上帝之杖
RODS FROM GOD
神の杖
传说中的终极*器武**
在十几分钟的时间内实现全球任意目标地点的打击
*伤杀**力堪比战术核*器武**
更能摧毁深藏地下掩体的目标

上帝之杖概念图 | 图片来源:百度图片
“上帝之杖”是什么?
其研究进展到了哪一步,是否仍只存在于概念之中?
它的威力是否真如传说中那样恐怖?
01
战争发展史?扔石头发展史!
上帝之杖是一种 天基动能*器武** ,要了解它,就要从它的“前世”动能*器武**讲起。 动能*器武** 顾名思义便是 利用动能对物体造成*伤杀**的*器武** ,高速运动的弹头直接碰撞目标,释放巨大的动能摧毁目标。
动能*器武**在人类史中占据着重要的地位,从早期原始人捕捉猎物扔出的石子、投石索,到冷兵器时代的弓箭、投石车,再到*药火**诞生之后的枪械,都属于动能*器武**的范畴。如果三体人真的存在,他们摧毁一整个地球舰队的水滴也是一种动能*器武**。可以说,战争*器武**的发展其实就是在变着法子,扔更快的石头,扔更硬的石头。

水滴也是一种动能*器武** | 图片来源:百度图片
动能*器武**的核心便是 如何给“弹头”提供巨大的动能 。靠人力扔出的石头动能约为100焦耳;投石索通过甩动加速,动能可以达到200焦耳,比直接扔石头的威力高了一倍;弓可以 将形变存储的弹性势能转变为箭的动能 ,在英法百年战争期间立下赫赫战功的英国长弓手使用的英国长弓,可以为箭提供最大160焦的射击动能,并且由于箭头的设计能减小摩擦损耗,其*伤杀**力毫不逊色于投石索。

英国长弓 | 图片来源:参考资料4
在*药火**诞生之后,扔石头的方法进化了。将*药火**爆炸的能量转换为*弹子**的动能,瞬间将*弹子**加速到400米每秒的速度,对目标物造成巨大的*伤杀**。
而*药火**的诞生,也启发了*器武**向另一个方向的发展——爆炸*伤杀**。相比先将化学能转化为动能,经过长距离空气摩擦损耗最终对目标造成*伤杀**的动能*器武**,直接在目标附近爆炸释放巨大能量的*药炸**类*器武**逐渐在现代战争中占据主导。动辄百万焦能量的坦克炮弹已是战场的主宰,威力更大的核*器武**更是成为了大国之间博弈的终极*器武**。
那么动能*器武**会逐渐退出历史舞台吗?并不会。比如当人们真正进入宇宙,开启星际大战的时代,由于宇宙中缺少介质,靠爆炸*伤杀**的*器武**威力大打折扣,这时动能*器武**或许会成为最优解,毕竟太空中没有空气阻力,十分适合动能*器武**的发挥。

太空战争 | 图片来源:百度图片
不提遥远的未来,现在动能*器武**也有 电磁炮 *器武**逐渐开始得到研发应用。利用电磁力取代*药火**爆炸对弹体进行加速,可以给弹体提供更高的动能。

利用电磁加速弹体的高斯步枪 | 图片来源:百度图片
我们可以看到,给“石头”加速的能量来源多种多样,有人体做功能量、弓身形变的弹性势能、*药火**爆炸的化学能以及电磁场所具有的电磁能,但还有一种常见的能量也可以用于动能*器武**—— 重力势能 。天基动能*器武**由此而来。
02
“上帝之杖”的前世今生
早在上世纪50年代,兰德公司(Rand Corporation)提出在洲际导弹顶端安装长杆;而利用卫星发射这一方式则随着科幻作家 杰瑞·波内尔(Jerry Pournelle) 的作品流行开来,最终演变成现在的天基动能*器武**。
在2002年,兰德公司提供了一项报告,“Space Weapons,Earth Wars”,其中有一整章的内容用来描述天基动能*器武**的实用性。
在2003年,美国空军出版名为“The U.S. Air Force Transformation Flight Plan”的报告,在其未来天基*器武**的概述中提到了“超高速棒束”,也就是所谓的“上帝之杖”。

The U.S. Air Force Transformation Flight Plan | 图片来源:百度图片
在这份报告中,超高速棒束系统是 20英尺长(6.1米) ,1英尺直径(0.30米)的钨棒 ;在特点轨道上部署有6-8颗卫星控制,能够在12-15分钟内打击全球任意目标。这一钨棒质量约为8.2吨,在发射后能够以10马赫(十倍音速,3400m/s)的速度撞击目标物;相当于11.5吨*NTT**(48GJ)的能量瞬间释放,可以提供与等重的常规*弹炸**相类似的破坏力。

天基*器武**部署的卫星轨道 | 图片来源:参考资料3
真正让天基*器武**走入大众视线的还是其在一系列影视娱乐作品中的出场,以及“上帝审判”般的震撼表现。
杰瑞·波内尔在科幻小说中描述了天基*器武**的存在,其在小说中有着雷神般的表现。

Footfall | 图片来源:参考资料3
在机动战士高达系列中也有天基动能*器武**的体现——只不过是将整个卫星作为动能*器武**。

机动战士高达中的Colony Drop
2011年上映的《特种部队2:全面反击》利用精美的特效向观众展现了天机动能*器武**的巨大威力,仅仅一枚钨棒,便能引发足以摧毁整个伦敦的地震。

《特种部队2:全面反击》中天基动能*器武**发射画面
除了各种影视剧作品外,天基动能*器武**一直是各种游戏里终极*器武**的热门候选。《使命召唤:幽灵》的开场便是围绕着卫星上天基*器武**控制权的争夺展开,最终恐怖分子还是将一枚钨棒发射向了美国大陆,并完全摧毁了一座城市。

《使命召唤:幽灵》中的天基*器武**:Odin
此外,天基*器武**还出现在《辛迪加战争》、《质量效应2》、《光环》以及《GTA5》等一系列游戏中,均被设定为了威力巨大的终极*器武**。
可能有读者已经发现了,截至目前关于天基*器武**的描述全部为各种影视设定以及理论预测,天基*器武**到底威力几何,是否已经有实验验证呢?
03
天基*器武**威力几何
在2018年,我国研究团队发表了一篇名为 《超高速长杆弹对岩石侵彻、地冲击效应理论与实验研究》 的论文,详细模拟了天基*器武**对地面打击效果,并在其中描述了钨棒对地打击的实战结果。
与低速情况下不同,超高速的长杆弹与地面撞击不能再视为刚体碰撞,而是会根据速度不同分为 刚体侵彻、半流体侵彻与流体侵彻 三种模式。
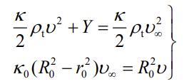
1. 在弹体速度v≥3.0马赫(1马赫=1倍声速)时,发生流体侵彻,需采用流体动力学模型对侵彻过程进行计算,其伯努利方程和连续方程为

其中v为向后喷射射流的速度极限,K为破碎介质喷射的压缩射流系数,表征了介质向后喷射过程中例子速度的变化情况。
2. 在弹体速度1.5马赫<v<3.0马赫范围内,发生半流体侵彻,介质处于内摩擦向流体状态转变区,采用修正的流体动力模型进行模拟。
3. 在弹体速度v≤1.5马赫时,发生刚体侵彻,岩石介质的动态变性可以采用线弹性内摩擦压缩模型进行模拟。
天基动能*器武**的撞击速度一般在10马赫以上,从上述分析可知,随着弹体侵彻岩石内部,弹体逐渐减速, 侵彻模式会发生从流体侵彻到半流体侵彻再到刚体侵彻的转变 ,因此在计算成坑范围时便可按照下图将弹坑分为三个区域分别计算。

超高速弹体侵彻演示成坑范围计算简图,由内向外分别为拟流体区,该区域的破碎岩石可视为无黏性不可压缩理想流体;裂纹区,该区域质点位移很小;弹性区,仍旧保持着岩石的初始物理力学特征。| 图片来源:参考资料6
当然,该团队不止是给出了用于分析的模型,还结合实际验证数据进行了分析。

文献原文 | 来源:参考资料6
也就是说, 我国已经实施了天基动能*器武**的对地打击原型实验,实验结果是140kg的钨棒仅打出了一个深3.0m,坑径4.6m的抛物型弹坑 。

钨棒打击戈壁滩实验的成坑结果示意图 | 图片来源:参考资料6
这个*伤杀**力距离毁灭一座城市着实有点儿远,看来想要实际应用弹体的质量还要提高不少。至于质量增加之后,如何控制运输成本和难度,那又是另一个问题了。
04
高空抛物的难处
利用重力势能与动能的转换,通过提高高度便可以得到更大的动能吗?
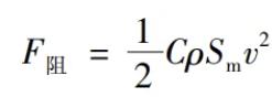
在地球上,凡是高空抛物问题,都不得不考虑空气阻力的影响。考虑一般的圆球形状的物体,其在空气中受到阻力

其中,C是阻力系数,ρ是空气密度,v是物体的速度。可以看到, 随着物体速度增大,其受到的空气阻力大小会呈抛物线型迅速增长 ,达到物体的重力大小,此时重力与空气阻力平衡,物体速度不再增长。
因此从高空落下的物体都会有一个收尾速度,比如雨滴的速度是8~9m/s。
(所以大家就不用担心一滴水从很高的地方落下来会不会砸死人了。)
同样对于天基动能*器武**而言,空气阻力会限制其速度增长。根据模拟计算,当不计入空气阻力时,“上帝之杖”动能弹的入地速度可以达到8221.3m/s,是计算空气阻力情况下的两倍多,反映在动能上没有空气阻力时弹体的动能可以达到原来的四倍以上。
或许等到人类真正进入宇宙的那一天,动能*器武**才能展现出它真正的威力,正如各种科幻作品中展示的那样。

《三体》中水滴轻松摧毁了人类舰队 | 图片来源:百度图片
参考资料:
-
Rods from God | Popular Science (popsci.com)
-
中国成功发射天基动能*器武**,威力惊人 - 知乎 (zhihu.com)
-
Kinetic bombardment - Wikipedia
-
发展了上万年的人类,准备摆脱对“动能*器武**”的痴迷了吗?- 知乎 (zhihu.com)
-
关于APFSDS的科普(一) 长杆弹高速侵彻的基本概念与Alekseevskii-Tate模型 - 哔哩哔哩 (bilibili.com)
-
王明洋,邱艳宇,李杰,等.超高速长杆弹对岩石侵彻、地冲击效应理论与实验研究[J].岩石力学与工程学报, 2018, 37(3):9.DOI:10.13722/j.cnki.jrme.2017.1348.
-
李争.“上帝之杖”天基动能*器武**毁伤效应评估[J].振动与冲击,2016,(18):159-164,180.
编辑:乐子超人