为获得办公建筑内合理的通风模式, 以兰州地区某办公室为研究对象, 在考虑围护结构热惰性情况下, 采用AIRPAK 3.0软件对不同送风速度下的置换通风和层式通风的流场、温度场、CO2体积分数、PMV及空气龄等进行了对比分析.结果表明:层式通风具有无吹风感、温度更适宜、空气品质更好、CO2体积分数更低的特点, 对办公室内空气品质的调节优于置换送风, 更易于提供健康、舒适的室内环境, 在改善室内空气品质与热舒适性方面更具优势.
办公室作为人们重要的工作场所, 其室内空气品质与工作人员的身心健康和工作效率密切相关, 因此选择一种既能满足人体舒适性和室内空气品质要求又能达到节能目的的通风方式尤为重要.不同通风方式对于改善室内空气[…]
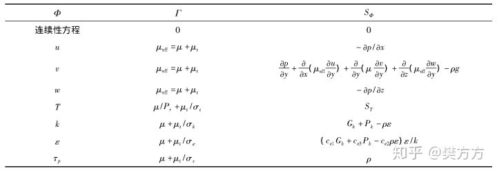
式中:φ为通用变量, 分别表示u, v, w, T, k, ε, τp.方程中各变量含义见表2.为了简化计算, 假定空气为不可压缩流体, 流动为稳态湍流, 不考虑流体粘性力作功而引起的耗散热, 室内空气不参与辐射换热, 密度的变化满足Boussinesq假设.

图1 计算房间Fig.1Room for calculating *载下**原图
表1 室内人员及设备参数Tab.1 Parameters of the persons and equipment in the room *载下**原表

表2 控制方程中各变量含义Tab.2 The meaning of each variable within the control equation *载下**原表

1.3 边界条件
1) 室内壁面边界条件:
(1) 室内所有气固交界面的空气流动选取速度无滑移条件[13].
(2) 考虑室外太阳辐射, 采用谐波法得到室外空气综合温度, 进而得到不同时刻西、北墙内壁面温度, 作为求解控制方程的室内壁面温度给定值.东、南墙为内墙, 其内壁面、桌子等障碍物表面均视为绝热边界.
2) 热源边界:两个人的热流密度均为69.33W/m2, 两台电脑热流密度均为208.30 W/m2, 4盏灯的散热强度均为111.00 W/m2.
3) 污染源条件设置:以CO2作为代表性污染物, 通过送风口送入的空气中CO2的体积分数设为0.04%, 办公室内人员呼吸产生的CO2体积分数为4%[14].
兰州夏季室内设计温度取26℃, 置换通风的送风速度为0.3 m/s, 送风温度为21℃;层式通风的送风速度为1.0 m/s, 送风温度为21℃[15].人体呼吸区设为速度入口, 速度为0.02 m/s.进风口空气成分及体积分数分别为:O2为21.0%, CO2为0.04%, H2O为0.6%, 其余为N2.
2 数值计算基础
2.1 网格划分
计算区域采用结构化网格进行离散.由于进、排风口以及人体呼吸区流动参数变化剧烈, 为保证数值计算中信息传递的准确性, 对这些区域的网格进行了加密[16].经网格独立性验证后, 确定489 768为本文计算的网格数.
2.2 数值方法
求解控制方程时, 离散控制方程采用有限容积法, 对于压力和速度耦合问题采用了SIMPLE算法[17];能量方程、动量方程、湍流动能方程、湍流动能耗散率方程、组分输运方程均采用二阶迎风格式离散.该方法的正确性已在文献[18]中得到了验证.
2.3 围护结构的热惰性分析
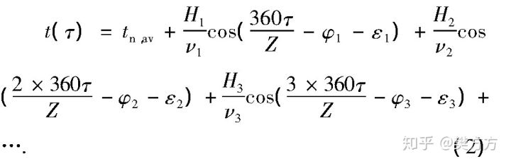
室外温度波通过围护结构向室内传递时, 不仅有温度波的衰减, 在时间上还存在着延迟效应, 即模拟时刻内壁面温度条件与该时刻的室外温度并不对应, 所以, 壁面热边界条件必须通过非稳态传热计算得到以体现围护结构的热惰性, 才能更好地提高模拟的准确性以及可信度.非稳态传热的计算公式为

其中:温度t (τ) 的变化周期为Z;tn, av是由稳态规律确定的外墙内壁面温度平均值, ℃;振幅衰减记为ν1, ν2, ν3, …, 单位为1;相位延迟为ε1, ε2, ε3, …, 单位为度.非稳态传热的温度变化示意图如图2所示[19].
图2中, Hw为围护结构外壁面温度波动幅度, ℃;Hn为围护结构内壁面温度波动幅度, ℃;ts为室内空气平均温度, 本文取26℃;tzh, av为室外综合温度平均值, ℃.
在考虑围护结构的热惰性情况下, 得到了西外墙和北外墙不同时刻的内壁面温度值, 如图3所示.限于篇幅, 本文以15:00时刻的计算结果为例.此时北墙内壁面温度为25.89℃, 西墙内壁面温度为26.49℃.

图2 非稳态传热过程示意图Fig.2 Schematic diagram of unstable heat transfer process *载下**原图

图3 围护结构逐时温度Fig.3 Enclosure structure temperature with time *载下**原图
2.4 室内舒适性评价
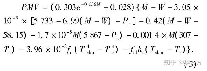
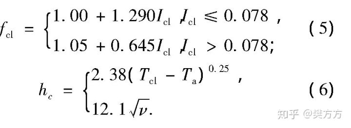
影响舒适性的因素包括环境因素和与居住者有关的条件, 其中, 环境因素包括室内温度、湿度、气流速度等, 与居住者有关的条件包括年龄、性别、衣着、活动状况等.目前, 最常用的评价建筑室内舒适性的指标PMV是由丹麦学者Fanger教授提出的, 其计算式为

式中:M为人体新陈代谢率, W/m2, 本文取58.15W/m2;W为人体所做的机械功, W/m2, 人体*坐静**时取0;Pa为水蒸气分压力, kPa, *坐静**时取Pa=φa×exp[16.653 6-4 030.183/ (ta+235) ];ta为室内空气平均温度, ℃;fcl为穿衣人体与裸体表面积之比, %, Tr为室内平均辐射温度, K, 可近似认为与ta相等;hc为对流换热系数, W/ (m2·K) .
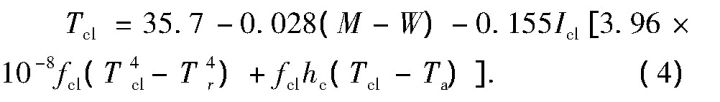
Tcl和hc的计算式为

其中:Icl为服装热阻, 夏季取0.5clo;Tcl为着装人体外表面平均温度, K;

式中:hc取较大者;v为室内气流速度, m/s.
3 结果分析
3.1 速度场和温度场
两种不同的通风方式对应的室内气流速度分布比较如图4所示.图4 (a) 置换通风模式中新风以较小的流速自东墙底部进入室内, 送入的新风一部分受办公桌的阻挡, 形成顺时针漩涡, 另一部分在回风的诱导作用下流入呼吸区.气流到达人体周围后速度约为0.05 m/s, 在1.1 m高度以上区域速度较高, 风速在0.07~0.15 m/s之间, 满足GB 50736-2012中对办公室内工作人员呼吸区风速小于0.25m/s的要求[20];图4 (b) 层式通风模式中新风进入室内的速度较高, 送风口又高于工作人员呼吸区, 新风自东墙进入室内后直接进入呼吸区, 只有少量空气在送风口下方形成漩涡区, 气流到达呼吸区的速度略高于置换通风的情况, 为0.1 m/s, 也满足规范要求, 工作人员没有吹风感.
两种通风方式室内空气温度在呼吸区高度所在水平面上的分布比较如图5所示.可以看出, 两种通风模式下工作区的空气受人体和电脑散热的影响, 温度均较高.图5 (a) 置换通风情况下室内温度范围在24~33℃, 从东进风口到西窗户位置温度逐渐上升, 人体周围温度在26~28℃左右, 温度较高, 电脑周围达到了34℃左右;图5 (b) 层式通风下, 由于送风速度增大, 室内湍流强度增强, 流场对于温度场的影响更加明显, 气体动量和热量交换加剧, 使得室内温度分布更加均匀, 室内温度范围在21~26℃之间, 与图5 (a) 相比, 温度整体水平降低, 同时温度自送风口位置向西存在较大的温度梯度, 呼吸区附近温度在22~25℃之间, 较为舒适.

图4 Y=1.8 m截面速度分布Fig.4 Velocity distribution in Y=1.8 m section *载下**原图

图5 Z=1.1 m截面温度分布Fig.5 Temperature distribution in Z=1.1 m section *载下**原图
3.2 CO2体积分数
大量的研究文献表明, CO2可以作为评判室内空气品质的典型污染物.两种通风方式室内CO2体积分数分布比较如图6所示.可以看出, 图6 (a) 中CO2体积分数的整体水平较图6 (b) 高, 这与截面位置所在处的流场和温度场的结构密切相关.在Z=1.1 m截面处, 人员呼吸区附近CO2体积分数梯度较大.图6 (a) 中工作区受人体呼吸作用的影响CO2体积分数稍高, 人体周围小范围的CO2体积分数在0.06%~0.18%之间, 房间其余位置CO2体积分数较低, 且分布均匀;图6 (b) 层式通风中CO2体积分数分布与置换通风情况类似, 工作区浓度较高区域明显减小, CO2体积分数在0.04%~0.10%之间, 整体水平低于置换通风, 未超过室内空气质量标准要求的上限值0.10%[21].这是因为层式通风风速较高, 新风直接进入人员呼吸区, 人员呼吸产生的CO2得到了有效稀释, 因而其在人体呼吸区的排污能力较置换通风强.这是因为室外气象参数通过围护结构的衰减、延迟, 最终体现为内壁面的热边界条件, 室内温度场又与污染物的迁移扩散过程存在强烈的耦合关系.因此, 同时考虑温度场、流场对污染物分布的影响较已有研究中只考虑流场结构单一因素更接近物理实际.

图6 Z=1.1 m截面CO2体积分数分布Fig.6 CO2concentration distribution in Z=1.1 m section *载下**原图
3.3 舒适性比较
两种通风方式对应的室内PMV分布比较如图7所示.可以看出, 图7 (a) 中置换通风室内PMV值范围为0.3~1.7, 工作区域在1.5~2.2之间, 整体较高, 根据文献[22]中对热感觉的7级标度规定, 人们在此环境下会感觉偏热.相比之下, 图7 (b) 中层式通风PMV值范围在-1.5~1.0之间, 工作区PMV值在0左右, 舒适度较好, 舒适性明显优于置换通风.依据2.4节中影响舒适性的因素, 室内空气平均温度和气流速度是两个重要的客观因素, 而室内空气平均温度既受气流组织形式的影响, 又与房间内壁面的热边界条件密切相关.因此, 围护结构的热惰性和通风模式是导致图7所示室内PMV分布特征差异的两个重要原因.

图7 Z=1.1 m截面PMV值分布Fig.7 PMV value distribution in Z=1.1 m section *载下**原图
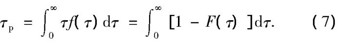
3.4 空气龄
空气龄是指进入室内的空气分子到达特定位置所用的时间, 其数值大小表明室内空气更换速度的快慢.某点的空气龄τp是指该点所有微团的空气龄的平均值[23]:

式中:f (τ) 为空气龄的概率分布函数, 指年龄为τ的空气微团在某点空气中所占的比例;F (τ) 为累计分布函数, 是指年龄比τ短的空气微团所占的比例.
两种通风方式室内人员呼吸区空气龄分布比较如图8所示.可以看出, 图8 (a) 中的呼吸区空气龄在400~500 s之间, 由西向东变化剧烈, 西墙附近有气体滞留的明显特征, 不利于污染物的排除.图8 (b) 中研究截面上空气龄差异较小, 其值远远低于置换通风方式下的空气龄, 工作区域空气龄保持在70~100 s范围内.整体来看, 层式通风方式下室内人员呼吸区的空气龄短, 空气较为新鲜, 在保证人体呼吸区良好空气品质方面较置换通风方式有一定的优势.

图8 Z=1.1 m截面空气龄分布Fig.8 Age of air distribution in Z=1.1 m section *载下**原图
4 结论
采用Realizable k-ε模型数值分析了不同通风模式对兰州夏季某办公室内空气品质与舒适性的影响, 得到了如下主要结论:
1) 在研究气流组织对室内空气品质影响规律方面, 应考虑围护结构的热惰性, 以体现室外气象条件对室内环境参数的影响机制, 所得室内环境品质的评价结果更接近物理实际.
2) 在给定的送风参数下两种通风模式均能满足工作区气流速度不超过0.25 m/s的上限值, 无吹风感, 人体舒适度较高;层式通风工作区温度满足舒适性的要求, 置换通风工作区温度在26~28℃之间, 稍高于层式通风模式的温度水平, 人体感觉偏热.
3) 层式通风的CO2体积分数平均值均低于置换通风, 且未超过室内空气质量标准要求上限值, 层式通风的工作区域PMV值接近0, 室内整体偏凉, 这有利于抑制室内污染物的释放.
4) 层式通风的空气龄分布值明显低于置换通风, 约为置换通风的1/4, 层式通风时办公室内空气更为新鲜, 空气品质更好.在受建筑结构及室外条件的限制不能采取自然通风时, 兰州地区办公建筑建议采用层式通风的通风方式.
5) 本文只对比分析了两种通风模式分别采用给定的送风参数下的通风效果, 同时考虑围护结构热边界条件、空气品质的改善效果、能耗分析的动态参数通风模式探寻将是下一步要做的工作.
摘自:通风模式对办公室内空气品质与舒适性的影响
在中国知网查看:中国知网-登录
本作品由中国知网负责全球范围内电子版制作与发行。版权归作者所有。
发布于 17:33