湖北巴东新闻“牛人”谭正双:为省、州*党**报媒体捐赠珍贵档案

文/武荀
日前,被称为湖北巴东新闻“牛人”,年近七旬扎根基层的新闻作者谭正双,为省、州*党**报媒体捐赠珍贵档案的事迹在当地被传为佳话。

上世纪五十年代初,谭正双出生在中国西部地区,地处长江三峡南岸的 湖北省恩施土家族苗族自治州巴东县绿葱坡镇的偏远山村——杨家坪村。

因患小儿麻痹症导致他少年辍学。不甘屈服命运的他克服了文化底子薄等多种重重困难学着爬格子,功夫不负有心人,谭正双经过千锤百炼成为巴东新闻“牛人”,他告诉笔者说“他的每一步成长都离不开各级*党**报媒体编辑、记者们的栽培与呵护”。
于是,他把编辑、记者们的每一件来信都收藏了起来。

现在谭正双已是年已七旬老人了。他说“吃了木耳不能忘记树桩”。他决定将他收藏的珍贵档案捐赠给*党**报媒体以作回报。

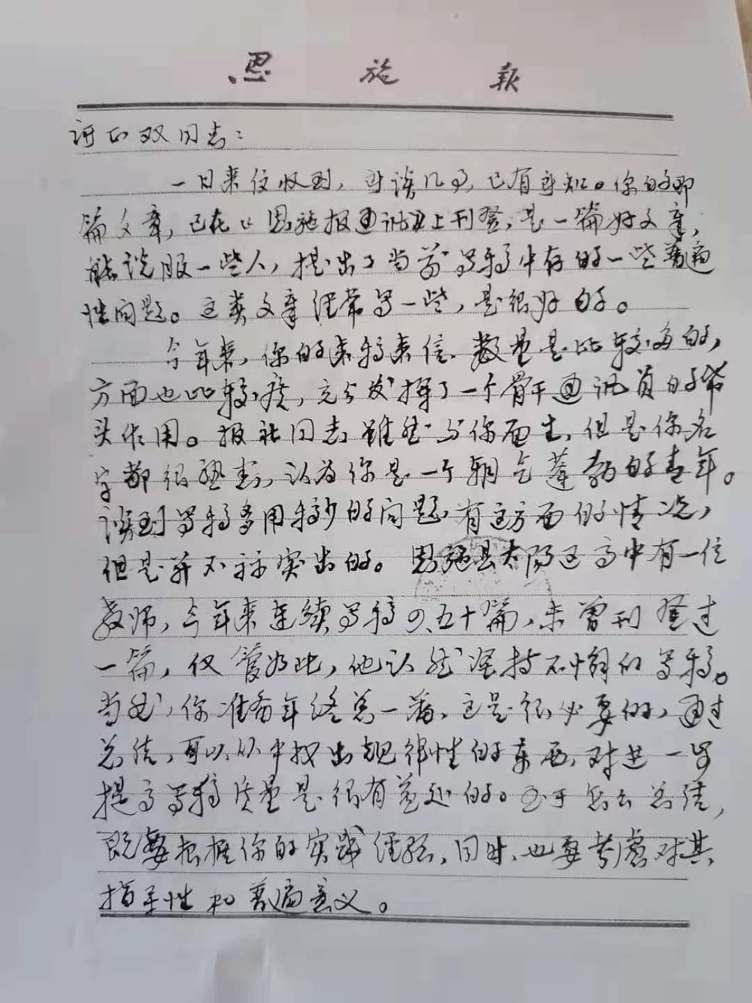
这些档案是他从事新闻写作50年来,编辑、记者们辅导他写作的来信,其中,最为珍贵的是1979年发表在新华社《为什么把已经落实的政策当资本主义来批》和《恩施日报》、《湖北日报》群工部负责人的来信。

如今已进入古稀之年的谭正双,在绿色的方格纸上摸爬滚打了五十个寒来暑往,曾经在*党**的十一届三中全会以后,他写出了震动全国的新闻,被《新华社》播发通稿,这一年《新华社》在全国抓了两个新闻,一个是湖北巴东县的“杨家坪事件”,一个是河北省正定县留村公社的“毁瓜事件”,两个新闻事件载人中国新闻史志。改革开放20年30年40年,新闻媒体追踪报道,产生过极其深远的社会影响。

扎根基层的老通讯员谭正双将当通讯员时与《恩施日报》的编辑、记者82件来信,《湖北日报》编辑记者54件来信原件全部捐赠给《恩施日报》传媒中心档案室,《湖北日报》传媒中心档案室。

他说,当年没有报社编辑记者的来信鼓励,这个新闻是不会问世的。这些档案同时也反映了当年*党**报培养业余通讯员的一个侧面和开门办报群众办报的思想,很多老报人用毛笔给通讯员写回信指导写作,这一封封来信中留下的是老报人为他人做嫁衣裳的初心和兢兢业业扶持业余作者成长的故事。

同时,他给《人民日报》、《新华社》也捐赠了同类档案!

据了解,谭正双从事五十年笔耕,他采写的稿子被《新华社》发稿5篇,《人民日报》用稿30多篇,全国280多家媒体采用稿件2300多篇(幅),这是巴东县一个基层作者上《人民日报》稿件最多的通讯员。

作者简介:武荀,土家族,出生于1965年5月,*共中***党**员,巴东县首届“十大杰出青年”,恩施州新闻摄影家协会会员。
曾担任《袖珍文学》特约编辑、《恩施周刊》见习记者、《武陵都市报》见习记者、巴东县广播电视台特约通讯员。
先后有6000余篇(幅)稿件散见国家级、省、州、县级报刊杂志、电台、电视台及网络媒体。40多次被《湖北日报》、《恩施日报》、《巴东报》、省、州、县广播电台及政府部门评为“模范通迅员”、“先进工作者”、“双文明户”。