本文作者:branxu,腾讯 CDG 应用研究员
2018 年和 2019 年腾讯算法广告大赛都可以看做推荐系统问题。这类问题最重要的特征是点击率,最大的难点是冷启动。文本结合 2018 年比赛亚军方案和 2019 年比赛冠军方案中的一部分技巧,提出了一种新的点击率建模方案,试图解决一部分冷启动问题。该方案复杂度很低,实现简单,效果好。
问题介绍
推荐系统和广告算法中,对于新用户或者新内容,记录很少,如果我们直接将历史点击率作为特征,会存在问题。比如
1,新用户 A 有 2 条浏览记录,1 次点击,转化率 50%,
2,老用户 B 有 2 条浏览记录,0 次点击,转化率 0%。
A 和 B,只因为 1 次点击,点击率就相差 50%,这不合理。显然,问题出现在 A,B 用户都是新用户,他们的历史数据太少了,历史点击率自然不准。
这就像我告诉同事小明:我王者荣耀贼溜,后羿 100%胜率。实际上,我只打了两盘后羿,其中一盘还是新手教学。同事小明可能会多嘴问一句:你打了几盘后羿啊?但是模型不会,没有专门调整过的模型只会默默接受我后羿 100%胜率的设定,然后给我匹配一堆王者选手。这就是冷启动问题。
解决思路
已经 9102 年了,我们人类星球上的人工智能模型的计算能力还可以,但还是太“老实”,太“傻”。所以,解决上述问题的方法就是:直接把预测结果告诉模型,别让模型自己去算,去猜。这显然是句废话,不过翻译成学术语言就不是了:给模型输入概率,而不是频率。
所以最好的办法是,利用用户的历史点击率,去计算用户之后点击的概率,再将这个概率输入模型。通过用户 A 的历史点击频率去计算用户 A 之后点击的概率,听起来不错,但又不太可行,因为这里的信息太少了。好在我们有所有数据,用所有用户的历史点击频率去预测用户 A 之后点击的概率,似乎有点希望。
贝叶斯平滑
新用户 A 只有两条浏览记录,模型还不够认识用户 A,如何办?如果 A 用户能多几次浏览记录就好了。可是去哪里找那不存在的浏览记录呢?我们可以假定用户 A 和其他所有用户是差不多,用其他用户的历史数据“构造”一些浏览记录,作为新用户 A 的浏览记录。这里“构造”出来的记录,可以理解成先验知识。当我们见过了很多用户之后,即使不认识新用户 A,也会对 A 有个大概的“预期值”。贝叶斯平滑就是这样工作的,它通过“观测”所有用户数据,为新用户确定一个初始预期值,这个预期值就是“先验”。而用户 A 自己真实的行为所产生的“预期值”,被称之为后验。最后我们将先验和后验综合起来,计算一个贝叶斯平滑修正过的点击率。
贝叶斯平滑的推导比较繁杂,也不是本文的重点,有兴趣的话,可以查看:
https://www.jianshu.com/p/c98f3bb48b97
有了贝叶斯平滑,我们可以对点击率进行修正,让历史转化率这个频率值,更加接近用户真实点击的概率。
连续值与深度学习
通过上文,我们可以得到一个贝叶斯平滑后的点击率,那么直接把点击率特征输入深度神经网络,问题不就解决了吗?
只能说,对于大多数普通特征也许可以这样,但是转化率这种强特征,这样做太浪费了。原因如下:
近年来,推荐系统相关的深度网络模型层出不穷:
DeepFM,Wide & Deep,Deep & Cross Network,Attentional Factorization Machine,xDeepFM,Deep Interest Network,AutoInt…
这些模型都有个共同特点:拥有 FM 层或者 Attention 层(Wide & Deep 除外)。FM 层和 Attention 层都能有效进行特征交叉,从而提高了模型精度。FM 层和 Attention 层的输入都是向量,所以这些模型基本都需要让特征先进入嵌入层,变成一个向量,再参与后面的特征自动交叉。
这时候,连续值特征就会很尴尬,他们无法像离散值特征一样进入嵌入层,从而无法参与后面的特征交叉,效果大打折扣。
目前将连续值转化成向量的解决方案主要有以下几种:
第一种方式是对连续值特征做离散化分桶,之后将分桶后的离散值输入到嵌入层到的嵌入向量。分桶本质上就是做四舍五入近似,等距分桶是直接四舍五入,等频分桶是排序后对序做四舍五入,这两种方法会影响精度。因为近似必然会损失信息。
第二种方式也是离散化,不过是有监督的离散化。它借鉴了决策树的思路,枚举所有分割点,找到一组分割点,使分割后的数据组的信息熵增益最大。这里有个比较 trick 的做法:直接用一部分数据训练一个 lightGBM 模型,然后解析模型文件,里面记录了 lightGBM 模型选出来的最优分割点,直接可以用。需要注意的是,有监督的离散化用到了数据的标签,所以可能会带来数据穿越。为了避免这个问题,建议训练 lightGBM 模型的数据和深度学习的数据不要重合。
第三种方法来自 AutoInt 论文,非常有趣。它先用前面两种方法对连续值特征 Z 做离散化,得到 Z',之后将 Z'输入嵌入层得到嵌入向量 emd(Z'),最后用嵌入层的输出 emd(Z')再乘以 Z。想法很巧妙:既然离散化后的特征会损失精度,那么就将原始特征再一次输入模型。
最后一种方法来自 2019 年比赛冠军成员郭大,下文重点介绍。
键值储存网络
该方法灵感来自 NLP 顶会 ACL2016 的论文《Key-Value Memory Networks for Directly Reading Documents》。
文章为深度网络引入了记忆模块,原本是用来解决 QA 问答问题的,不过简单改进后,可以用来将构造续值特征的专属嵌入层。(目前推荐系统很多好的 idea,都来自 NLP 和 CV 领域。所以,学习推荐系统或者广告算法,了解 NLP 和 CV 领域的前沿研究成果也很重要)
不多说,键值储存网络(Key-Value Memory Networks)结构如下:

图一:Key-Value Memory Networks
键值储存网络与普通网络最大的区别是可以方便的引入先验知识,即图中的 Knowledge Source 模块。该模块相当于一个内嵌在神经网络中的“搜索引擎”,对于输入的任何一个 Question,先在 Knowledge Source 中做一次搜索,然后将搜索结果也作为神经网络的输入。为什么说它是内嵌在神经网络中呢?因为搜索结果与 Question 之间存在一个相似度,这个相似度的计算是依赖神经网络的,它可以享受梯度下降带来的优化。
模型主要分为三个部分:Key hashing,Key addressing 和 Value reading。
Key hashing

图二:Key hashing
Key hashing 是离线计算好的。它的输入是 Question 和 KnowlegeSource。Question 是 QA 问答问题中的提问,比如“如何打开企业微信”。KnowlegeSource 是一个类似维基百科的数据库,里面记录了各种词汇,实体和知识。
Keyhashing 就是把所有 Question 里面的常用词(出现次数大于某个阈值)挑出来,然后给这些词一个编号,组成一个字典。字典的 key 是这些常用词,value 是常用词编号。
Key addressing

图三:Key addressing
Key addressing 就是去 Knowlege Source 里面寻找 Question 中的词汇和短语。比如找到了:"企业","微信","企业微信","如何"等词。Question“如何打开企业微信”会有一个训练出的 Question embedding 值,同时,"企业","微信","企业微信","如何"等词也都有各自的 embedding 值,被称为 Key embeddings。用 Question embedding 分别乘以每一个 Key embeddings,再经过一次 Softmax,就可以得到 Question 与各个 Key 的相似度权重 P。具体公式如下:

Key hashing 和 Key addressing 用上述模型解决了一个问题:Question 与 Knowlege Source 中相近词汇的相关性。比如对于 Question"如何打开企业微信",可以得到一个相似度权重 P 字典{"企业":0.4,"微信":0.2,"企业微信":0.3,"如何":0.1}。
Value reading

图四:value reading
value reading 是键值储存网络的核心部分。还记得我们上文有个 key embedding,对应的,Key-Value Memories 还有个 value embedding,它的输入是 Knowlege Source 里面每个词的 id。对 value embedding 以上文的 p 为权重加权求和,便得到我们需要的向量 o。

优势
和传统的深度神经网络比,键值储存网络可以方便的让先验知识以键值对的方式输入模型(图中的 Key-Value Memories)。这意味着,神经网络的输入值可以直接是多个键值对组成的字典。
举个例子,传统神经网络只能将数字作为特征,比如:身高(173),体重(90)或者年龄(25)。而键值储存网络可以将兴趣 ({‘篮球’:0.5,'足球':0.2,'台球':0.1}) 作为特征,直接输入给模型。字典特征的 key 是实体,使用 LabelEncoding 后可以进入嵌入层,value 是其权重。键值储存网络可以方便的将输入的字典特征转化成上文的向量 o。
连续值键值储存网络
回到最开始的问题,我们想找到一个将连续值转成向量的方法,但上文却一直在讲键值储存网络,为什么?
因为键值储存网络实现了字典特征->向量的转换,我们希望的是连续值->向量的转换。所以,借助键值储存网络,只需要再实现连续值->字典特征的转化就大功告成了。连续值->向量很难,但是连续值->字典特征方式很多,易于实现。
假定有了连续值->字典特征的转化,那么总体架构和键值记忆网络基本一致,如下图所示:

图五:连续值键值储存网络
连续值->字典特征的转化即图中的 Key-Value Memory,如何实现这部分应当结合具体的业务场景,数据分布。这里先介绍下郭大的做法吧:
- 将连续值特征缩放至[0,1]区间
- 在[0,1]区间找 n 等分点,比如 n=6 时,就是(0, 0.2, 0.4, 0.6, 0.8, 1)
- 依次计算连续值 x 与 n 等分点的距离,比如 x=0.3,n=6,就是(0.3, 0.1, 0.1, 0.3, 0.5,0.7),之后构造字典特征{0:0.3, 1:0.1, 2:0.1, 3:0.3, 4:0.5, 5:0.7}
- 对字典特征的 value 取倒数后 softmax,具体相似度公式如下:

python 伪代码: {i: softmax(1/(q-i/n+1e-15)) for i in range(n+1)},其中 q 为浮点数特征,n 为等分点个数。这里加上 1e-15 是为了防止 q 正好等于某个等分点时,分母为 0。
郭大的方法将字典特征的 key 定义为[0,1]区间的等分点,之后对浮点数与各等分点的距离做取倒和 softmax 变换。取倒是为了保证浮点数越接近等分点,权重越大。softmax 变换是为了保证所有权重之和为 1。
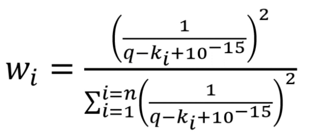
实践中发现,当 q 与某个等分点较接近时,value 中除该等分点对应的值外,都非常接近 0。这主要是因为 softmax 函数会指数级加大距离间差异。
为了缓解这种情况,我在最近的代码里使用如下相似度公式:

该公式取距离平方反比为权值,之后将权值缩放至总和为 1。用该公式得到的权值比较"分散",可以让模型更好的学习那些冷门分位数的嵌入表示。
概率分布特征
截至目前,文章讲了点击率特征的贝叶斯平滑,以及如何在不损失精度的情况下把浮点数特征(比如点击率特征)输入神经网络。
如果把点击率看成一个普通浮点数,问题已经解决。但是点击率并不普通,点击率可以被认为是用户是否点击广告这个随机变量的期望值。
用户是否点击广告实际上是一个随机变量,点击率就是用这个随机变量的期望值作为特征,去描述它。这样做实际上是用一个值去代表一个复杂的分布,必然会带来信息损失。举个例子,A 用户浏览 20 次,点击 10 次。B 用户浏览 100 次,点击 50 次。A 和 B 的点击率都是 50%,但是他们是否点击广告的概率分布却大不一样:

图六:用户A和用户B否点击广告的概率分布
虽然 AB 两用户点击率都是 50%,但是 B 用户点击次数更多,所以 B 用户的点击率更置信,B 用户的概率分布也更集中。这就体现出点击率特征的弊端,它只能描述概率分布的期望,无法完整描述概率分布。
我们希望完整描述概率分布给模型,我们希望精确区分出点击率很相似但总浏览数差异很大的那群人。这个问题可以被定义为如何向模型描述一个概率分布。
用户是否点击广告的概率分布是连续的,用概率密度函数可以表示。可以对概率密度函数函数进行分段近似,分别统计它在[0,0.1),[0.1,0.2),[0.2,0.3),[0.3,0.4)…区间的平均值,用这些平均值来表示这个分布。形式如下:
{[0,0.1):0.1,[0.1,0.2):0.2,[0.2,0.3):0.4,[0.3,0.4):0.4,…}
该形式其实也是字典特征,它的 key 是区间,value 是点击率这个随机变量落在各区间的概率。如此一来,可以直接将这个字典特征输入键值储存网络。这种方式利用随机变量的概率分布,跳过了连续值->字典特征这一步,直接做随机变量->字典特征,避免了上文中的人工设计相似度公式。
如果构造的特征可以被看做是随机变量,那么就可以利用数学工具得到他的概率分布,概率分布分段近似得到字典特征,最后将字典特征输入键值储存网络。
代码实现与复杂度分析
上文的方法在代码实现上很容易,用途广泛(任何使用了嵌入层的网络都可以用)。
代码主要有四部分:贝叶斯平滑,随机变量->字典特征的转换,浮点数>字典特征的转换和键值储存网络。
相关第三方库
importnumpyasnp
importrandom
importpandasaspd
importscipy.specialasspecial
fromsklearn.model_selectionimportStratifiedKFold,KFold
fromscipyimportstats
fromcollectionsimportOrderedDict,namedtuple
fromitertoolsimportchain
fromtensorflow.python.keras.initializersimportRandomNormal
fromtensorflow.python.keras.layersimportEmbedding,Input,Flatten
fromtensorflow.python.keras.regularizersimportl2
贝叶斯平滑
classBayesianSmoothing(object):
def__init__(self,alpha,beta):
self.alpha=alpha
self.beta=beta
defsample(self,alpha,beta,num,imp_upperbound):
sample=np.random.beta(alpha,beta,num)
I=[]
C=[]
forclk_rtinsample:
imp=random.random()*imp_upperbound
clk=imp*clk_rt
I.append(int(imp))
C.append(int(clk))
returnI,C
defupdate(self,imps,clks,iter_num,epsilon):
foriinrange(iter_num):
new_alpha,new_beta=self.__fixed_point_iteration(imps,clks,self.alpha,self.beta)
ifabs(new_alpha-self.alpha)<epsilonandabs(new_beta-self.beta)<epsilon:
break
self.alpha=new_alpha
self.beta=new_beta
def__fixed_point_iteration(self,imps,clks,alpha,beta):
numerator_alpha=0.0
numerator_beta=0.0
denominator=0.0
foriinrange(len(imps)):
numerator_alpha+=(special.digamma(clks[i]+alpha)-special.digamma(alpha))
numerator_beta+=(special.digamma(imps[i]-clks[i]+beta)-special.digamma(beta))
denominator+=(special.digamma(imps[i]+alpha+beta)-special.digamma(alpha+beta))
returnalpha*(numerator_alpha/denominator),beta*(numerator_beta/denominator)
随机变量(beta 分布)->字典特征
defbeta_ppf(alpha,beta,dim):
returnstats.beta(alpha,beta).ppf([x/(dim+1)forxinrange(0,dim+2)])
defbeta_prior_feat_2_vec(data,key_col,count_col,sum_col,dim):
data_simple=data.drop_duplicates([key_col],keep='last')
bs=BayesianSmoothing(1,1)
bs.update(data_simple[count_col].values,data_simple[sum_col].values,1000,0.0000000001)
ifnp.isnan(bs.alpha)ornp.isnan(bs.beta):
bs.alpha,bs.beta=0,0
data[key_col+'_beta_cdf_value']=list(
map(lambdax,y:beta_cdf(x,y,dim),data[sum_col]+bs.alpha,data[count_col]-data[sum_col]+bs.beta))
data[key_col+'_beta_ppf_value']=list(
map(lambdax,y:beta_ppf(x,y,dim),data[sum_col]+bs.alpha,data[count_col]-data[sum_col]+bs.beta))
data[key_col+'_beta_key']=[np.array([iforiinrange(dim)])for_inrange(data.shape[0])]
returndata[key_col+'_beta_cdf_value'].values,data[key_col+'_beta_ppf_value'].values,data[key_col+'_beta_key'].values
浮点数->字典特征
defnumpy_softmax(x):
orig_shape=x.shape
iflen(x.shape)>1:
exp_minmax=lambdax:np.exp(x-np.max(x))
denom=lambdax:1.0/np.sum(x)
x=np.apply_along_axis(exp_minmax,1,x)
denominator=np.apply_along_axis(denom,1,x)
iflen(denominator.shape)==1:
denominator=denominator.reshape((denominator.shape[0],1))
x=x*denominator
else:
x_max=np.max(x)
x=x-x_max
numerator=np.exp(x)
denominator=1.0/np.sum(numerator)
x=numerator.dot(denominator)
assertx.shape==orig_shape
returnx
deffloat2vec(float_feat,bar_num=20,method='gravitation'):
float_feat=(float_feat-np.min(float_feat))*1.0/np.max(float_feat-np.min(float_feat))
key_array=np.array([[i*1.0/(bar_num+1)foriinrange(bar_num+1)]]*len(float_feat))
value_array=None
ifmethod=='gravitation':
value_array=1/(np.abs(key_array-float_feat[:,None]+0.00001))**2
value_array=value_array/np.sum(value_array,axis=1,keepdims=True)
ifmethod=='sofmax':
value_array=1/np.abs(key_array-float_feat[:,None]+0.00001)
value_array=numpy_softmax(value_array)
returnkey_array,value_array
网络结构
defget_varlen_multiply_list(embedding_dict,features,varlen_sparse_feature_columns_name_dict):
multiply_vec_list=[]
print(embedding_dict)
forkey_featureinvarlen_sparse_feature_columns_name_dict:
forvalue_featureinvarlen_sparse_feature_columns_name_dict[key_feature]:
key_feature_length_name=key_feature.name+'_seq_length'
ifisinstance(value_feature,VarLenSparseFeat):
value_input=embedding_dict[value_feature.name]
elifisinstance(value_feature,DenseFeat):
value_input=features[value_feature.name]
else:
raiseTypeError("Invalidfeaturecolumntype,got",type(value_feature))
ifkey_feature_length_nameinfeatures:
varlen_vec=SequenceMultiplyLayer(supports_masking=False)(
[embedding_dict[key_feature.name],features[key_feature_length_name],value_input])
vec=SequencePoolingLayer('sum',supports_masking=False)(
[varlen_vec,features[key_feature_length_name]])
else:
varlen_vec=SequenceMultiplyLayer(supports_masking=True)(
[embedding_dict[key_feature.name],value_input])
vec=SequencePoolingLayer('sum',supports_masking=True)(varlen_vec)
multiply_vec_list.append(vec)
returnmultiply_vec_list
classSequenceMultiplyLayer(Layer):
def__init__(self,supports_masking,**kwargs):
super(SequenceMultiplyLayer,self).__init__(**kwargs)
self.supports_masking=supports_masking
defbuild(self,input_shape):
ifnotself.supports_masking:
self.seq_len_max=int(input_shape[0][1])
super(SequenceMultiplyLayer,self).build(
input_shape)#Besuretocallthissomewhere!
defcall(self,input_list,mask=None,**kwargs):
ifself.supports_masking:
ifmaskisNone:
raiseValueError(
"Whensupports_masking=True,inputmustsupportmasking")
key_input,value_input=input_list
mask=tf.cast(mask[0],tf.float32)
mask=tf.expand_dims(mask,axis=2)
else:
key_input,key_length_input,value_input=input_list
mask=tf.sequence_mask(key_length_input,
self.seq_len_max,dtype=tf.float32)
mask=tf.transpose(mask,(0,2,1))
embedding_size=key_input.shape[-1]
mask=tf.tile(mask,[1,1,embedding_size])
key_input*=mask
iflen(tf.shape(value_input))==2:
value_input=tf.expand_dims(value_input,axis=2)
value_input=tf.tile(value_input,[1,1,embedding_size])
returntf.multiply(key_input,value_input)
defcompute_output_shape(self,input_shape):
returninput_shape[0]
defcompute_mask(self,inputs,mask):
ifself.supports_masking:
returnmask[0]
else:
returnNone
defget_config(self,):
config={'supports_masking':self.supports_masking}
base_config=super(SequenceMultiplyLayer,self).get_config()
returndict(list(base_config.items())+list(config.items()))
上述代码除贝叶斯平滑转载自网络外,均为原创。
改进后的键值网络与连续值离散化后接入嵌入层的方法相比,没有增加训练参数,只是多做了一次向量加权求和,多增加了一些权重的输入。另一方面,改进后的键值网络中,分位数或者概率区间个数是可以人工调整的,当分位数或者概率区间个数为 1 时,该方法就退化成离散化后接入嵌入层。