澳门赌界有一王一圣,赌王是何鸿燊,赌圣则是叶汉。何鸿燊曾经请教过叶汉一个问题:“如果这些赌客总是输,长此以往,他们不来了怎么办?”

叶汉笑道:“一次赌徒,一世赌徒,他们担心的是*场赌**不在怎么办。”这就是所谓的赌徒心理,一个赌徒即使输的倾家荡产,依然觉得自己可能下一把会翻盘,可是他们并不知道:
*场赌**不是一个靠运气的地方,或者说,*场赌**从来不存在运气。
现代*场赌**的任何设备以及程序设计都蕴含了极为精妙的数理逻辑,一个庞大的*场赌**依靠的就是大数据统计分析、概率建模和随机计算来盈利,不仅仅是*场赌**,我们的手机之所以能够完成这么多的事情,也是建立在数理逻辑上的。

独处中我们最为熟知的数学发则,一个是期望值,还有一个是大数定律。
在概率论和统计学中,一个离散性随机变量的“期望值”是试验中每次可能的结果乘以其结果概率的总和。换句话说,期望值像是随机试验在同样的机会下重复多次,所有那些可能状态平均的结果,便基本上等同“期望值”所期望的数。
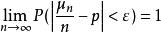
而大数定律是概率论历史上的第一个极限定律,在随机事件的大量重复出现中,往往呈现几乎必然的规律,这个规律就是大数定律。它是由伯努利提出来的。设μ是n次独立试验中事件A发生的次数,且事件A在每次试验中发生的概率为P,则对任意正数ε:

当n足够大时,事件A出现的频率将几乎接近于其发生的概率,即频率的稳定性。明白了大数定律纯熟地运用各种概率统计学原理,辅以最最最核心的“大数定律”,“赚钱于无形之中”:*场赌**通过计算一轮赌注中各个可能结果的出现概率设定*率赔**,并为自身预留一定的“水位”来赚取利润。
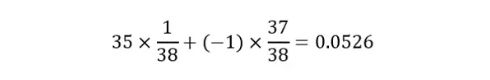
以美式轮盘为例,*场赌**中常见的美式轮盘上有38个数字,每一个数字被选中的概率都是相等的。赌注一般押在某一个数字上,如果轮盘的输出值和这个数字相等,那么下注者可以获得相当于赌注35倍的奖金;若输出值和下注数字不同,则输掉赌注。考虑到所有38种可能结果,将1元赌注押在一个数字上,则获利的期望值为:“1/38的概率赢,获得35元”,加上“37/38的概率输,失去1元”,结果约等于-0.0526元。

即美式轮盘以1元作赌注的期望值为-0.0526元。也就是说,按照大数定律原则,玩家如果玩的次数足够多,平均下来,每赌1元,就会输掉0.0526元。*场赌**每天都接待大量玩家,每位玩家都会玩若干局,这就给*场赌**提供了天然的“大数定律环境”。
赌徒永远不会知道,与自己对赌的不是运气,也不是*家庄**,他们是在与狄利克雷、伯努利、高斯、纳什、凯利这样的大师对决数学,赢的胜率能有多大?
今天我们就来深入了解一下*场赌**大BOSS——凯利公式,只要由它坐镇,你靠运气,你在*场赌**的最终结局只能是输。
凯利公式(也称凯利方程式)是一个用以使特定赌局中,拥有正期望值之重复行为长期增长率最大化的公式。他不仅适用于牌桌游戏,还适用赌马、*球赌**、麻将牌九、二十一点和股票市场等大部分的赌博行为之中。

这个是怎么从赌博行为中被总结出来的呢?
这个还要从1955年说起。美国一个叫做64000 dollar question的电视节目风靡全美,答题者通过不断答对题来累积奖金,一时间围绕节目的赌盘迅速吸引了大批赌徒参与下注。不过因为当时直播技术的问题,实时传输会有一定时间的延迟,相当于现在网卡的效果。这个节目是在纽约,东海岸现场直播,所以传到西海岸需要一定的时间,西海岸的赌徒便利用这个延时,通过电话提前得知结果,赶在节目在西海岸直播时刻前下注。

美国电报电话公司贝尔实验室的科学家约翰·拉里·凯利他当时是在研究当时还算新兴前沿的电视信号传输协议。他发现了香农在通讯噪音干扰理论中使用的数学模型同样适用于投资者对于风险和收益的管理。如果信息传输中将噪音干扰引起的错误降低到零,那么,同理,投资者在追求最大复利收益的同时也可以把坡长的风险降低到零。
所以他在1956 年《贝尔系统技术期刊》发表了一篇论文“A New Interpretation of Information Rate”,论文中提到:
如果一个通信通道的输入符号代表一个偶然事件的结果,在这种情况下,押注的可能性与他们的概率一致,那么一个赌徒就可以利用被接收的符号给他的信息,使他的钱以指数形式增长。

而在这篇论文中,他以一个赛马的模型,推出了凯利公式的雏形。 这是一个在*彩博**同时也在投资领域中应用非常广泛的公式:

在这个里面啊,f* = 应该放入投注的资本比值 p = 获胜的概率 q = 失败的概率 b = *率赔**。有数学非常强的朋友可以试着用这个公式去*场赌**推倒一下。
套用这个公式,假设您有100元进行一项抛硬币游戏——如果硬币为正面,您1元就赢2元;如果硬币为反面,您就输1元。您每次该投入本金的百分之多少来获得收益的最大化呢?就这样一个看似无解的问题,如果你套用凯利公式就可以得到答案,那就:25%。
其中公式上面的分子bp-q代表“赢面”,也就是我们刚刚提到的“期望值”。只有出现赢面(bp - q)为正的时候,游戏才可以下注,这是一切赌戏和投资最基本的道理,也就是前面讲的"没有把握,决不下注"。
赢面越低,你就应该赶紧绕道走。。。
有兴趣的朋友可以自己去算算,这个25%是怎么样得出来的,如果这个都没有算明白,那进*场赌**可以说是百分百必输了。

凯利的同时索普就在21点上运用了此公式,成功战胜了*家庄**。
在应用凯利公式的时候,除了需要在类似牌桌*场赌**的独立事件环境中下注,还有一个关键问题在于需要推算出p成功概率是多少。而且前面已经提到了,bp-q>0的时候,下注才有意义。p成功概率到底是多少,不仅关系到1是否能下注进场,还关系到2仓位计算,最佳下注比例是多少。
索普当时是采取了一套他自己总结出来的高低数法来推算出成功概率p,并一战成名。成为了拉斯维加斯的“赌神”,很多*场赌**都将他拉入了黑名单。

索普
但是凯利自己直到1965年在曼哈顿的人行道上突然患脑溢血逝世。都没有使用过他自己的理论来赚钱,估计他也是明白真正能够在*场赌**上保持理性思维的赌徒永远只是少数,能够永远保持这样理性思维的,只能是*场赌**操盘者。
*场赌**操盘者的每一次下注的时候,都会谨记数学原则,而作为普通赌徒,除了心中默念“菩萨保佑”外,会了解其中的数理知识吗?

从某种意义上来讲,*场赌**是最透明公开的场所,但所有的*场赌**游戏,几乎都是对赌徒不公平的游戏。这种不公平并非是*家庄**出老千,而是现代*场赌**光明正大地依靠数学规则赚取利润。
尤其是现代*场赌**程序方面设计的越发精密,将概率、级数、极限方面的数学法则运用地炉火纯青。一个普通赌徒,只要长久赌下去,最终一定会血本无归,所谓的各种致胜绝技,除了电影里的高进之外,现实里也就只有各位能保持纯理性的数学大神才能做到稳赌不熟。

各位,凯利公式仅仅只是*场赌**中的一个数理例子,*场赌**运用到的数理法则非常之多,那如何杜绝呢?最好的方式就是不堵,人一但拥有了好赌之心或者贪婪之欲,那么就如脱缰的野马,再也很难刹得住了!