【学习目标】
1.掌握混联电路的一般分析方法。
2.学会混联电路的等效变换,会求混联电路的等效电阻。
一、电阻混联电路
1.混联电路:在实际电路中,既有电阻串联又有电阻并联的电路,称为混联电路。

2.混联电路的一般分析方法
混联电路的一般分析方法如下:
①求混联电路的等效电阻。先计算各电阻串联和并联的等效电阻,再计算电路总的等效电阻。
②求混联电路的总电流。由电路的总的等效电阻和电路的端电压计算电路的总电流。
③求各部分的电压、电流和功率。根据欧姆定律、电阻的串、并联特点和电功率的计算公式分别求出电路各部分的电压、电流和功率。
【例1】如图所示电路,已知U=220V,R1=R4=10,R2=300,R3=600。试求:(1)电路的等效电阻R;(2)电路中的总电流I;(3)电阻R2两端的电压U2;(4)电阻R3消耗的功率P3。


3.混联电路的等效变换与等效电阻的求法
混联电路的等效变换通常采用等电位法,等电位法的一般分析方法如下:
①确定等电位点,标出相应的符号。导线的电阻和理想电流表的电阻可忽略不计,可以认为导线和电流表连接的两点是等电位点。
②画出串、并联关系清晰的等效电路图。根据等电位点,从电路的一端画到另一端,一般先确定电阻最少的支路,再确定电阻次少的支路。
③求解等效电阻。根据电阻串、并联的关系求出等效电阻。
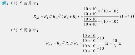
【例2】如图(a)所示电路中,R1=R2=R3=R4=10,试求S断开与闭合时AB间的等效电阻。

分析:
S断开时,A与A为等电位点;从A点出发到B点有三条通路,第一条通过R2,第二条通过R4,第三条通过R1与R3;其简化等效电路如图(b)所示,即R1与R3串联再与R2、R4并联。
S闭合时,A、A与A为等电位点;从A点出发到B点仍有三条通路,第一条通过R2,第二条通过R4,第三条通过R3,R1接在A与A之间,被短路;其简化等效电路如图(c)所示,即R2、R3、R4并联。

本节课主要写的有关混联电路、混联电路的一般分析方法、混联电路的等效变换与等效电阻的求法,其实努力学习还是很简单的,望各位电气大佬一起交流!有不懂得电工记得留言评论哦!有些地方写的可能不是很完善“勿喷”! 谢谢各位的支持!