什么是指数分布
指数分布是连续型随机变量的连续型概率分布的一种,它主要应用在随机事件之间发生的时间间隔的概率问题。前面讲述的泊松分布是描述某一区间内发生随机事件次数的概率分布,而指数分布是描述两次随机事件发生时间间隔的概率分布。
指数分布解决的是事件的时间间隔的概率问题。我们去餐厅吃饭时,经常会遇到排队取号等待用餐的问题,“前面还有多少桌呢?”、“我们还要等多长时间呢?”。其实这里就隐藏着指数分布问题:每桌客人用餐的间隔时间有多长。这个问题直接影响了顾客排队等候的时间。除此之外,以下常见的情况也属于指数分布的问题:
-
婴儿出生的时间间隔
-
来电的时间间隔
-
奶粉销售的时间间隔
-
网站访问的时间间隔
指数分布的概率密度函数
指数分布的概率密度函数如下:

指数分布的概率密度函数
其中,x是给定的时间;λ为单位时间事件发生的次数;e=2.71828。
指数分布概率密度曲线如下图:

指数分布的概率密度函数具有以下特征:
-
随机变量X的取值范围是从0到无穷;
-
极大值在x=0处,即f(x)=λ;
-
函数为右偏,且随着x的增大,曲线稳步递减;
-
随机变量的期望值和方差为µ=1/λ,σ2=1/λ2。
指数分布求概率
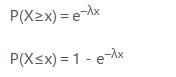
指数分布求概率的计算公式如下:

指数分布求概率
例子:某冰箱生产厂的冰箱平均10年出现大的故障,且故障发生的次数服从泊松分布,求:
(1)该冰箱使用15年后还没有出现大故障的比例;
(2)如果厂家想提供大故障免费维修的质量担保,但不能超过全部产量的20%,试确定提供担保的年数。
解:
(1)设X为冰箱出现大故障的时间。已知µ=10年,则λ=1/µ=0.1,于是,

则15年后,没有出现大故障的冰箱约占22.3%。
(2)问题要求比例不超过20%,这是求X的右侧概率面积,现在根据公式确定适当的X值。

从表中可以看到:担保2年时,出现大故障的比例是18.1%,不超过20%。担保3年时,出现大故障的比例为25.9%,已经超过20%。所以,厂家应以2年为担保期。