颗粒级配是骨料的重要性能指标,良好级配的骨料具有各个粒级含量合理,既不过不多也不过少,具有较低的空隙率,在混凝土工作性相同的情况下可以降低用水量和胶凝材料用量。传统思想认为骨料仅仅起到惰性填充作用,对其改善混凝土性能及经济性的能力认识不足。随着机制砂等细骨料代替 河砂 使用,混凝土的骨料种类变得复杂,采用传统的先拟定各骨料的掺配比例,再通过试验调整的方法来进行配合比设计费时费力。采用骨料双因子理论结合ACI筛分建议,不仅可以优化骨料级配,还可以根据级配情况预判混凝土拌合物工作性,为混凝土工作提供方便。

(1) ACI 302.1R对骨料的筛余建议
ACI 302.1R对混凝土各级骨料的筛余提供了相应的建议:最大孔径的筛子上的筛余和0.15mm筛子上筛余的推荐范围分别为0%~4%和1.5%~5%;0.6mm和0.3mm筛子上的建议筛余为8%~15%;对于最大粒径大于25mm的骨料,余下各级筛子的筛余量应在的8%~18%范围内,对于最大粒不大于25mm的骨料,如25mm或20mm,余下各级筛子的筛余量应控制在的8%~22%范围内。一般情况下,可以允许1~2个不相邻的筛子上的筛余量超出此范围,但是两个相邻筛子的筛余量之和不应低于5%且三个相邻筛子的筛余量之和不应低于8%。
(2)粗糙度因子——工作性因子理论
粗糙度因子——工作性因子理论是由美国的 Shilstone教授利用粗糙度因子(CF)和工作性因子(WF)两个参数来反映骨料级配与混凝土工作性之间的关系,利用两者的关系来控制和优化混凝土骨料的级配。Shilstone在大量试验的基础上总结出了CF-WF图(如图1),并将CF-WF图分为五个区域,不同的区域代表了不同级配特点的骨料。

区域1内混凝土骨料颗粒粗颗粒较多,为间断级配,拌合物易离析;区域2对应的骨料级配优良,对要求骨料最大粒径为20mm~40mm的混凝土来说,具有较好的工作性和经济性;区域3对应的骨料适用于骨料最大粒径不大于20mm的混凝土;区域4对应的骨料,细颗粒较多,易导致混凝土拌合物过粘,不仅影响可泵性和工作性,对混凝土的长期性能也不利,易产生收缩、开裂等问题;区域5对应的骨料细颗粒过少,混凝土拌合物表现为干涩、松散,粗骨料包裹性差,会造成混凝土工作性下降。
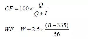
Shilstone把骨料颗粒按照粒径大小分为了三部分:Q、I和W。Q为骨料中粒径大于9.5mm的颗粒,主要起骨架作用和填充作用,能够降低混凝土收缩和裂缝的产生和发展。I 为骨料中粒径大于2.36mm并且小于9.5mm的颗粒,作为中间颗粒,是混凝土体系中空隙的主要填充材料,它的存在有利于混凝土流动性。W为骨料中粒径小于2.36mm 的颗粒,作为细颗粒能够起到润滑作用,对提高混凝土的工作性有利。WF和CF计算公式如下:

式中,CF为粗糙度因子;
WF为工作性因子;
Q为骨料中粒径大于 9.5mm的颗粒质量百分比;
I骨料中粒径小于9.5mm并且大于2.36mm的颗粒质量百分比;
W为骨料中粒径小于2.36mm颗粒质量百分比;
B为胶材质量,kg。
利用上述公式可以计算(CF,WF),根据(CF,WF)的落点可以对混凝土骨料级配进行直观、全面的分析,评定骨料级配是否合理,需要对混凝土骨料的组成进行适当调整。CF的取值范围为0~100之间,若为100时,骨料的级配中缺乏2.36~9.5mm之间的颗粒,可视为间断级配,整体上表现为偏粗。若为0时,骨料中没有大于9.5mm以上的颗粒,整体上表现为偏细。当CF变小时,骨料中细颗粒含量过多,骨料中总比表面积大大增加,在不增加水泥浆量的情况下,水泥浆相对的变少了,从而影响了混凝土的工作性。在CF增大时,骨料中大颗粒含量增加,而中间颗粒含量减少,骨料的比表面积减少,水泥浆体与粗骨料的界面厚度增加,有利于混凝土拌合物工作性的提高。在CF取值适当,没有使骨料形成间断级配,引起混凝土离析的情况下,混凝土工作性能受WF影响较大。WF不仅与骨料级配有关,还受胶材用量的影响,当胶材用量较小时,浆体粘度较低,需要适当提高砂率以避免离析、泌水现象的发生。在相同胶材用量下,通过调整骨料级配,适当降低CF、增加WF能够改善混凝土的工作性,从而在较低的胶材用量下仍然能够配制出满足工作性和强度要求的混凝土。CF-WF双因子理论仅考虑了骨料的级配状况,而对骨料粒形没有考虑,在骨料粒形不佳时,很有可能出现不适用的情况。