【前情回顾】
在探究液体压强规律实验中发现液体压强有这样的特点:
- 液体内部向各个方向都有压强
- 同种液体的同一深度,各方向压强都相等
- 深度越大,液体的压强也越大
- 液体的压强还与液体的密度有关,深度相同时,液体密度越大,压强越大。
【预习新知】
在电视中经常看到花样游泳运动员在水中屏住呼吸完成动作,而在浅海中观察鱼类生活的科考队员,要穿潜水服背氧气瓶。
花游运动员 科考队员


在较深的海水中的潜水员要穿抗压服背氧气瓶,而要潜水员潜入更深的海底则需要用到潜水器。
科考员 蛟龙号潜水器


海水的压强随深度增加而增大,在深水中要采用特殊的防护装备,以防身体被海水压坏。
【举手提问】
- 液体在某一深度压强有多大?
- 如何计算液体内部的压强?
【新课学习】
一、【想想议议】
从前面的实验知道,在同一深度,液体向各个方向的压强相等。

1.我们只要算出某一深度液体竖直向下的压强,也就同时知道了液体在这一深度各个方向上的压强。
2.要知道液面下某处竖直向下的压强,可以设想在此处有个水平放置的平面,然后计算这个平面上方液柱对这个平面的压强即可。
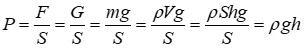
二、公式推导
如图:设在水中取一平面,面积为S,平面在液面下的深度为h,液体的密度为p

推导过程:
选取液柱的体积:V=Sh 因为:p=m/V 所以:液柱的质量m=pV=PSh
因为:G=mg 所以:液柱的重力
G=mg=pShg
由于平面受到正上方液柱压力等于液柱的重力,即:F=G=mg=pShg
所以平面受到的压强:

计算液体内部压强公式:

从公式看出:液体内部压强的大小与液体密度和深度有关。
提示:公式中的h指的是深度,即:液体内部某处计算点到液体自由面的高度。
三、符号的意义及单位
P---- 液体的压强 --- 帕斯卡(Pa)
p----- 密度--- 千克每立方米(kg/m3)
g——重力与质量的比值 ——牛每千克(N/kg)
h — 液体的深度——米(m)
四、液体内部压强计算
例题:(2017兰州34题6分)
如图所示,质量为500g的薄壁容器放在水平地面上,容器底面积为80m2,内装1.5L的水.已知g取10N/kg. p水=1.0×103kg/m3

求:(1)容器对水平地面的压强;
(2)水对容器底部的压力.
解题思路:
1.容器对水平地面的压强属于固体压强,是容器压力产生的效果,所以先考虑容器对地面的压力,由于容器放在水平地面上,所以容器对地面的压力等于容器和液体的重力之和。
解:(1)1.5L水的质量:
m=pV=1.0×10kg/m3×1.5x10-3m3=1.5 kg
容器对水平地面的压力:
F=G容 +G水 =m容g+m水g=5N+15 N=20 N
容器对水平地面的压强:
p= F/S= 20 N /80×10-4m2=2.5x103Pa
2.水对容器底部的压力是液体内部压强产生的结果,所以先求出容器底部受水的压强,再求压力。
(在 P=pgh 中的h是容器底部到水自由面的竖直高度,不是到液面的长度,所以公式中水深h=10cm=0.1m)
(2)因为容器是连通器,所以水深h=10cm=0.1m,则水对容器底部的压强P1=pgh=1.0×10kg/m3x10 N/kg×0.1m=1 000 Pa
由p= F/S 得,水对容器底部的压力:F1=p1S=1000Pa×80×10-4m2 =8 N
五、压力、压强大小比较
例题:(2018*安泰**)
如图所示,水平桌面上放有底面积和质量都相同的甲、乙两平底容器,分别装有深度相同、质量相等的不同液体.下列说法正确的是
( )
①容器对桌面的压力:F甲>F乙
②液体的密度:p甲=p乙
③液体对容器底部的压强:P甲>P乙
④容器对桌面的压强:P甲’ =p乙'

A. 只有①和③ B.只有①和④
C.只有②和③ D.只有③和④
解题思路:
1.两个容器的质量以及所装液体的质量相同,即m甲总 =m乙总;容器对桌面的压力F=G总=m总g,所以两个容器对桌面的压力相同,即F甲=F乙,故①错误;
2.已知容器底面积相等,即S甲=S乙;由P= F/S 可知,两个容器对桌面的强关系为p甲'=p乙',故④正确;
3.两个容器底面积相同,液体深度相同;由图可知,两个容器内液体的体积关系为:V甲<V乙;由于两种液体的质量相同,由p= m/V 得p甲>p乙,故②误;
4.已知液体深度相同,即h甲=h乙,由p=pgh可知,液体对容器底部的压强关系为p甲>P乙,故③正确.
综上所述,③④正确,故选D.
【同步训练】
1.(2019南充)
如图,容器中装有深度为10cm,质量为60g的水,已知容器质量为30g,底面积为5cm,容器底部受到水的压强为 Pa,容器x水平桌面的压强是 Pa.
(p水=1.0×103kg/m3,g=10 N/kg)

2.(2019襄阳)
如图所示,一个密封的圆台状容器,内装一定质量的水,放在水平桌面上,现把它倒置过来,则 ( )

A.水对容器底的压力减小
B.水对容器底的压强减小
C.容器对桌面的压强减小
D.容器对桌面的压力减小
3.(2019河南)
如图所示,水平桌面上放着底面积相等的甲、乙两容器,分别装有同种液体且深度相同,两容器底部所受液体的压力、压强分别用F甲、F乙、P甲、P乙表示,则 ( )

A.F甲=F乙,P甲=P乙 B.F甲=F乙, P甲>P乙
C.F甲 >F乙, P甲=P乙 D.F甲>F乙, P甲>P乙

参考答案:
1. 1000 1800 2. A 3. A