如表3-1所示。

数据项目及代号
3.2坐标值计算公式
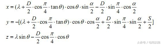
根据耐张塔横担结构图、耐张金具串安装图、跳线串安装图,认真分析各部位关键点(即金具悬挂点、跳线悬挂点、跳串线夹)的空间位置关系,包括间距、长度、夹角关系,然后将跳线悬挂点(即耐张线夹引流板)、跳串线夹分别投影到预先设定的X、Y、Z坐标轴上,便可求出其三维坐标值。以小号侧1#线为例,计算公式如下:

坐标计算公式
同样的方法,可以全部列出每根跳线两端悬挂点、中间跳串线夹的三维坐标值计算公式,然后调用相关数据,通过编制Excel程序进行批量计算,可以方便快捷的求出坐标值。
3.3耐张串下倾角的计算
耐张金具串下倾角是指其轴线与水平面形成的夹角。在计算所需要的初始数据当中,耐张串下倾角度数是唯一需要计算确定的,其余均可以在施工图纸中查找,所以耐张串下倾角的计算,也是本文所述跳线长度计算方法的关键。
计算方法如下:

下倾角计算公式
耐张串下倾角的计算相对复杂,应通过Excel表格自带函数编制公式进行计算。

耐张串下倾角计算表格
4 跳线长度计算
4.1跳线长度计算公式
现场实践证明,跳线长度的计算,采用斜抛物线模型完全可以满足工程的需要。但受引流板刚性影响,需要引入一个调整值进行长度调整。计算公式如下:

线长计算公式
4.2调整值的取值
"四分裂"跳线由4根子导线构成,子导线间安装间隔棒,形成间距均匀的笼式结构。受间隔棒的相互约束,导线自由悬挂的曲线,与安装间隔棒后的曲线并不完全相同。对于同一处跳线,每根子导线的弧垂均为设计弧垂,但是弦长却长短不一(结构设计需要),导致自由悬挂时,上下两根子导线之间的间距不均匀,中间间距小、两头间距大,如果要使得间隔棒安装后形成间距均匀的笼式结构,就需要对上下线长度差进行调整。
调整值的大小与跳线两端挂点间距、高差角、设计弧垂大小有关,同时也与耐张金具串上扬情况有关,需要根据实际进行确定。一般情况下取0.03-0.07m,两根上线取"+"号,下线取"-"号,上扬的取较小值,下压的取较大值。
5 施工注意事项
5.1收集整理相关数据时,应确保准确无误。在编制坐标值计算公式之前,应认真分析铁塔横担、耐张金具、跳串线夹的结构特点,正确掌握其空间位置关系。
5.2根据施工经验,发现部分设计院给定的跳线弧垂设计值,往往偏小或者过大,在进行跳线线长计算时,应进行校核,需要调整弧垂值时,须报设计院履行审批手续。
5.3确定坐标值计算公式时,应注意转角塔左转与右转、角内侧与角外侧的区别,不能盲目套用。对于同塔双回设计的耐张塔,同侧跳线计算公式完全相同;对于单回路耐张塔,则每相均需要单独考虑。转角方向相同时,计算公式可以直接套用,只需调整设计数据即可。
5.4现场进行导线下料时,同一相跳线的四根导线,量取方法应一致,建议四根导线并排进行量取,避免相对长度偏差过大导致安装效果不佳。
5.5该方法建立在理想模型的基础上,所以要求上一道工序(包括紧线弧垂施工、耐张线夹压接、金具安装)的施工,必须严格按照设计图纸进行,如有调整,应做好记录,在进行跳线长度计算时给予考虑。
6 结语
基于三维坐标系"四分裂"跳线长度计算方法,是一种全新的跳线长度计算方法,不需要进行现场测量和模拟,只需根据设计数据进行计算,便可以准确确定满足施工要求的跳线长度,从而大量减少跳线安装操作高空作业量,提高了施工安全系数和施工效率,降低工人劳动强度。该方法在多个500kV交直流输电线路工程中成功应用,效果良好,深受一线施工人员的欢迎和认可,具有较大的推广应用价值,尤其是对于工期紧、冬季架线施工或抢建性质的线路恢复工程。

单回路四分裂跳线