在统计学中,把反映现象总体中各个体的变量值之间差异程度的指标称为离散程度,也称为离中趋势。
描述一组数据离散程度常用极差、四分位差、方差和标准差、变异系数等。
极差
极差(Range)也叫全距,是一组数据中最大值与最小值之差,即:R=max(Xi)-min(Xi)
某班级40名同学统计学的考试成绩原始资料如表求考试成绩极差。

在A11单元格输入表格名称“极差”。

单击B11单元格,在编辑栏中输入“=MAX(A2:E9)-MIN(A2:E9)”,结束后按回车键。

四分位差
四分位差(Interquartile Range)是指第3个四分位数与第1个四分位数之差,也称为内距或四分间距,用Qr表示。四分位差的计算公式为:Qr= Q3- Q1。
四分位差反映了中间50%数据的离散程度。其数值越小,说明中间的数据越集中;数值越大,说明中间的数据越分散。四分位差不受极值影响,因此,在某种程度上弥补了极差的一个缺陷。
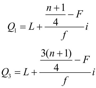
对应组数据,Q1和Q3的计算公式为

其中,L为四分位数所在组的下界,F为至四分位数所在组的累积频数,f为四分位数所在组的频数,i为四分位数所在组的宽度。
对应非组数据,在Excel中,可以利用QUARTILE函数求非组数据的四分位数。
函数语法:QUARTILE(array, quart)
● array为需要求得四分位数值的数组或数字型单元格区域。如果数组为空,函数QUARTILE返回错误值“#NUM! ”。
● quart决定返回哪一个四分位值。如果quart不为整数,则被截尾取整;如果quart<0,或quart>4,函数QUARTILE将返回错误值“#NUM! ”。
使用QUARTILE函数求非组数据四分位数。

求第1个四分位数。单击E6单元格,在编辑栏中输入“=QUARTILE(B2:B13,1)”,按回车键结束。

求第3个四分位数。单击E7单元格,在编辑栏中输入“=QUARTILE(B2:B13,3)”,按回车键。

求四分位差。单击E8单元格,在编辑栏中输入“=E7-E6”,完成后按回车键。
