为什么世界杯要踢64场才能将决出前四名呢?
这是一个有趣的数学问题,包含了简单的排列组合计算。
首先,从比赛的赛制和大家谈起。
第一阶段,小组赛。一共是32个球队参赛,4个队在一组,一共有8个小组。
A,B,C,D,E,F,G,H这8个组,每组进行6场比赛,为什么是6场?不是4场,5场呢?因为小组赛要保证每个小组的任何两个球队都要比一场,大家可以数一数哈。
下面这个是本届世界杯A组的比赛安排,大家可以看一下哈
A组的4支队伍,俄罗斯,沙特,埃及,乌拉圭。要保证任意两个队都要比一场,那就需要6场。

怎么计算能够不重不漏呢?
方法一:列举法,上面看到的是网上给出的官方发布结果,如果我们进行细致的计算的话。其实也很简单,“倒三角”列举。
俄-沙特,俄-埃及,俄-乌拉圭
沙特-埃及,沙特-乌拉圭
埃及-乌拉圭
大家仔细数一数哈,从上到下,3+2+1,所以一共是6场。
假设一个小组现在是5个球队,那一共有多少场呢?
方法一样,为了列举方便,假设5个球队分别叫1,2,3,4,5.
那所有的比赛是这样的:继续使用倒三角列举
1-2,1-3,1-4,1-5,
2-3,2-4,2-5,
3-4,3-5,
4-5
你看,是不是总共有4+3+2+1,一共10场比赛,对吧
那如果是5个球队是多少场呢?相信你已经发现规律了
应该是5+4+3+2+1=15场
方法二:
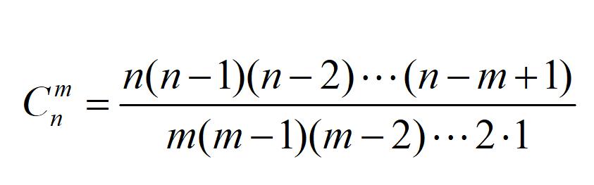
直接使用排列组合公式,4个球队,两两比一场,
所以一共有

场比赛,上面这个东西叫做组合数,表示的意思是从4个不同的元素中任意选出2个,可能产生的可能性。根据组合数的计算公式,直接得到结果就是

如果是5个球队,结果就是

这个怎么算呢,

给大家补充一下一般计算公式:

现在高一同学高二应该会学的,哈哈。
顺便说两个副产品:
第一个,杨辉三角

很多同学从小就知道,对吧。哈哈,以上数表中,每个数等于肩上两数之和
例如:10=4+6,15=10+5,这个可以一直写下去。
其实,你不知道的是,这个表本质就是组合数数表哦
看下面这个

上下两个表是一样的哦。他们都是a+b的n次方的展开中各项的系数
第二个副产品,来自于上高二的时候我的一次发烧所得,纯属娱乐。
求证:

成立。
下面就采用以上的踢足球的方法。
用两种方法计算同一个东西就可以啦。
假设世界杯小组赛,每组有n+1个球队进行循环赛,任何两个球队只需要进行一场比赛,问:一共需要进行多少场比赛?
方法一:用组合数的计算公式,答案应该是:

方法二:设这n+1个球队为1,2,3,4,....,n+1号,
那么需要进行的比赛为:
1-2,1-3,1-4,....,1-n,1-(n+1)
2-3,2-4,....,2-n,2-(n+1)
......
(n-1)-n,(n-1)-(n+1)
n-(n+1)
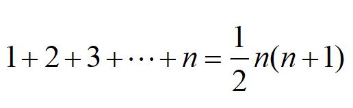
一共是:n+(n-1)+(n-2)+...+2+1场,
我用了两种方法计算了同一个东西,所以他们应该是相等的,也就是说

是正确的。
等等,等等,老师你这在说啥呢?咱这不是说世界杯呢嘛,
对对对,今天没吃药,职业病犯了,一不留神就又开始讲课了。
刚才我们说到:第一阶段小组赛,分8个组,对吧,每组比赛6场,所以,小组赛阶段一共要进行8×6=48场比赛,这48场比赛之后,每个小组头2名进入下一阶段的比赛,我们称之为淘汰赛了。也就是说,小组赛过后,会有16支球队,进入第二阶段的淘汰赛。
第二阶段第1轮:16个队,分8组,每组踢一场,胜者留,败者走。
8场比赛过后,淘汰8个队,剩下8个队
第二阶段第2轮:8个队,分4组,每组踢一场,胜者留,败者走
4场比赛过后,淘汰4个队,剩下4个队
第二阶段第3轮:4个队,分2组,每组踢一场,胜者留,败者走
2场比赛过后,淘汰2个队,剩下2个队
最后:剩下的两个对进行冠军和亚军的决赛,然后,和前面不同的是,上一轮 中被淘汰的两个球队其实还要再留下来比一场,争夺第3名和第4名。
所以,淘汰赛阶段一共进行8+4+2+1+1=16场比赛。
当然,还有更简单的计算方法,在数学里总有更简单的算法
如果不考虑3,4名的比赛,只考虑淘汰赛的进行场次,大家会发现,进行一场比赛总是淘汰一个队,当决赛结束后,只留下了一个冠军,相当于淘汰了15支球队,所以一定进行了15场比赛,然后在加上3,4名的争夺战,就是16场了。
最终,一共进行了48+16=64场比赛。
这就是为什么世界杯有64长比赛的真正原因,下面用一个公式概括所有

以上问题解决中需要的知识重要是高中数学中排列组合的知识,
现在高一的同学在高二的时候就能够学到,现在高二的理科生已经学过来,文科就没学滴,但是其中的倒三角形列举,在高考的概率计算中有可能出现哦。
今天的文章就到这里,祝大家看球愉快!!