钢结构计算用表
为保证承重结构的承载能力和防止在一定条件下出现脆性破坏,应根据结构的重要性、荷载特征、结构形式、应力状态、连接方法、钢材厚度和工作环境等因素综合考虑,选用合适的钢材牌号和材性。
承重结构的钢材宜采用Q235钢、Q345钢、Q390钢和Q420钢,其质量应分别符合现行国家标准《碳素结构钢》GB/T 700和《低合金高强度结构钢》GB/T 1591的规定。当采用其他牌号的钢材时,应符合相应有关标准的规定和要求。对Q235钢宜选用镇静钢或半镇静钢。
承重结构的钢材应具有抗拉强度、伸长率、屈服强度和硫、磷含量的合格保证,对焊接结构尚应具有碳含量的合格保证。
焊接承重结构以及重要的非焊接承重结构的钢材还应具有冷弯试验的合格保证。
对于需要验算疲劳的焊接结构的钢材,应具有常温冲击韧性的合格保证。当结构工作温度等于或低于0℃但高于-20℃时,Q235钢和Q345钢应具有0℃C冲击韧性的合格保证;对Q390钢和Q420钢应具有-20℃冲击韧性的合格保证。当结构工作温度等于或低于-20℃时,对Q235钢和Q345钢应具有-20℃冲击韧性的合格保证;对Q390钢和Q420钢应具有-40℃冲击韧性的合格保证。
对于需要验算疲劳的非焊接结构的钢材亦应具有常温冲击韧性的合格保证,当结构工作温度等于或低于-20℃时,对Q235钢和Q345钢应具有0℃冲击韧性的合格保证;对Q390钢和Q420钢应具有-20℃冲击韧性的合格保证。
当焊接承重结构为防止钢材的层状撕裂而采用Z向钢时,其材质应符合现行国家标准《厚度方向性能钢板》GB/T 5313的规定。
钢材的强度设计值(材料强度的标准值除以抗力分项系数),应根据钢材厚度或直径按表2-77采用。钢铸件的强度设计值应按表2-78采用。连接的强度设计值应按表2-79至表2-81采用。
钢材的强度设计值(N/mm2) 表2-77
|
钢材 |
抗拉、抗压和抗弯f |
抗剪 fv |
端面承压(刨平顶紧) fce |
|
|
牌号 |
厚度或直径(mm) |
|||
|
Q235钢 |
≤16 |
215 |
125 |
325 |
|
>16~40 |
205 |
120 |
||
|
>40~60 |
200 |
115 |
||
|
>60~100 |
190 |
110 |
||
|
Q345钢 |
≤16 |
310 |
180 |
400 |
|
>16~35 |
295 |
170 |
||
|
>35~50 |
265 |
155 |
||
|
>50~100 |
250 |
145 |
||
|
Q390钢 |
≤16 |
350 |
205 |
415 |
|
>16~35 |
335 |
190 |
||
|
>35~50 |
315 |
180 |
||
|
>50~100 |
295 |
170 |
||
|
Q420钢 |
≤16 |
380 |
220 |
440 |
|
>16~35 |
360 |
210 |
||
|
>35~50 |
340 |
195 |
||
|
>50~100 |
325 |
185 |
||
注:表中厚度系指计算点的钢材厚度,对轴心受力构件系指截面中较厚板件的厚度。
钢铸件的强度设计值(N/mm2) 表2-78
|
钢号 |
抗拉、抗压和抗弯 f |
抗剪 fv |
端面承压(刨平顶紧) fce |
|
ZG200-400 |
155 |
90 |
260 |
|
ZG230-450 |
180 |
105 |
290 |
|
ZG270-500 |
210 |
120 |
325 |
|
ZG310-570 |
240 |
140 |
370 |
焊缝的强度设计值(N/mm2) 表2-79
|
焊接方法和焊条型号 |
构件钢材 |
对接焊缝 |
角焊缝 |
||||
|
牌号 |
厚度或直径 (mm) |
抗压 fcw |
焊缝质量为下列等级时,抗拉ftw |
抗剪 |
抗拉、抗压和抗剪 |
||
|
一级、二级 |
三级 |
fvw |
ffw |
||||
|
自动焊、半自动焊和E43型焊条的手工焊 |
Q235钢 |
≤16 |
215 |
215 |
185 |
125 |
160 |
|
>16~40 |
205 |
205 |
175 |
120 |
|||
|
>40~60 |
200 |
200 |
170 |
115 |
|||
|
>60~100 |
190 |
190 |
160 |
110 |
|||
|
自动焊、半自动焊和E50型焊条的手工焊 |
Q345钢 |
≤16 |
310 |
310 |
265 |
180 |
200 |
|
>16~35 |
295 |
295 |
250 |
170 |
|||
|
>35~50 |
265 |
265 |
225 |
155 |
|||
|
>50~100 |
250 |
250 |
210 |
145 |
|||
|
自动焊、半自动焊和E55型焊条的手工焊 |
Q390钢 |
≤16 |
350 |
350 |
300 |
205 |
220 |
|
>16~35 |
335 |
335 |
285 |
190 |
|||
|
>35~50 |
315 |
315 |
270 |
180 |
|||
|
>50~100 |
295 |
295 |
250 |
180 |
|||
|
自动焊、半自动焊和E55型焊条的手工焊 |
Q420钢 |
≤16 |
380 |
380 |
320 |
220 |
220 |
|
>16~35 |
360 |
360 |
305 |
210 |
|||
|
>35~50 |
340 |
340 |
290 |
195 |
|||
|
>50~100 |
325 |
325 |
275 |
185 |
|||
注:1.自动焊和半自动焊所采用的焊丝和焊剂,应保证其熔敷金属的力学性能不低于现行国家标准《碳素钢埋弧焊用焊剂》GB/T 5293和《低合金钢埋弧焊用焊剂》GB/T 12470中相关的规定;
2.焊缝质量等级应符合现行国家标准《钢结构工程施工质量验收规范》GB 50205的规定。其中厚度小于8mm钢材的对接焊缝,不宜用超声波探伤确定焊缝质量等级;
3.对接焊缝抗弯受压区强度设计值取fcw,抗弯受拉区强度设计值取ftw。
螺栓连接的强度设计值(N/mm2) 表2-80
|
承压型连接高强度螺栓 |
普通螺栓 |
锚栓 |
承压型连接 高强度螺栓 |
||||||||
|
C级螺栓 |
*级A**、B级螺栓 |
||||||||||
|
抗拉 |
抗剪 |
承压 |
抗拉 |
抗剪 |
承压 |
抗拉 |
抗拉 |
抗剪 |
承压 |
||
|
ftb |
fvb |
fcb |
ftb |
fvb |
fcb |
fta |
ftb |
fvb |
fcb |
||
|
普通螺栓 |
4.6级、4.8级 |
170 |
140 |
- |
- |
- |
- |
- |
- |
- |
- |
|
5.6级 |
- |
- |
- |
210 |
190 |
- |
- |
- |
- |
- |
|
|
8.8级 |
- |
- |
- |
400 |
320 |
- |
- |
- |
- |
- |
|
|
锚栓 |
Q235钢 |
- |
- |
- |
- |
- |
- |
140 |
- |
- |
- |
|
Q345钢 |
- |
- |
- |
- |
- |
- |
180 |
- |
- |
- |
|
|
承压型连接高强度螺栓 |
8.8级 |
- |
- |
- |
- |
- |
- |
400 |
250 |
- |
|
|
10.9级 |
- |
- |
- |
- |
- |
- |
- |
500 |
310 |
- |
|
|
构件 |
QZ35钢 |
- |
- |
305 |
- |
- |
405 |
- |
- |
- |
470 |
|
Q345钢 |
- |
- |
385 |
- |
- |
510 |
- |
- |
- |
590 |
|
|
Q390钢 |
- |
- |
400 |
- |
- |
530 |
- |
- |
- |
615 |
|
|
Q420钢 |
- |
- |
425 |
- |
- |
560 |
- |
- |
- |
655 |
|
注:1.*级A**螺栓用于d≤24mm和l≤10d或l≤150mm(按较小值)的螺栓;B级螺栓用于d>24mm或l>10d或l>150mm(按较小值)的螺栓。d为公称直径,l为螺杆公称长度;
2.A、B级螺栓孔的精度和孔壁表面粗糙度,C级螺栓孔的允许偏差和孔壁表面粗糙度,均应符合现行国家标准《钢结构工程施工质量验收规范》GB 50205的要求。
铆钉连接的强度设计值(N/mm2) 表2-81
|
铆钉钢号和构件 钢材牌号 |
抗拉(钉头拉脱) |
抗剪fvT |
承压fcT |
|||
|
ftT |
I类孔 |
II类孔 |
I类孔 |
II类孔 |
||
|
铆钉 |
BL2或BL3 |
120 |
185 |
155 |
- |
- |
|
构件 |
Q235钢 |
- |
- |
- |
450 |
365 |
|
Q345钢 |
- |
- |
- |
565 |
460 |
|
|
Q390钢 |
- |
- |
- |
590 |
480 |
|
注:1.属于下列情况者为I类孔:
1)在装配好的构件上按设计孔径钻成的孔;
2)在单个零件和构件上按设计孔径分别用钻模钻成的孔;
3)在单个零件上先钻成或冲成较小的孔径,然后在装配好的构件上再扩钻至设计孔径的孔。
2.在单个零件上一次冲成或不用钻模钻成设计孔径的孔属于II类孔。
计算下列情况的结构构件或连接时,上述强度设计值应乘以相应的折减系数:
1.单面连接的单角钢
1)按轴心受力计算强度和连接 0.85;
2)按轴心受压计算稳定性
等边角钢 0.6+0.0015δ,但不大于1.0:
短边相连的不等边角钢 0.5+0.0025δ,但不大于1.0;
长边相连的不等边角钢 0.70;
几为长细比,对中间无连接的单角钢压杆,应按最小回转半径计算,当δ<20时,取δ=20;
2.无垫板的单面施焊对接焊缝 0.85;
3.施工条件较差的高空安装焊缝和铆钉连接 0.90;
4.沉头和半沉头铆钉连接 0.80。
注:当几种情况同时存在时,其折减系数应连乘。
钢材和钢铸件的物理性能指标见表2-82。
钢材和钢铸件的物理性能指标 表2-82
|
弹性模量E (N/mm2) |
剪变模量G (N/mm2) |
线膨胀系数α (以每℃计) |
质量密度ρ (kg/m3) |
|
206×103 |
79×103 |
12×10-6 |
7850 |
吊车梁、楼盖梁、屋盖梁、工作平台梁以及墙架构件的挠度不宜超过表2-83所列的容许值。
受弯构件挠度允许值 表2-83
|
项次 |
构件类别 |
挠度允许值 |
|
|
[νT] |
[νQ] |
||
|
1 |
吊车梁和吊车桁架(按自重和起重量最大的一台吊车计算挠度) (1)手动吊车和单梁吊车(含悬挂吊车) (2)轻级工作制桥式吊车 (3)中级工作制桥式吊车 (4)重级工作制桥式吊车 |
l/500 l/800 l/1000 l/1200 |
|
|
2 |
手动或电动葫芦的轨道梁 |
l/400 |
|
|
3 |
有重轨(重量等于或大于38kg/m)轨道的工作平台梁 有轻轨(重量等于或大于24kg/m)轨道的工作平台梁 |
l/600 l/400 |
|
|
4 |
楼(屋)盖梁或桁架,工作平台梁(第3项除外)和平台板 (1)主梁或衔架(包括设有悬挂起重设备的梁和桁架) (2)抹灰顶棚的次梁 (3)除(1)、(2)款外的其他梁(包括楼梯梁) (4)屋盖檩条 支承无积灰的瓦楞铁和石棉瓦屋面者 支承压型金属板 有积灰的瓦楞铁和石棉瓦等屋面者 支承其他屋面材料者 (5)平台板 |
l/400 l/250 l/250 l/150 l/200 l/200 l/150 |
l/500 l/350 l/300 |
|
5 |
墙架构件(风荷载不考虑阵风系数) (1)支柱 (2)抗风桁架(作为连续支柱的支承时) (3)砌体墙的横梁(水平方向) (4)支承压型金属板、瓦楞铁和石棉瓦墙面的横梁(水平方向) (5)带有玻璃窗的横梁(竖直和水平方向) |
l/200 |
l/400 l/1000 l/300 l/200 l/200 |
注:1.l为受弯构件的跨度(对悬臂梁和伸臂梁为悬伸长度的2倍)。
2.[νT]为全部荷载标准值产生的挠度(如有起拱应减去拱度)允许值;
[νQ]为可变荷载标准值产生的挠度允许值。
框架结构的水平位移允许值:在风荷载标准值作用下框架柱顶水平位移和层间相对位移不宜超过下列数值。
1.无桥式吊车的单层框架的柱顶位移 H/150
2.有桥式吊车的单层框架的柱顶位移 H/400
3.多层框架的柱顶位移 H/500
4.多层框架的层间相对位移 h/400
H为自基础顶面至柱顶的总高度;h为层高。
注:1.对室内装修要求较高的民用建筑多层框架结构,层间相对位移宜适当减小。无墙壁的多层框架结构,层间相对位移可适当放宽。
2.对轻型框架结构的柱顶水平位移和层间位移均可适当放宽。
桁架弦杆和单系腹杆的计算长度见表2-84。
桁架弦杆和单系腹杆的计算长度l0 表2-84
|
项次 |
弯曲方向 |
弦杆 |
腹杆 |
|
|
支座斜杆和支座竖杆 |
其他腹杆 |
|||
|
1 |
在桁架平面内 |
l |
l |
0.8l |
|
2 |
在桁架平面外 |
l1 |
l |
l |
|
3 |
斜平面 |
- |
l |
0.9l |
注:1.l为构件的几何长度(节点中心间距离);l1为桁架弦杆侧向支承点之间的距离。
2.斜平面系指与桁架平面斜交的平面,适用于构件截面两主轴均不在桁架平面内的单角钢腹杆和双角钢十字形截面腹杆。
3.无节点板的腹杆计算长度在任意平面内均取其等于几何长度(钢管结构除外)。
受拉构件的允许长细比见表2-85。受压构件的允许长细比见表2-86。
受拉构件的允许长细比 表2-85
|
项次 |
构件名称 |
承受静力荷载或间接承受动力荷载的结构 |
直接承受动力荷载和结构 |
|
|
一般建筑结构 |
有重级工作制吊车的厂房 |
|||
|
1 |
桁架的杆件 |
350 |
250 |
250 |
|
2 |
吊车梁或吊车桁架以下的柱间支撑 |
300 |
200 |
- |
|
3 |
其他拉杆、支撑、系杆等(张紧的圆钢除外) |
400 |
350 |
- |
注:1.承受静力荷载的结构中,可仅计算受拉构件在竖向平面内的长细比。
2.在直接或间接承受动力荷载的结构中,单角钢受拉构件长细比的计算方法与表2-86注2相同。
3.中、重级工作制吊车桁架下弦杆的长细比不宜超过200。
4.在设有夹钳或刚性料耙等硬钩吊车的厂房中,支撑(表中第2项除外)的长细比不宜超过300。
5.受拉构件在永久荷载与风荷载组合作用下受压时,其长细比不宜超过250。
6.跨度等于或大于60m的桁架,其受拉弦杆和腹杆的长细比不宜超过300(承受静力荷载或间接承受动力荷载)或250(直接承受动力荷载)。
受压构件的允许长细比 表2-86
|
项次 |
构件名称 |
允许长细比 |
|
1 |
柱、桁架和天窗架中的杆件 |
150 |
|
柱的缀条、吊车梁或吊车桁架以下的柱间支撑 |
||
|
2 |
支撑(吊车梁或吊车桁架以下的柱间支撑除外) |
200 |
|
用以减少受压构件长细比的杆件 |
注:1.桁架(包括空间桁架)的受压腹杆,当其内力等于或小于承载能力的50%时,允许长细比值可取为200。
2.计算单角钢受压构件的长细比时,应采用角钢的最小回转半径,但在计算交叉杆件平面外的长细比时,可采用与角钢肢边平行轴的回转半径。
3.跨度等于或大于60m的桁架,其受压弦杆和端压杆的允许长细比值宜取为100,其他受压腹杆可取为150(承受静力荷载或间接承受动力荷载)或120(直接承受动力荷载)。
单层厂房阶形柱计算长度的折减系数见表2-87。
单层厂房阶形柱计算长度的折减系数 表2-87
|
厂房类型 |
折减 系数 |
|||
|
单跨或多跨 |
纵向温度区段内一个柱列的柱子数 |
屋面情况 |
厂房两侧是否有通长的屋盖纵向水平支撑 |
|
|
单跨 |
等于或少于6个 |
- |
- |
0.9 |
|
多于6个 |
非大型混凝土屋面板的屋面 |
无纵向水平支撑 |
||
|
有纵向水平支撑 |
0.8 |
|||
|
大型混凝土屋面板的屋面 |
- |
|||
|
多跨 |
- |
非大型混凝土屋面板的屋面 |
无纵向水平支撑 |
|
|
有纵向水平支撑 |
0.7 |
|||
|
大型混凝土屋面板的屋面 |
- |
|||
注:有横梁的露天结构(如落锤车间等),其折减系数可采用0.9。
摩擦型高强度螺栓中摩擦面抗滑移系数见表2-88。一个高强度螺栓的预拉力见表2-89。
摩擦面的抗滑移系数μ 表2-88
|
在连接处构件接触面的处理方法 |
构件的钢号 |
||
|
Q235钢 |
Q345钢、Q390钢 |
Q420钢 |
|
|
喷砂(丸) |
0.45 |
0.50 |
0.50 |
|
喷砂(丸)后涂无机富锌漆 |
0.35 |
0.40 |
0.40 |
|
喷砂(丸)后生赤锈 |
0.45 |
0.50 |
0.50 |
|
钢丝刷清除浮锈或未经处理的干净轧制表面 |
0.30 |
0.35 |
0.40 |
一个高强度螺栓的预拉力P(kN) 表2-89
|
螺栓的性能等级 |
螺栓公称直径(mm) |
|||||
|
M16 |
M20 |
M22 |
M24 |
M27 |
M30 |
|
|
8.8级 |
80 |
125 |
150 |
175 |
230 |
280 |
|
10.9级 |
100 |
155 |
190 |
225 |
290 |
355 |
螺栓或铆钉的允许距离见表2-90。
螺栓或铆钉的最大、最小允许距离 表2-90
|
名称 |
位置和方向 |
最大允许距离 (取两者的较小值) |
最小允许距离 |
|||
|
中心间距 |
外排(垂直内力方向或顺内力方向) |
8d0或12t |
3d0 |
|||
|
中间排 |
垂直内力方向 |
16d0或24t |
||||
|
顺内力方向 |
构件受压力 |
12d0或18t |
||||
|
构件受拉力 |
16d0或24t |
|||||
|
沿对角线方向 |
- |
|||||
|
中心至构件边缘距离 |
顺内力方向 |
4d0或8t |
2d0 |
|||
|
垂直内力方向 |
剪切边或手工气割边 |
1.5d0 |
||||
|
轧制边、自动气割或锯割边 |
高强度螺栓 |
|||||
|
其他螺栓或铆钉 |
1.2d0 |
|||||
注:1.d0为螺栓或铆钉的孔径,t为外层较薄板件的厚度。
2.钢板边缘与刚性构件(如角钢、槽钢等)相连的螺栓或铆钉的最大间距,可按中间排的数值采用。
常见型钢及其组合截面的回转半径的近似值见表2-91。

圆形钢管规格及截面特征见表2-92。
|
直径 |
外径D (mm) |
壁厚t (mm) |
截面面积 (cm2) |
理论重量 (kg/m) |
外表面积 (m2/m) |
截面特征 |
|||||
|
I (cm4) |
W (cm3) |
i (cm) |
Ik (cm4) |
Z0 (cm) |
|||||||
|
(mm) |
(in) |
||||||||||
|
40 |
1½ |
48 |
3.5 |
4.89 |
3.84 |
0.151 |
|||||
|
50 |
2 |
57 |
3.5 |
5.88 |
4.62 |
0.179 |
21.14 |
7.42 |
1.90 |
42.27 |
2.85 |
|
60 |
3.5 |
6.21 |
4.88 |
0.188 |
24.88 |
8.30 |
2.00 |
49.77 |
3.00 |
||
|
70 |
2½ |
75.7 |
3.8 |
8.56 |
6.64 |
0.237 |
55.16 |
14.59 |
2.54 |
110.32 |
3.78 |
|
76 |
4.0 |
9.05 |
7.10 |
0.239 |
58.81 |
15.48 |
2.55 |
117.62 |
3.80 |
||
|
5.0 |
11.15 |
8.75 |
0.239 |
70.62 |
18.59 |
2.52 |
141.25 |
3.80 |
|||
|
80 |
3 |
88.5 |
4.0 |
10.62 |
8.34 |
0.278 |
94.99 |
21.44 |
2.99 |
189.97 |
4.43 |
|
89 |
4.0 |
10.68 |
8.40 |
0.280 |
96.68 |
21.73 |
3.01 |
193.36 |
4.45 |
||
|
5.0 |
13.20 |
9.24 |
0.280 |
116.79 |
26.24 |
2.98 |
233.58 |
4.45 |
|||
|
100 |
4 |
108 |
4.0 |
13.07 |
10.30 |
0.339 |
176.95 |
32.77 |
3.68 |
353.91 |
5.40 |
|
6.0 |
19.23 |
15.09 |
0.339 |
250.90 |
40.46 |
3.61 |
501.81 |
5.40 |
|||
|
114 |
4.0 |
13.82 |
10.85 |
0.358 |
209.35 |
36.73 |
3.89 |
418.70 |
5.70 |
||
|
125 |
5 |
133 |
4.0 |
16.21 |
12.73 |
0.418 |
339.53 |
50.76 |
4.56 |
675.05 |
6.65 |
|
6.0 |
23.94 |
18.79 |
0.418 |
483.72 |
72.74 |
4.50 |
967.43 |
6.65 |
|||
|
140 |
4.5 |
19.16 |
15.40 |
0.410 |
440.12 |
62.87 |
4.79 |
880.24 |
7.00 |
||
|
150 |
6 |
159 |
4.5 |
21.84 |
17.15 |
0.500 |
652.27 |
82.05 |
5.46 |
1304.54 |
7.95 |
|
6.0 |
28.84 |
22.64 |
0.500 |
845.19 |
106.31 |
5.42 |
1690.38 |
7.95 |
|||
|
165 |
4.5 |
22.69 |
17.81 |
0.518 |
731.21 |
88.63 |
5.68 |
1462.41 |
8.25 |
||
|
200 |
8 |
219 |
6.9 |
40.15 |
31.52 |
0.688 |
2278.74 |
208.10 |
7.53 |
4557.59 |
10.95 |
|
9.0 |
59.38 |
46.61 |
0.688 |
3279.13 |
299.46 |
7.43 |
6558.25 |
10.95 |
|||
|
250 |
10 |
273 |
8.0 |
66.68 |
52.28 |
0.858 |
5851.73 |
428.70 |
9.37 |
11702.46 |
13.65 |
|
11.0 |
90.62 |
71.09 |
0.858 |
7782.56 |
570.15 |
9.27 |
15565.11 |
13.65 |
|||
|
300 |
12 |
325 |
8.0 |
79.67 |
62.54 |
1.021 |
10013.94 |
616.24 |
11.21 |
20027.81 |
16.25 |
|
13.0 |
124.42 |
100.03 |
1.021 |
15531.78 |
955.80 |
11.04 |
31063.57 |
16.25 |
|||
注:I——毛截面惯性矩;W——毛截面抵抗矩;i——回转半径;Ik——抗扭惯性矩;Z0——截面重心到边缘距离。2-5-2 钢结构计算公式
1.构件的强度和稳定性计算公式(表2-93)





2.连接计算公式(表2-94)



2-5-3 钢管结构计算
1.适用于不直接承受动力荷载,在节点处直接焊接的钢管桁架结构。

2.钢管节点的构造应符合下列要求:
(1)主管外径应大于支管外径,主管壁厚不应小于支管壁厚。在支管与主管连接处不得将支管穿入主管内。
(2)主管和支管或两支管轴线之间的夹角θi不宜小于30°。
(3)支管与主管的连接节点处,应尽可能避免偏心。
(4)支管与主管的连接焊缝,应沿全周连续焊接并平滑过渡。
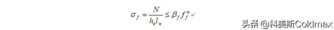
(5)支管端部宜用自动切管机切割,支管壁厚小于6mm时可不切坡口。
3.支管与主管的连接可沿全周用角焊缝,也可部分用角焊缝、部分用对接焊缝,支管管壁与主管管壁之间的夹角大于或等于120°的区域宜用对接焊缝或带坡口的角焊缝。角焊缝的焊脚尺寸hf不宜大于支管壁厚的两倍。
4.支管与主管的连接焊缝为全周角焊缝,按下式计算,但取βf=1:

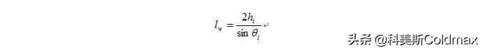
角焊缝的有效厚度he,当支管轴心受力时取0.7hf。角焊缝的计算长度lw,按下列公式计算:
(1)在圆管结构中取支管与主管相交线长度:

式中 d、di——主管和支管外径;
θi——主管轴线与支管轴线的夹角。
(2)在矩形管结构中,支管与主管交线的计算长度,对于有间隙的K形和N形节点:

对于T、Y、X形节点

式中 hi、bi——分别为支管的截面高度和宽度。
5.为保证节点处主管的强度,支管的轴心力不得大于表2-95规定的承载力设计值:


支管轴心力的承载力设计值 表2-95

圆管结构的节点形式见图2-2。

(a)X形节点;(b)T形和Y形受拉节点;(c)T形和Y形受压节点;
(d)K形节点;(e)TT形节点;(f)KK形节点
2-5-4 钢与混凝土组合梁计算
组合梁为由混凝土翼板与钢梁通过抗剪连接件组成。翼板可用现浇混凝土板,并可用混凝土叠合板或压型钢板。钢与混凝土组合梁计算见表2-96。
混凝土翼板的计算宽度(图2-3)be为:
be=b0+b1+b2
式中 b0——板托顶部的宽度,当α<45°时按α=45°计算板托顶部的宽度;当无板托时,取钢梁上翼缘的宽度;
b1、b2——梁外侧和内侧的翼板计算宽度,各取梁跨度l的1/6和翼板厚度hc1的6倍中的较小值。

图2-3 混凝土翼板的计算宽度
1-混凝土翼板;2-板托;3-钢梁

钢与混凝土组合梁计算 表2-96

