
文|娱栀
编辑|娱栀
介绍
信息安全已经从主要关注机密性和存储和传输中的数据的完整性,以纳入信任、隐私和远程地面实况调查。
在这40年里跨度,安全技术的使用场景已经从使用大型计算机保护物理场所演变而来确保轻量级、低成本、高性能和低功耗的手机、平板电脑和传感器的安全。

经典安全性(即数学或算法)创建了优雅的安全原语和协议,不幸的是对于大多数现代人来说,这些解决方案不仅速度慢,而且消耗大量能源。

纳米电子器件及其特性
近年来,器件物理学家已经实现了各种各样的纳米电子器件,我们现在重点介绍一些被国际确定为逻辑和存储器应用潜在候选者的器件半导体技术路线图 。
忆阻 器由夹在两个电极之间的两个金属氧化物层组成,其中一个金属氧化物层具有氧空位,而另一个则缺乏,在施加电压/电流时,器件的电阻会因氧空位的变化而变化。

候选纳米电子器件的器件结构
电阻式随机存取存储器(RRAM)由夹在两个之间的金属氧化物层组成电极,在施加足够高的电压时,形成传导路径在金属氧化物层内,促进电流流动。
接触电阻式随机存取存储器(CRRAM)是通过堆叠TiN/TiON实现的RRAM变体,这种结构使用CMOS晶体管的漏极作为底部电极,可实现紧凑的电池阵列。

因此,人们可以构建高密度存储器,与RRAM类似,开关电阻设置并使用适当的施加电压复位。

相变存储器(PCM)由相变材料和夹在两者之间的加热器组成电极,在短时间内施加大电流脉冲时,一个区域相变材料变为无定形,因此表现出高电阻。
在施加电流脉冲时相对较长的持续时间,非晶区域变成晶体,从而降低电阻。

A.忆阻器
记忆阻力或记忆力M(q)相关费用q和助焊剂,使得设备的记忆力随外加电场和时间的变化为:

忆阻器由多种材料制成,一个二氧化钛2−x具有氧气空位的层二氧化钛2夹在金属(铂)之间的无氧空位层电极。
一般地说忆阻器由夹在两个金属层(金属-绝缘体-金属或MIM),其中绝缘层可以是多种材料,包括硫族化合物,金属氧化物,或有机薄膜。

忆阻器至少具有两种电阻状态,即高电阻状态(HRS)和低电阻状态(LRS),自将忆阻器从HRS切换到LRS(SET操作),适当极性和幅度的电压偏置。
LRS中的设备可能会返回到HRS(a复位操作)通过施加较低的电压,VRESET通过限制施加的电压或电流,可以实现额外的电阻状态。

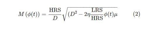
金属氧化物和其他类型的忆阻器的仿真模型是基于其器件物理场开发的,助焊剂之间的关系φ(t)以及设备的记忆力,M(φ(t)),可以写成:

金属氧化物忆阻器具有独特的特性可用于确保安全性,并非所有类型的忆阻器具备所有这些特征。忆阻器表现出的具体特性取决于所使用的材料。

双极性忆阻器的理论电流-电压特性
表1列出了不同纳米电子表现出的特性设备,所有这些特性,除了非挥发性和辐射硬度外,都会带来问题,当这些器件用于构建存储器和逻辑电路。
只有忆阻器具有所有这些特性,同时将使用忆阻器作为示例设备,并解释如何利用其特性构建安全基元。

表1精选纳米电子设备所展示的特性,该”−“标记表示相应的文献中没有信息可用
集成电路(IC)制造过程中的随机不可克隆物理疾病可用于生产应用挑战(输入)时的独特响应(输出),使用称为物理不可克隆函数(PUF)的特殊电路为此。
PUF已用于处理器上的安全软件执行、设备身份验证、现场可信配置可编程门阵列(FPGA)以及用于加密存储。

固定持续时间的写入脉冲施加到选定的忆阻器,由于工艺变化,一些忆阻器打开,其他保持关闭状态。
如果忆阻器导通,则相应响应位的值分配给逻辑1,否则它被分配给逻辑0,虽然仅改变写入脉冲的持续时间, 但 改变写入脉冲的持续时间和幅度。

基于忆阻器的纳米PUF产生的独特响应质量
研究人员利用STT-RAM和PCM等其他纳米电子设备的工艺变化进行设计,PUF电路域墙存储器PUF使用STT-RAM写入时间的变化。
PUF电路是使用磁性隧道结器件,同样可以使用PCM设备写入时间的变化来产生独特的响应,还可以在横杆作为PUF。

PPUF是PUF的变体,尽管攻击者可以模拟给定质询上的PPUF以获得响应,但模拟时间过长(例如,几年)与应用质询并获得其对PUF基元的响应所需的时间相比。
NanoPPUF可以实现两方安全协议,比如身份验证、密钥交换、位承诺和时间戳,不能使用PUF来实现其中的许多协议,因为它需要先验地了解挑战-响应对的各方。

人们可以通过利用工艺变化等特性来使用忆阻器构建NanoPPUF,双向性,以及忆阻器和忆阻器横杆模型的仿真复杂性。
NanoPPUF还利用了多联骨牌形状,这些形状可以是在忆阻器横杆中实现,多联体是由连接多个单独的块,M-omino是通过连接M块形成的。

大小为1(红色)、2(蓝色)、3(绿色)和4(黄色)的所有多联骨牌。
NanoPPUF由五个主要部分组成:(i)横杆,(ii)挑战和检定电路,(iii)刷新和检定电路,(iv)响应电路,以及(v)控制器电路。

A4×4基于忆阻器的NanoPPUF架构。
如图5 所示,横杆中的每个交叉点都由一个忆阻器组成,它还由水龙头点组成(显示为蓝色圆点)来测量边界条件。
这些分接点连接到电压传感器以测量电压,在选择一组点击点时,可以在横杆中实现多联体。

一个可以通过敲击忆阻器M4、M1、M5和M9周围的点来实现L形10米诺,选定的水龙头点定义多联体的边界。
挑战和表征电路使人们能够在协议期间应用挑战,并且表征忆阻器以构建仿真模型,挑战应用于横杆的左侧通过2:1多路复用器。

当质询位为1时,则多路复用器施加幅度级电压Vdd到该特定行,如果挑战位为0,则该行浮动,以便没有电流从横杆泄漏穿过行。
浮动行不会消除电路中的潜行路径,相反它们迫使所有潜行路径电流通过连接到横杆立柱的响应电路排出。

挑战和表征电路使人们能够在协议期间应用挑战,并且表征忆阻器以构建仿真模型,挑战应用于横杆的左侧通过2:1多路复用器。
刷新和检定电路每行有两个2:1的多路复用器,在刷新阶段应用多路复用器Vdd到行,该脉冲足够长,使得所有忆阻器都切换到小时。

在表征阶段,多路复用器迫使横杆的右侧浮动,以便表征脉冲仅通过目标器件,在质询响应阶段,多路复用器强制横杆侧的右手浮动,以便潜行路径电流仅通过响应电路排出。

安全分析
模拟设置中制造的忆阻器器件,该器件的参数如 表3 所示,为了分析变化的影响,厚度设备因±2%.评估安全性和稳定性指标。

表3 纳米PPUF器件参数
横杆的尺寸应该足够大,例如攻击者模拟NanoPPUF在计算上是不可行的,但足够小可以装入芯片。
因此,需要确定满足这两个约束的横杆尺寸, 图6 显示了不同横杆尺寸和不同的电阻器件, 可以看出,忆阻器器件的仿真时间比其他器件长设备,因为它是高度非线性的I-V关系。

图6不同电阻器件的不同横杆尺寸的仿真时间
可以通过确定拟合数据点的多项式方程来估计NanoPPUF的仿真时间如图6所示。这样的多项式方程可以通过使用曲线来估计Matlab中的拟合工具箱。
在曲线上拟合图6中的数据值, NanoPPUF的仿真时间N行和N列(N×N)给出为:模拟时间=0.0175N3+0.412N2+4.99N+2.39秒

NanoPPUF对于不同尺寸的横杆的唯一性、位混叠和均匀性
根据这个等式,可以确定为了获得1000天的模拟时间,PPUF应该尺寸1782×1782。

从图中可以推断,即使对于小尺寸的多联体(例如,20),该可能的多联骨牌数量超过十亿。如此大量的多联骨牌阻止攻击者伪装。
攻击者不知道验证者将为她选择这十亿个多联名骨牌中的哪一个模拟,当多联学尺寸为20时,验证器的仿真时间约为25s,这是可行的执行实时身份验证。

图7不同大小的多胺的可能多联骨牌数量和模拟时间
图9 显示了电压的正确性和可靠性结果8的波动×8横杆。即使正确性可靠性值在较高电压下下降,最小值仍大于90%。
此外,95%置信区间的扩散为 ± 最多1%,纳米PPUF产生即使在电压波动的情况下也能提供可靠的响应。

图9正确性和可靠性结果为8×8存在电压时的纳米PPUF波动
基于纳米电子学的真随机数生成器
随机数生成器是重要的安全原语,因为它们用于生成会话密钥对于建立安全的沟通渠道至关重要,NanoTRNG利用纳米电子设备中固有的随机性,特别是CRRAM,生成随机数。
CRRAM可用于生成随机数,如图10所示,CRRAM由两个电极之间的二氧化硅层形成底部电极是CMOS晶体管的漏极,这种结构使它们与CMOS器件兼容过程。

图10(a)施加高压时形成导电丝
使用忆阻器生成唯一特征的电气配置
在成型步骤中,一个TE偏置,而另一个TE接地,形成两根低电阻细丝;每个TE下方一个穿过绝缘体材料层。
在复位操作期间,两者的电阻值串联忆阻器返回HRS, 在此操作过程中,只有一个低电阻灯丝变为高电阻;另一根灯丝保持低电阻率。

后一根细丝的位置用作随机位值,该位置取决于工艺引起的绝缘层厚度和掺杂剂的变化集中在忆阻器中。
低电阻灯丝的位置也不受额外SET和重置操作,将为硬件生成唯一的签名,此签名不会事先确定到“编队”步骤,从而防止制造单位中的攻击者被动读取此内容唯一的设备ID并欺骗它。

结论
我们调查了纳米电子设备的重要特性,并演示了如何使用它们来构建新的安全原语。研究人员主要关注nanoPUF和nanoPPUF。
几个已经为纳米PUF和纳米PPUF制定了度量和设计标准,在较小程度上,设计和评估的基于纳米电子设备的随机数发生器的报道。

篡改检测和使用纳米电子设备的取证正在不断发展,不同的纳米电子器件有不同的集合属性,从而启用不同的安全原语。
CrocusTechnology已经开始提供基于RAM的磁性存储器,使人能够在没有的情况下执行身份验证从内存中读出 。

参考文献:
“通过可重构纳米结构保护硬件(受邀论文)”,2022年IEEE/ACM国际计算机辅助设计会议(ICCAD)。
“基于忆阻器复位开关的高熵真随机数发生器”,IEEE电子器件通讯,第43卷,第9期,
“超越CMOS”,2021年IEEE器件和系统国际路线图,2021年第01至129页。

如果你也喜欢我的文章,不妨点个“关注”吧!小生在此谢过了!
END