有一天菜菜找到我,"财财,最近想去BTC上投资两把期货,怎样才能有效地控制好仓位,做好风险控制呢?"虽然财财极力劝阻菜菜要三思而行,但财财还真就去调研了一下这个问题。后来发现,其实菜菜的这个问题很早以前就已经有人调研过,并还形成了有迹可循的理论指导依据,其依据正是凯利公式。凯利公式究竟是咋回事?它又能帮助我做什么?让我们走进今天的财财小课,一起探索一下吧。
//凯利公式的由来//
话说在1955年,美国有一档叫《64000美元问题》的电视节目一时间风靡全美,其收视率可谓一骑绝尘,随即围绕该节目的赌盘也迅速吸引了大批赌徒下注(比如大家都来猜一猜参与节目的嘉宾,能答到第几道题之类的)。当时节目录制在东海岸纽约,而西海岸由于与录制地相隔甚远,直播时间也相较东海岸晚播出一段延时,有投机者就利用这个"延时"赢得了不少的钱。他们具体是怎么做的呢?实际上就是在东海岸的朋友看到结果后,立即打电话告诉西海岸的朋友,让他们去下注即可。

上面这个赢钱逻辑可能在咱普通人眼里非常简单,也不会引起什么太大的波澜。但往往就是这些简单的事情,却引来了很多大师的关注,就像财财之前提到的一样,越是大师,对越是简单的事物,理解越是深刻(就好比苹果砸在牛顿的头上会出现万有引力,而砸在普通人的头上也就只是疼一下而已)。这其中一位大师,就是当时著名贝尔实验室的约翰·凯利,他经过一番严谨的公式推导后,把上面的这事归纳为更一般的情况,最后形成了大名鼎鼎的凯利公式,指导大家伙儿更好地资金管理和投资。
//什么是凯利公式?//
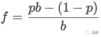
话说这凯利公式到底是何方神物,居然还能作为理论依据指导我们投资?下面便是其庐山真面目,一个极富数学美感的表达:

其中,p为胜率,也就是你参与某次投资或赌博获胜的概率是多少,b为*率赔**,可以简单理解为投资中的预期收益,最终,f为投资资金占比(或凯利值),也就是我们在本次投资中应该花多少钱去投资。
//凯利公式有什么用?//
简单来说,凯利公式解决了这样一个问题,如果我们在某次投资中,知道投资成功的概率,以及预期收益,我们应该花多少钱在这个投资上面是最优的?
举个栗子,一个阳光明媚的午后,财财突然心血来潮,想去玩一把街头弹球游戏。老板说了,一次一元,球落在哪就奖励多少钱。假设财财缺心眼,就只中意50元的奖,但是他的概率很低,据财财粗略统计,砸中50元的概率大概就只有5%的样子,那这里的5%也就是凯利公式中的胜率p。如果财财一不小心人品爆发还给砸中了,那财财将收益50元,这里的50也就是凯利公式中的*率赔**b。

最后,财财准备孤注一掷干一把了,假设财财今天手上有100元钱,大概可以花多少钱参与本次赌博是最好的呢?按照凯利公式投资占比f的建议,财财大致计算了一下,f是3.1%,也就是财财本次投资大概需要花3.1元就可以了。

如果财财内心比较狂野,只想要砸中100元,大概需要可以花多少钱去博一把呢?据财财观察,能砸中100元的可谓是人中龙凤了,胜率只有0.5%,按凯利公式建议,这次投资金额竟然是-0.49元。

财财顿时懵逼了,这负数表示啥含义呢?原来,如果算出的凯利值是负数的话,就说明老板在骗人,这样的投资是不值得参与的,除非老板给我0.49元我才会参与。事实上,绝大多赌博活动的凯利值算出来都是负的,因此财财认为对于普通人来说需要远离赌博,珍爱生命。当然,如果你只是一个平平无奇的数学小天才,计算出的凯利值是正的,那么恭喜你,你可能掌握了某项隐形的赚钱小技能。事实上,在历史上还真有这样一位小天才,使用凯利公式碾压了*场赌**和华尔街。
上文中提到的这位小天才,不是别人正是美国量化投资教父级人物爱德华·索普,他的经历可谓是传奇的一生。少年时的他家境贫寒,去杂货店打杂时每天都能额外获得一支冰淇淋(因为与老板打赌看谁先准确算出账单,老板用计算器,而他却是心算);为了能念大学就努力学了几个月物理学,结果一不小心就获得了美国西屋奖;攻读物理博士期间经常玩弄数学知识,顺便又把博士论文完成了。

后来,索普开始思考如何运用统计学/概率学去征战拉斯维加斯,一开始索普也遇到了一些问题,比如,虽然他能准确算出赢的概率,但是应该下注多少比较合适?这其实就是我们的仓位控制问题(下少了,财富累计比较满,下多了又容易出现亏损和爆仓的风险)。
直到有一天,索普看到了凯利的论文,如获一本绝世武林秘籍。在凯利公式的加持下,他横扫了拉斯维加斯,最后*场赌**集体将他拉黑禁止进入。在战胜*家庄**后,索普又开始思考,能否通过数学计算将投资变成数学问题,将不确定性投资变得确定呢?结果在29年的投资生涯中没有一年亏损,期间经历了数次股灾、数次黑天鹅,1987年10月标普指数下跌22%,同年索普的基金收益9%。从拉斯维加斯到华尔街,这个战胜一切市场的人,它有着严格的风控,其精髓就是凯利公式。至此,凯利公式被一度推向了高潮,传闻巴菲特、芒格和格罗斯都使用过,其在风险控制方面的作用可想而知。
//最后总结一下//
今天财财小课给大家分享了凯利公式的由来及其作用,简单来说凯利公式就是一个资金管理的工具,能够帮助我们有效的控制仓位,指导我们的投资,从凯利公式可以推导出很多有趣的结论,有一些财财今天已经提到了,其他结论感兴趣同学也可以查查资料。
1、凯利公式解决了一个问题:在投资胜率和预期收益已知的情况下(这也是凯利公式应用的前提),我们需要花多少钱去投资,使得我们的长期收益最大化;
2、只有凯利值为正的投资值得去投资,为负的情况下是不建议去投的;
3、除非你有100%的胜率,否则千万别All in,理论上严格按照凯利公式执行投资,就永远不会输掉本金;
4、凯利公式是从数理统计角度出发严格推导出来的,理论上需要这个投资是多次可重复的投资;
最后,凯利公式只是一个工具,大家要善用她却不能迷信。凯利公式有用吗?有用,战胜一切市场的男人,用它横扫了*场赌**和华尔街;凯利公式有用吗?没用,现实中还有很多投资,是无法准确的评估成功的概率。因此,小伙伴们在遇到类似的情况时,不妨多思考思考,是否满足这个应用场景。好了,今天的财财小课就到这里,咱们下期再见。
(免责声明:文中提到的个股和基金,仅为案例所用,不构成投资意见,请勿据此操作。)
文中部分图片来自源于网络,版权归原作者所有,原作者看到请与我们联系,谢谢!