近年来,由于电动汽车、航空航天和下一代便携式电子产品的需求激增,锂离子电池(LIB)具有高能量、高功率密度和长寿命的特点,受到了人们的广泛关注。硅(Si)具有超高的理论比容量(3579mAh g−1,Li15Si4)、低的电压平台和天然丰度,因而是一种很有前途的石墨正极替代物,可以显著提高LiBs的能量密度。二维硅材料由于其厚度小、横向尺寸大,因此在作为锂离子电池(LIB)的高性能正极方面具有广阔的应用前景。然而,超薄二维硅纳米片(Si-NS)的简易合成及其有效应用仍然是一个巨大的挑战。
来自哈尔滨工业大学的学者 采用一种独特的刻蚀-还原工艺制备了平均厚度小于2 nm的超薄Si-NSs 。在与石墨烯杂化后,所制备的Si-NSs@rGO材料具有超高倍率性能(在0.05A g−1为2395.8 mAh g−1,在10 A g−1下为1727.3 mAh g−1)、长循环寿命(2 A g−1下1000次循环,容量衰减率为0.05%/次)和高的平均库仑效率(1000次循环99.85%)。 这种优异的性能归功于Si-NSs的超薄的厚度,这极大地提高了Li离子的利用率和可逆性。 这项工作为制备高倍率性能的正极材料以满足日益增长的高功率密度锂离子电池的需求提供了一种策略。相关文章以“Ultrathin Si Nanosheets Dispersed in Graphene Matrix Enable Stable Interface and High Rate Capability of Anode for Lithium-ion Batteries”标题发表在Advanced Functional Materials。
论文链接:
https://doi.org/10.1002/adfm.202110046


图1.a)蒙脱石Al2O9Si3-HCl的照片。B)蒙脱石Al2O9Si3和Al2O9Si3-HCl的XRD图谱。C)用于蒙脱石Al2O9Si3蚀刻的盐酸溶液的27Al MAS NMR谱。D)Si-NSs@rGO合成程序示意图。E)TEM、F)HRTEM和G)Si-NSs的AFM图像。H)Si-NSs@rGO的TEM图像。

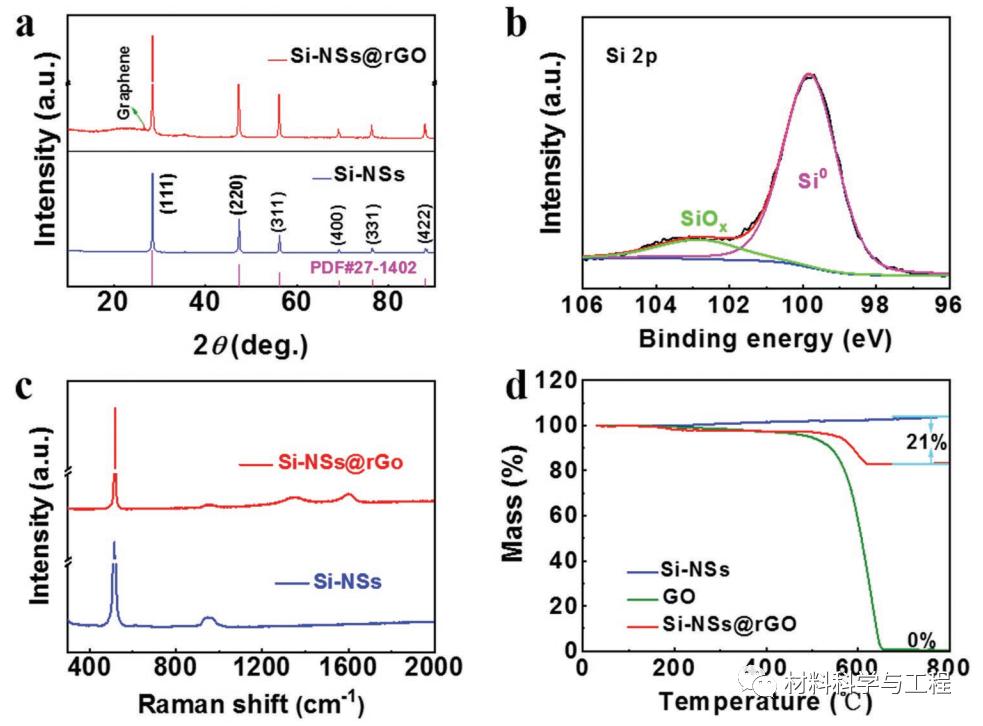
图2.a)Si-NSs和Si-NSs@rGO的XRD图谱。B)Si-NSs@rGO的Si2p XPS谱。C)Si-NSs和Si-NSs@rGO的拉曼光谱。D)GO、Si-NSs和Si-NSs@rGO的TG含量。

图3.a)扫描速率为0.1mV s−1时Si-NSs和纳米Si的CV曲线.b)Si-NSs和纳米Si在50 mAg−1下的恒流充放电特性.c)Si-NSs、Si-NSs@rGO、纳米Si和纳米Si@rGO电极在200 mA g−1下100次循环性能。d)Si-NSs、Si-NSs@RGO、纳米Si和纳米Si@RGO的长期循环性能和库仑效率在2A g−1下循环1000次。

图4.a)拟合了C 1s,b)F 1s,c)Si 2p XPS Ar离子刻蚀深度对循环Si-NSs@rGO电极的刻蚀深度分析。d)拟合C1s,e)F 1s,f)Si 2pXPS Ar离子对循环纳米Si@rGO电极的刻蚀深度分析。

图5.在锂化过程中,单个a)Si-NSs和d)纳米Si在不同电荷态(SOC)下的von Mises应力分布。b)Li+的浓度分布;c)100% SOC下叠层Si-NSs的应力分布。E)Li+浓度分布和f)100% SOC下堆积纳米Si的应力分布。

图6.a)Si-NSs、Si-NSs@rGO、纳米Si和纳米Si@rGO电极的倍率能力。b)Si-NSs@rGO和先前报道的硅基材料之间的速率能力的比较。c)Si-NSs@rGO的势能曲线。d)Si-NSs@rGO在不同扫描速率下的CV曲线。e)负极峰和正极峰的log(I)与log(V)图。
综上所述,本文通过盐酸刻蚀Al2O9Si3蒙脱土去除部分铝层,弱化层间结合力,然后进行镁热还原,成功地合成了平均厚度小于2 nm的超薄Si-NSs。通过静电自组装将这些Si-NSs高度分散在石墨烯基体上,制备出Si-NSs@rGO复合材料。Si-NSs@rGO材料充分利用了Si纳米片和石墨烯的优点,不仅由于Si纳米片厚度小而具有快速的离子输运和低应力,而且由于石墨烯基体的存在而保持了稳定的电极结构和连续的电子导电性。本工作表明,超薄Si-NSs的制备及其与石墨烯的结合是提高Si基正极电化学性能的一条重要而简便的途径,在大功率、长寿命锂离子电池中具有很大的应用潜力,并可推广到其他电极材料的研究。(文:SSC)
本文来自微信公众号“材料科学与工程”。欢迎转载请联系,未经许可谢绝转载至其他网站。