先列出题目,其中图形请参考后文我的解答部分。
一、填空(每题10 分,共80 分)
1.计算:......
2.图1a 是一个长方形,其中阴影部分由一副面积为1的七巧板拼成(如图lb ) ,那么这个长方形的面积是_______。
3.有甲、乙、丙、丁四支球队参加的足球循环赛, 每两队都要赛一场,胜者得3 分,负者得O 分, 如果踢平, 两队各得1 分. 现在甲、乙和丙分别得7 分、1 分和6 分, 已知甲和乙踢平, 那么丁得_______分。
4.图2 中,小黑格表示网络的结点,结点之间的连线表示它们有网线相联。连线标注的数字表示该段网线单位时间内可以通过的最大的信息量。现在从结点A向结点B传递信息,那么单位时间内传递的最大信息量是_______。
5.先写出一个两位数62 ,接着在62右端写这两个数字的和8,得到628,再写末两位数字2和8的和10,得到62810,用上述方法得到一个有2006位的整数: 628101123 …… ,则这个整数的数字之和是_______。
6.智慧老人到小明的年级访问,小明说他们年级共一百多同学。老人请同学们按三人一行排队,结果多出一人,按五人一行排队,结果多出二人,按七人一行排队,结果多出一人,老人说我知道你们年级的人数应该是_______人。
7.如图3 所示,点B是线段AD 的中点, 由A , B , C , D 四个点所构成的所有线段的长度均为整数,若这些线段的长度之积为10500 ,则线段AB的长度是_______。
8. 100个非0自然数的和等于2006 ,那么它们的最大公约数最大可能值是_______。
二、解答下列各题, 要求写出简要过程( 每题10 分,共40 分)
9.如图4 ,圆O中直径AB与CD互相垂直,AB =10厘米。以C为圆心,CA为半径画弧AEB。求月牙形ADBEA(阴影部分)的面积。
10.甲、乙和丙三只蚂蚁爬行的速度之比是8 : 6 : 5 ,它们沿一个圆圈从同一点同时同向爬行, 当它们首次同时回到出发点时,就结束爬行。问蚂蚁甲追上蚂蚁乙一共多少次? (包括结束时刻)。
11.如图5 ,ABCD 是矩形,BC= 6cm , AB=10cm , AC和BD是对角线。图中的阴影部分以CD 为轴旋转一周,则阴影部分扫过的立体的体积是多少立方厘米? (π取3.14 )
12.将一根长线对折后,再对折,共对折10次,得到一束线。用剪刀将这束线束剪成10等份,问:可以得到不同长度的短线段各多少根?
三、解答下列各题,要求写出详细过程(每题15 分,共30 分)
13.华罗庚爷爷在一首诗文中勉励青少年:
“猛攻苦战是第一,熟练生出百巧来,
勤能补拙是良训,一分辛劳一分才。”
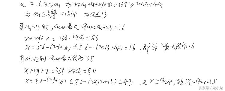
现在将诗文中不同的汉字对应不同的自然数,相同的汉字对应相同的自然数,并且不同汉字所对应的自然数可以排列成一串连续的自然数。如果这28个自然数的平均值是23 ,问“分”字对应的自然数的最大可能值是多少?
14.一根长为L 的木棍,用红色刻度线将它分成m 等份,用黑色刻度线将木棍分成n等份(m>n)
① 设x是红色与黑色刻度线重合的条数,请说明:x+1是m和n的公约数;
② 如果按刻度线将该木棍锯成小段,一共可以得到170 根长短不等的小棍,其中最长的小棍恰有100 根.试确定m 和n 的值.











